
Kim Mintchul·Chun Mihee*·Kim Jungsun·Park Minjeong
Universal Environmental Policy Institute, Gyeonggi-Do 14059, Korea
김민철·천미희*·김정선·박민정
(주)국제환경정책연구원
This article is an open access article distributed under the terms of the Creative Commons Attribution Non-Commercial License (http://creativecommons.org/licenses/by-nc/4.0) which permits unrestricted non-commercial use, distribution, and reproduction in any medium, provided the original work is properly cited.
The Soil Health Index (SHI) developed by Park et al. (2021) is used to evaluate soil health on remediated soils collected from several remediation project sites and monitored the changes of SHI during the remediation process of land farming, soil washing, and thermal desorption. In the case of land farming, the soils remediated below a legal standard didn’t show any significant changes in indices of SHI except the downgrade of available phosphate from medium to a low level. The SHI scores were ranged from 52 to 56 in the contaminated soil and 54 to 57 in the remediated soil. With soil washing, bulk density changed from high to a low level, and available phosphate was lowered from medium to low level. As the SHI scores were evaluated as 58 to 63 for contaminated soil and 38 to 42 for remediated soils. For thermal desorption, soil respiration rate was reduced from high to low level and SHI was scored as 50 to 51 for contaminated soils and 43 to 47 for remediated soils. Even though any abrupt changes of the SHI in remediated soils were not identified in the soils used in this study, it is expected that soil in different conditions such as types and concentrations of contaminant and soil characteristics would result in distinguished changes of the SHI. There is a room for more studies collect diverse information on SHI across the country.
Soil health index (SHI), Land farming, Soil washing, Thermal desorption
국내 오염토양 정화는 1995년 토양환경보전법 제정과 더불어 토대가 마련되고, 2000년 부산 문현지구의 오염토양 정화사업을 시작으로 한미간의 연합토지관리계획(Land Partnership Plan, 2002년) 협정체
결에 따라 2008년 반환미군기지의 정화사업으로 본격화되었다(국방부, 2012). 국내 토양정화 초기부터 정화대상 주오염원이 유류 및 중금속류였으므로 주로 토양경작법과 토양세척법을 중심으로 처리기술이 발전하였으며(양지원 등, 2007), 최근에는 고농도 및 난분해성 유기오염물질의 정화뿐만 아니라 고농도 유류오염을 단기간에 정화하기 위하여 열탈착법이 적용되고 있다(이정선, 2011). 2016년~2017년 기준으로 발생한 오염토(on-site, 총 5,052,785톤)에 적용된 정화공법은 토양세척(44.7%), 토양경작(22.8%), 화학적산화(13.4%), 토양세정(6.0%), 열탈착(4.3%), 반출정화(1.5%), 증기추출(0.7%), 생물통풍(0.3%), 바이오파일(0.1 %)의 순이다(KEITI, 2019). 따라서 국내 부지내(on-site) 토양정화는 굴착 후 진행되는 지상정화(ex-situ)가 주를 이루고 있다. 화학적 산화법이 토양경작과 병행되는 것을 감안하면 토양세척법, 토양경작법, 열탈착법이 주요한 토양정화공법이다. 부지내 굴착정화(on-site)의 정화토는 전량 되메움토로 사용되고, 반출정화(off-site)의 정화토는 대부분 공장용지 및 임야 등의 매립용 성토나 성토용 골재로 사용되고 있다(황상일 외, 2014). 정화토는 오염물질을 제거하기 위한 굴착, 세척, 가열 등의 정화 공정을 거쳐야 하므로 이러한 공정 과정에서 토양의 물리적, 화학적, 생물학적 변화가 발생한다(이용민 외, 2012, 2013; 김국진, 2014; 김순오, 2020). 정화토는 오염물질을 높은 비용으로 제거한 토양이므로 적절한 용도 및 장소에 재활용되어야 한다. 그러나 국내에서는 토양건강성 등에 대한 우려로 인하여 매립용도를 제외하고는 재활용되지 못하고 있으므로, 정화토의 토양건강성 평가를 위한 진단시스템을 개발하고 적절한 재활용방안을 마련하기 위한 연구가 진행 중이다. 미국, 캐나다, 유럽, 호주 등의 국가에서는 토양의 지속가능한 이용과 관련된 토양자원의 관리를 위하여 토양의 물리적, 화학적, 생물학적 지표를 설정하여 토양건강성(Soil Health)을 평가하고 지표의 점수에 따라 등급을 분류하고 있다. 이러한 지표를 활용하여 국내에서는 정화토의 관리를 위한 토양건강성 평가 연구가 진행되고 있다. 안 등(2017)은 정화토의 건강성 평가를 위하여 KoRean soill-health aSsessent and Management System (KRISMAS) 평가기법을 제안하였다. 토양건강성 평가체계를 총 7단계-1)토양건강성 평가인자별 지표 분류, 2)지표분석, 3)지표배점, 4)지표수위 및 가중치 결정, 5)평가인자별 토양건강성지수(Soli Health Index), 6)경계수치 적용, 7)최종 토양건강성지수(Final SHI)로 분류하였다. 토양기능 평가인자로 토양생산성(productivity), 토양안정성(stability), 생물다양성(biodiversity), 토양안전성(safety)을 설정하고, 평가인자별 지표를 분석하여 토양건강성지수(SHI)를 산출하였으며, 토양의 기능 유지를 위한 최소 수치인 경계수치와 토지이용도 개념을 적용하였다.
토양건강성(soil health)의 개념은 1979년 캐나다 토양과학협회(canadian society of soil science)의 세미나에서 주요 이슈로 등장한 후 개념 정의에 대해서는 이견이 많다. 박 등(2021)은 토양건강성(soil health)은「토양이 생명체시스템으로서 기능을 보여주는 조건 또는 상태로서 생물·물리·화학적 특성의 기능을 발휘하는 토양의 질 뿐 아니라 토양의 질을 위협하는 토양오염, 유실, 유기물질 고갈 등의 위협요인, 토양의 관리, 외적 환경요인의 영향이 종합적으로 반영되는 조건 또는 상태를 의미한다」고 정의하고 있다. 또한 정화토의 건강성을 평가하기 위하여 국내 토양을 대상으로 다양한 토양건강성 평가지표를 분석하여 현장에서 활용 가능한 평가시스템을 제안하기 위한 연구를 진행하고 있다.
본 연구에서는 박 등(2021)이 제안한 토양건강성지표(Soil health index, SHI)를 활용하여 오염토양의 정화공법 및 단위공정에 따른 토양건강성 평가지표의 변화를 확인하고 오염토 및 정화토의 토양건강성을 평가하고자 한다.
2.1. 연구대상 토양
본 연구에서는 국내에서 가장 많이 적용되고 있는 토양경작, 토양세척, 열탈착법을 대상으로 수행하였다. 연구대상 토양은 현장에서 실제 정화되고 있는 오염토 및 정화토를 대상으로 정화 전·후 및 단위 공정별로 시료를 채취하였다. 토양경작법은 경작초기(오염토), 경작과정, 경작완료(정화토)로 구분하였으며, 토양세척은 투입 오염토, 세척공정의 2 mm 및 0.15 mm 정화토, 열탈착법은 투입 오염토, 킬른 토출구의 정화토로 구분하였다. 정화 방법별로 채취한 오염토양의 특성 및 단위공정 시료채취 내용은 Table 1에 정리하였다. 토양시료의 채취는 시료채취 오차를 줄이기 위하여 동일한 지점에서 5개 이상 임의 채취하여 균질화한 시료 3점 이상을 채취하였다.
2.2. 분석항목 및 방법
박 등(2021)이 제안한 토양건강성 평가지표 pH, 전기전도도(electrical conductivity, EC), 용적밀도(bulk density, BD), 양이온교환능력(cation exchangeable capacity, CEC), 유기물함량(soil organic matter, SOM), 유효인산(available phosphate, Av.P2O5), 토양호흡(soil respiration, SR), β-glucosidase(β-GLU)와 대상 오염물질을 분석하였다. 오염물질은 토양오염공정시험기준에 의거하여 TPH는 ES07552.1c, 납(Pb), 구리(Cu), 아연(Zn), 카드뮴(Cd)은 ES07400. 1c, 비소(As)는 ES07404.1c으로 분석하였다. pH, EC(1:5 H2O)는 풍건토양 5 g을 100 mL 비커에 정량한 후, 증류수 25 mL를 가하여 30분 교반하여 pH meter, EC meter로 측정하였다. 용적밀도(코어측정법)는 건조기에서 105oC 건조한 후 무게를 측정하여 분석하였다.
유기물함량(Walkely & Black법)은 토양(200 mesh) 1 g을 250 mL 삼각플라스크에 취하고 10 mL의 0.167M 중크롬산용액을 가하여 흔들어 준 후 conc. H2SO4 20 mL를 넣고 서서히 흔들어 준다. 10분 후 증류수 10 mL를 가하고 흔든 다음 여과하여 파장 610 nm에서 흡광도를 측정하였다. 유효인산(Bray No.1 추출, SnCl2 에 의한 몰리브덴 청법)은 풍건토양 1 g을 Bray No.1추출액 25 mL으로 추출·여과하여 50 mL 용량플라스크에서 ammonium molybdate 용액 10 mL과 SnCl2 용액 1.0 mL를 가한 후 증류수로 표선까지 맞추고 혼합한 다음 흡광도(660 nm)를 측정하였다. CEC(1N ammonium acetate)는 풍건한 토양 5 g(100 mesh)을 침출장치에 넣고 1 N NH4OAc 50 mL를 가하여 12시간 침출하였다. 95% 에탄올로 세척하고 여지와 함께 킬달 증류하여 0.1 N H2SO4로 적정하였다. 토양호흡(알카리흡수제법, CO2)은 300 mL 생분해병에 습토 100 g을 넣은 후 그 위에 0.5 M NaOH 10 mL를 넣은 Tube를 놓고 밀폐 시킨 후 3일 배양한 후 pH 지시약인 phenolphthalein을 적당량 넣고 0.2 M HCl로 적정하였다. 활성효소인 β-glucosidase (Eivazi & Tabatabai, 1988)는 습토 0.5 g에 toluene 0.1 mL, 구연산·인산완충액(pH 4.9) 1.5 mL, 증류수 0.9 mL, 50 mM p-nitrophenyl-β-glucoside (PNG) 0.6 mL를 넣고 교반 후 30oC에서 1시간 배양하였다. 에탄올 8 mL을 넣어 교반하고 여과하여 2 M Tris 용액 2 mL를 넣어 발색시켜 흡광도(400 nm)를 측정하였다.
2.3. 토양건강성지표(SHI, soil health index)
토양정화 전·후의 토양건강성을 평가하기 위하여 박 등(2021)이 제안한 평가지표별 등급화 및 평가방법을 사용하였다(Table 2). 각각의 평가지표 분석값을 박 등(2021)이 제안한 산정식에 대입하여 점수화하였으며, 오염토 및 정화토의 토양건강성은 8개 평가지표의 종합점수(SHI)에 따라 낮음(L), 중간(M), 높음(H)으로 구분하였다.
2.4. 자료분석
정화공법별 오염토와 정화토의 토양건강성 평가지표 값의 변화를 검증하기 위하여 공정별 정화 전·후 토양에 대하여 t-test를 실시하였다. 통계분석은 SPSS 프로그램을 이용하여 0.05% 유의수준으로 분석하였다.
|
Table 1 Soil contamination characteristics and sampling from treatment process |
*NCS: non contaminated soil, ECP: environment control process |
3.1. 토양경작법에 의한 평가지표 변화
경작 과정의 토양건강성 평가지표 변화를 확인하기 위하여 경작 과정에서 시료를 채취·분석하였으며, 오염물질(TPH) 농도가 1지역 우려기준(500 mg/kg)에 도달하면 실험을 완료하였다. 토양경작에 투입된 오염토는 7일 동안 선별한 후 수분(10 ton) 및 영양염류(질소비료)을 공급하고 경운을 실시하였다. 경운과정에서 2차례에 걸쳐 추가로 영양염류(질소비료)가 공급되었다. 본 연구대상 토양경작의 오염토 특성 및 운전공정은 Table 3과 같다. 경작일수에 따른 토양건강성 지표 항목의 분석결과는 Table 4에 정리하였다.
오염물질(TPH)은 Fig. 1과 같이 경작 22일 이후 부터 감소하기 시작하였으며, 경작 40일에 293 mg/kg으로 저감되었다. 경작 22일까지의 TPH 저감 지체는 반입초기 선별에 소요되는 기간 및 선별이후 유류분해미생물의 활성을 위하여 수분, 영양염류 및 경작의 적정조건이 될 때까지 소요되는 기간으로 보인다.
토양경작 전·후의 토양건강성 평가지표의 변화 양상은 Table 5와 같다. 정화 전·후농도의 변화는 실험오차 등을 감안하여 측정치 변동폭이 ±5% 이내는 미미한 변화, ±5% 이상은 유의미한 변화로 간주하였다.
미미한 변화(±5% 이내)를 보인 평가항목은 BD, pH이며, 유의미한 변화(±5% 이상)를 보인 평가항목은 EC, CEC, SOM, Av.P2O5, SR, β-GLU로 나타났다. 토양 다짐과 점토질 함량과의 관계가 높은 BD가 미미한 감소(±5% 이내)를 보인 것은 오염토가 굴착상태였으므로 경운 과정에서의 변화는 크지 않았던 것으로 보인다. pH는 미생물활성과 밀접한 인자로 토양경작에서 pH가 높을 경우 탄화수소 이용에 부정적인 영향을 줄 수 있는 보고가 있다(Marin et al., 2005). Yi et al.(2012)의 연구는 토양경작 전·후의 pH 변화가 거의 없으나, Yi et al.(2016)의 연구에서는 pH 4.38에서 pH 4.73으로 증가하였다. Adams and Guzmán-Osorio(2008)의 연구에서는 초기 pH 7.5~8.0이 경작 30일 후에는 pH 8.1~8.2, 경작 90일 후에는 pH 7.0~7.8으로 변화되었으며, 이러한 변화는 비료에 의한 무기양분의 공급으로 보았다. 본 연구에서는 경작 전 pH 8.6이 경작 후 pH 8.3으로 미미한 감소(±5% 이내)를 보였으며, 이는 Wang et al.(2016)에 의한 소규모(batch test) 경작실험에서 초기 pH 7.1에서 최종 pH 7.0으로 큰 변화가 없었던 결과와 유사하였다.
Wang et al.(2016)은 토양경작의 미미한 pH 감소는 토양완충능력과 호기성분해과정에서 생성되는 카르복실산(carboxylic acid, -COOH)의 영향으로 보았다. 토양수중 전해질 이온의 세기를 나타내는 평가지표인 EC는 경작 전 0.11 dS/m에서 경작 후 0.08 dS/m로 미미한 감소(±5% 이내)를 보였다. 이는 Yi et al.(2012) 및 Yi et al.(2016)의 연구에서는 3개월의 경작 전·후 각각 6.28 dS/m에서 2.06 dS/m, 5.18 dS/m에서 3.67 dS/m로 감소한 결과와 동일한 양상이다. 반면, Wang et al.(2016)의 연구에서는 경작 전·후 0.1~0.3 mS/cm에서 3.5~3.9 mS/cm으로 증가하였으며, 이러한 증가 원인이 Kristenses et al. (2010)의 연구 결과와 같이 영양분의 공급에 따른 토양 내 미생물활성으로 보았다. 점토 함량과 구성광물 종류 및 유기물 함량에 영향을 받는 CEC는 경작 전·후 21.1 cmol/kg에서 14.1 cmol/kg로 감소하였다. Yi et al.(2012)의 연구에서 경작 전·후 CEC가 3.15 cmol/kg에서 2.86 cmol/kg으로 감소하였는데, 이는 유기물 함량의 감소와 토양입자에서 상대적으로 교환능력이 높은 점토질이 입도분리 과정에서 감소했기 때문으로 보고하였다. SOM은 본 연구에서 경작 전·후 1.4%에서 1.2%로 감소하였는데, 이러한 감소는 Yi et al.(2012)의 연구에서 경작 전·후의 SOM을 강열감량(loss of ignition, LOI)으로 측정한 결과 2.12%에서 2.38%로 증가한 것과는 다른 양상이다. SOM은 토양 내에서 공극을 확보하여 통기성과 수분보유능력을 증진시키고, SOM이 1% 증가할 때 마다 CEC는 약 2.3 meq/100g 씩 증가된다는 보고가 있다(Stevenson(1994), Hyeon et al.(1991)). 또한 SOM은 동·식물에서 유래된 모든 유기물을 의미하고 토양 내에서 토양수를 포함하여 전체에 걸쳐 분포하고 있으므로, 자연적 분해에 저항적이고 토양 중에서 안정화되어 있는 집합체이다(Lim, 1978). 따라서 경작 전·후의 SOM의 변화는 오염토 성상 및 경작운영에 따라 다양할 것으로 보인다. Av.P2O5은 식물이 생장할 때 토양에서 가장 쉽게 이용할 수 있는 인의 형태이며, 본 연구에서는 경작 전·후 9.8 mg/kg에서 10.6 mg/kg으로 증가하였다. 반면, Yi et al.(2012)의 연구에서는 경작 전에 비해 경작 후에는 69.2% 감소하였는데, 이러한 원인을 미생물에 의한 영양물질의 소모인 것으로 보았다. 본 연구의 Av.P2O5 증가는 경작 과정에서 C/N비 조절을 위한 3차례 비료 투입과 관련되어 보이지만, 경작 운영방식이 달라지면 Av.P2O5 증감의 양상 및 이러한 원인은 다양하므로 향후 지속적인 연구가 필요할 것이다. 본 연구에서 생물학적 평가지표의 변화는 SR은 경작 전·후 94 mg/kg/day에서 141 mg/kg/day, β-GLU는 경작 전·후 0.45 μmol/g/h에서 0.56 μmol/g/h으로 증가하였으므로 경작과정에서 토양미생물의 활성화를 보여준다. 이는 Yi et al. (2016)의 연구에서 토양경작 전·후 56.6 μg PNP/gl/h에서 98.2 μg PNP/g/h로 증가한 결과와 동일한 양상이다. 이상의 결과 토양경작에서는 물리적 평가지표인 BD의 변화는 의미를 두기는 어렵지만, 화학적 평가지표 및 미생물활성과 관련된 생물학적 평가지표의 변화는 오염토의 성상 및 경작 공정의 차이로 인하여 다양한 것으로 나타났다. 따라서 토양경작에서 오염토와 정화토의 토양건강성 평가지표의 변화는 현장마다 확인하여야 할 것이다.
박 등(2021)이 제안한 평가지표별 등급화 및 평가 방법을 사용하여 산출한 경작 전·후 토양건강성 평가지표의 점수 및 등급은 Table 6과 같다. 경작 전·후의 각 평가지표를 비교하면 등급의 변화가 있는 항목은 BD와 SOM이였으며, pH, EC, CEC, Av.P2O5, SR, β-GLU에서는 등급의 변화가 없었다. BD는 오염토의 등급이 중간(M)이였으나 정화토에서는 등급이 높음(H)으로 변화되었다. 반면, 유기물함량(SOM)은 오염토의 등급이 중간(M)이였으나 정화토에서는 낮음(L)으로 전환되었다.
본 연구의 경작 전·후 오염토와 정화토의 토양건강성 평가지표의 종합점수(SHI)는 임야·논을 대상으로 산정한 경우 56점(M)에서 57점(M), 밭을 대상으로 산정한 경우 52점(M)에서 54점(M)으로 증가하는 것으로 나타났다.
3.2. 토양세척법에 의한 평가지표 변화
본 연구대상의 토양세척법은 산세척공정은 없었으며, 세척은 4 mm, 2 mm, 0.015 mm의 3단계 분급공정으로 이루어졌다.
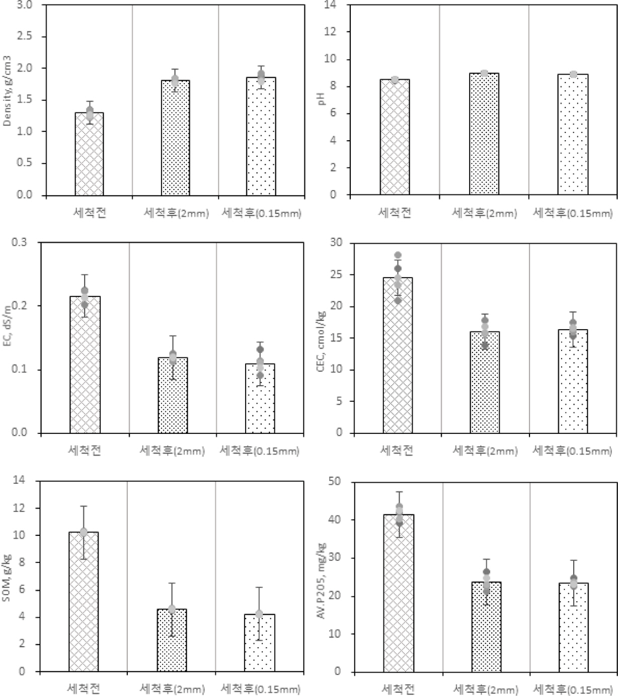
세척공정의 토양건강성 평가지표 변화를 확인하기 위하여 적재 상태의 오염토 및 토양으로 재활용되는 2단계(2 mm) 및 3단계(0.15 mm) 분급공정의 정화토를 분석하였으며, 분석결과는 Table 7과 같다. 본 연구대상 세척 전·후 토양건강성 평가지표의 변화를 확인하기 위하여 오염토와 3단계(0.15 mm) 정화토의 값을 비교하였으며, 기존연구 결과와 함께 Table 8에 정리하였다. 본 연구에 사용된 토양세척의 정화 전·후 중금속 농도변화는 Fig. 2와 같다.
오염토는 비소(As) 72.8 mg/kg, 납(Pb) 118.9 mg/kg, 구리(Cu) 64.9 mg/kg, 아연(Zn) 572.1 mg/kg, 카드뮴(Cd) 10.5 mg/kg으로 비소(As), 아연(Zn), 카드뮴(Cd)항목에서 1지역 우려기준을 초과하였다.
본 연구에서 토양건강성 평가지표의 변화는 pH(±5% 이내)를 제외한 나머지 항목에서 모두 유의미한 변화(±5% 이상)를 보였다. 세척 전·후 미미한 변화(±5% 이내)를 보인 pH는 물을 이용한 토양세척 기존의 연구에서도 세척 전·후에 큰 차이를 보이지 않았다(Yi and Sung, 2015). 토양 다짐과 점토질 함량과의 관계가 높은 BD는 1.30 g/cm3에서 1.85 g/cm3로 증가하였다. Yi and Sung(2015)의 연구결과에서는 선별과정에서 자갈과 점토 함량의 감소로 토성의 변화를 보였다. 본 연구는 정화현장을 대상으로 이루어졌으므로 현장작업의 특성상 토양세척 공정에 투입되는 오염토와 정화토의 시료채취 시점의 차이뿐만 아니라 선별을 거친 흐트러진 상태의 토양이므로 용적밀도의 변화에 의미를 두기 어렵다. EC, CEC, SOM의 감소는 Yi et al.(2012)와 Zhai et al(2018)의 물을 이용한 토양세척의 연구와 동일하였다. 또한, Av.P2O5도 41.56 mg/kg에서 23.4 mg/kg으로 감소하였는데, 이러한 결과는 Yi et al.(2012)의 물을 이용한 세척 전·후 Av.P2O5의 증가를 보고한 연구결과와는 다른 양상이다. Yi et al.(2012)의 연구에서는 총질소의 농도가 57.6% 감소한 반면, Av.P2O5은 59.92 mg/kg에서 103.28 mg/kg으로 72.4% 증가하였다. 그러나 본 연구에서는 Av.P2O5의 세척 전·후 약 44% 감소와 동일한 양상으로 총질소도 354.5 mg/kg에서 88.5 mg/kg으로 약 75% 감소하였다. 기존의 연구에 따르면 세척 전·후 Av.P2O5의 변화는 세정제에 따라서도 다양하다(Im et al.(2015), Yi and Sung(2015), Koh et al. (2017), An et al.(2020)). Jung et al.(2003)은 토양을 담수하여 Av.P2O5과 가용 인산 농도를 측정한 결과 Av.P2O5의 증가를 확인하였으며, 이러한 Av.P2O5 유출의 증가는 산화철의 환원, 음이온의 치환, 인산화합물의 가수분해, 황화철의 생성 등에 의한 인산 유효화 증가에 따른 인산용해도 증가 및 토양 중 인산 흡착제의 결정구조 변화에 기인한다고 보고하였다. 따라서 세척 전·후의 Av.P2O5 농도 변화는 사용되는 세정제의 종류뿐만 아니라 토양의 성상에 따른 Av.P2O5의 흡착능력의 차이에서 기인하는 것으로 판단된다. 생물학적 평가지표의 경우 SR은 세척 전·후 147 mg/kg에서 89 mg/kg으로 약 40% 감소하였으며, β-GLU도 세척 전·후 0.55 μmol/g/h에서 0.37 μmol/g/h으로 약 32% 감소하였다. Yi and Sang(2015)의 연구에서 물과 산세척액을 이용한 세척 전·후 β-GLU의 변화는 물로 세척한 경우 14.2 μmol/g/h에서 12.9 μmol/g/h으로 감소한 반면, 산세척의 경우 9.8 μmol/g/h에서 11.1 μmol/g/h으로 증가를 보고하였다.
단위공정별 토양건강성 평가지표의 변화를 확인하기 위하여 Fig. 3과 Fig. 4에서 오염토, 2단계(2 mm) 및 3단계(0.15 mm) 정화토의 토양건강성 평가지표 값을 비교하였다. 물리·화학적 평가지표의 경우에는 pH를 제외하고 분급공정의 단계에 관계없이 오염토와 비교하여 정화토의 평가지표 값이 크게 감소하였지만, 2단계(2 mm) 정화토와 3단계(0.15 mm) 정화토의 평가지표 값은 큰 차이가 없었다. 생물학적 평가지표의 경우에는 SR은 세척공정을 거친 정화토에서 크게 감소하였으며, 정화토에서는 분급공정의 단계에 따라 다소 차이를 보였다. 정화토의 SR은 토양입자가 작은 3단계 정화토(0.15 mm)가 2단계 정화토(2 mm)보다 높았다. 이는 분급공정 이전의 세척과정에서 세척으로 인한 미생물제거는 완료된 것으로 보이며, 2단계(2 mm) 및 3단계(0.15 mm) 정화토에서 SR의 차이는 토양 입자크기와 미생물 밀도와의 관계로 보인다. 한편, β-GLU는 오염토와 비교하여 정화토에서 크게 감소하였지만, 2단계(2 mm) 및 3단계(0.15 mm) 정화토는 큰 차이가 없는 것으로 나타났다. 이상으로 물로 세척처리를 수행한 2단계(2 mm) 및 3단계(0.15 mm) 정화토는 SR을 제외한 평가지표의 값은 큰 차이를 보이지 않으므로, 토성 변화는 세척수에 의한 점토 및 유기물 제거에 주로 영향을 받으며 분급공정은 큰 영향이 없는 것으로 보인다.
박 등(2021)이 제안한 평가지표별 등급화 및 평가 방법을 사용하여 산출한 세척 전·후 토양건강성 평가지표의 점수 및 등급은 Table 9과 같다. 세척 전·후의 각 평가지표를 비교하면 오염토와 정화토에서 등급의 변화가 있는 평가지표는 BD 이외에는 없었다. BD는 오염토의 등급 높음(H)이 모든 분급의 정화토에서 낮음(Low)으로 전환되었다. Av.P2O5의 경우에는 정화토 재활용의 용도가 산림·논 또는 밭인지에 따라 건강성 등급의 적용이 다르다. 산림 및 논의 등급기준을 적용하면 세척 전에는 중간(M)이 2 mm 분급공정과 0.15 mm 분급공정의 정화토에서는 낮음(L)으로 전환되지만, 밭의 등급기준을 적용하면 세척 전·후 낮음(L)으로 건강성 등급의 변화는 없었다.
본 연구의 오염토와 정화토의 토양건강성지표의 종합점수(SHI)는 임야·논을 대상으로 산정한 경우 63점(M)에서 40~42점(M), 밭을 대상으로 산정한 경우 58점(M)에서 38~40점(M)으로 감소하였다.
3.3. 열탈착법에 의한 평가지표 변화
본 연구대상 열탈착공정은 저온열탈착공법(Low tem- perature thermal desorption)으로 가열로(furnace)는 로터리킬른(Rotary Kiln), 킬른 내부 오염토의 온도는 약 280oC로 운전되었다. 배가스 처리는 스크류펌프 및 백필터를 이용하여 미세토를 집진하고 있었으며, 킬른 내부에서 정화토를 토출하기 직전에 정화토를 식혀주는 냉각수 살포공정을 포함하고 있었다.
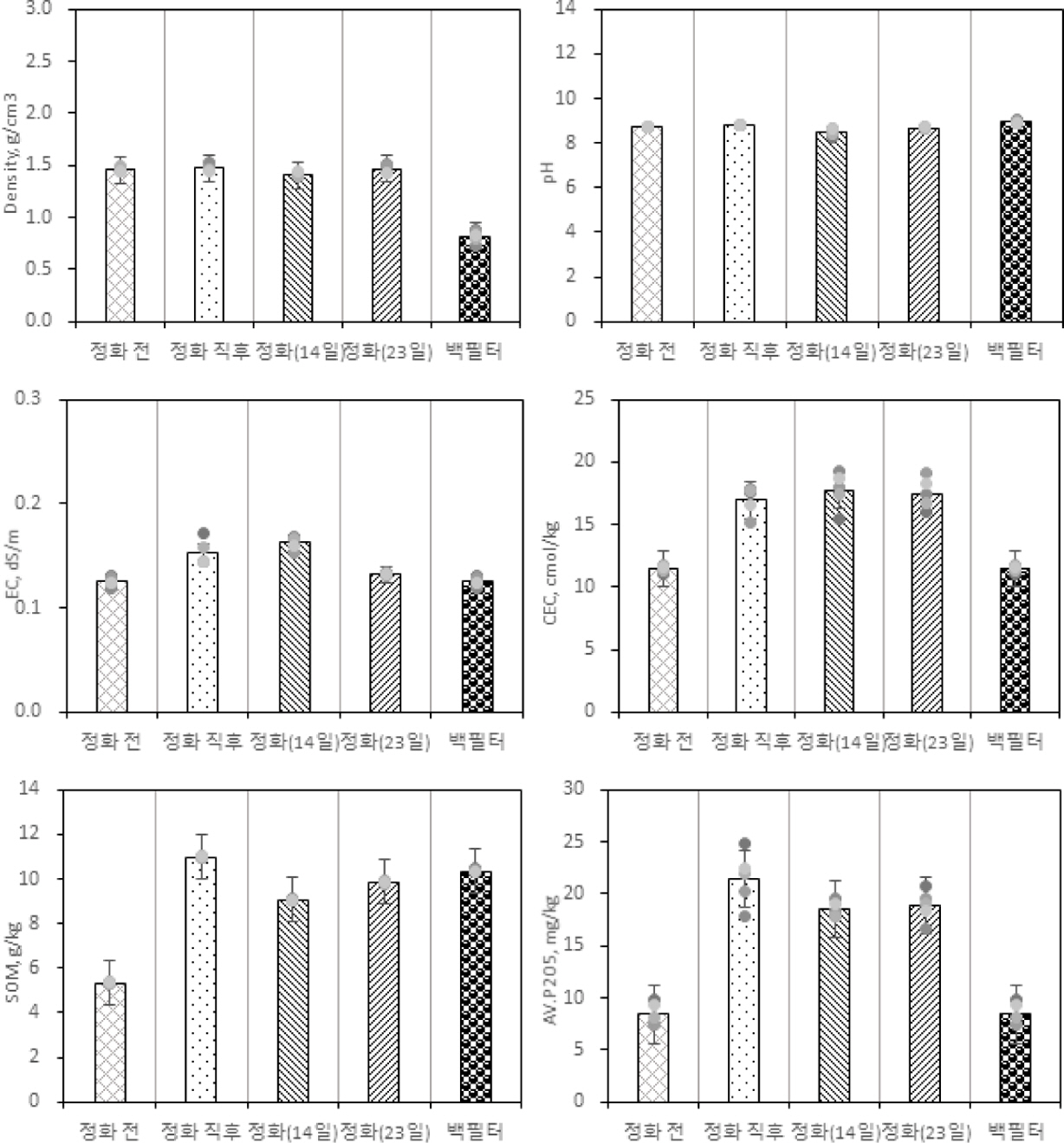
열탈착 전·후 토양건강성 평가지표 변화를 확인하기 위하여 적재 오염토, 킬른 토출구 정화토, 정화토를 야적하면서 경과 14일 및 23일에 분석하였으며, 분석 결과는 Table 10과 같다. 오염토의 오염물질(TPH) 농도는 1,970~ 3,280 mg/kg였으며, 정화토에서는 오염물질(TPH)이 검출되지 않았다. 열탈착 전·후 토양건강성 평가지표의 변화는 오염토와 킬른 토출 직후 정화토의 값을 비교하여 Table 11에 정리하였다. 본 연구에서 열탈착 전·후 토양건강성 평가지표의 변화는 BD, pH는 미미한 변화(±5% 이내)를 보였으며, 그 외의 항목에서는 유의미한 변화(±5% 이상)로 나타났다.
물리적 평가지표인 BD는 열탈착 전·후 1.46 g/cm3에서 1.48 g/cm3으로 다소 상승하였으나 큰 변화는 없었다. pH도 8.7에서 8.8으로 거의 변하지 않았는데, 이러한 pH의 미미한 증가는 기존의 연구 결과와도 유사하다(Yi et al. (2012), Yi et al.(2016), Hung(2011), Bonnard(2010), Ma et al.(2014)). 본 연구에서 EC는 열탈착 전·후 0.13 dS/cm에서 0.15 dS/cm로 증가하였다. 반면, Yi et al.(2012)의 연구에서는 유류오염토의 열탈착 전·후 EC는 1.55 dS/cm에서 0.87 dS/cm으로 감소하였으며, 식물의 생장에 영향을 미치는 치환성 나트륨, 치환성 칼륨, 치환성 칼슘, 치환성 마그네슘, 치환성 알루미늄도 각각 8.3%, 2.3%, 37.3%, 7.2%, 11.1%로 감소한 결과를 보고하였다. 본 연구의 EC의 증가는 킬른 내부에 잔류 축척되어 있는 미립토의 영향과 가열공정의 마지막 단계에서 토양을 식히기 위해 사용되는 냉각수 살포의 영향으로 보인다. 본 연구에서 CEC는 열탈착 전 11.4 cmol/kg에서 열탈착 후 16.98 cmol/kg로 증가하였다.
반면, Yi et al.(2012)의 연구에서는 유류오염토를 대상으로 열탈착 전·후 CEC는 5.35 cmol/kg에서 3.96 cmol/kg로 감소하였다. 또한, 수은(Hg) 오염토를 대상으로 고정베드반응기(fixed bed reator)의 열처리 연구를 진행한 Ma et al.(2014)은 400oC(60분, FeCl3)의 열처리에서 CEC는 11.0 cmol/kg에서 9.8 cmol/kg로 감소하였고, 700oC(20분)에서 11.0 cmol/kg에서 5.2 cmol/kg로 감소한 결과를 보고하였다. 본 연구에서 SOM은 열탈착 전 0.53%에서 열탈착 후 1.10%으로 증가하였다. Yi et al.(2012)의 연구에서는 유류오염토의 열탈착 전·후 SOM은 5.26%에서 4.67%로 감소하였으며, Bonnard et al.(2010)의 연구에서는 중금속 및 PAH 복합오염토의 열탈착 전·후 SOM은 13.0%에서 10.7%으로 감소하였다. 한편, 수은(Hg) 오염토의 열처리 연구에서 유기탄소(organic carbon) 변화에 관한 보고가 있다. Hung et al.(2011)은 수은(Hg) 오염토를 550oC에서 열처리한 결과 유기탄소는 0.28%에서 0.22%으로 감소하고, 400oC의 열처리 전·후에는 0.17%에서 0.11%로 감소한 결과를 보고하였다. Ma et al.(2014)의 연구결과에 의하며 수은(Hg) 오염토를 400oC(60분, FeCl3)에서 열처리한 결과 유기탄소는 2.5%에서 1.6%으로 감소하며, 700oC(20분)의 열처리 전·후에는 완전히 연소되어 검출되지 않았다. 열탈착 공정에 사용되는 열은 SOM에 영향을 미치는 온도이므로 대부분 SOM의 분해가 일어나며, 주요 분해기작은 휘발(volitilization), 탄화(charring), 연소(combustion)로 알려져 있다(Certinini, 2005). 한편, Kiersch et al.(2012)의 연구결과에 따르면 열탈착 전·후 SOM의 변화는 SOM의 다양한 성분구성과 이들의 상호작용에 의해 다르다. Biache et al.(2008), Kiersch et al.(2012), Gonzalez-Perez et al.(2004)의 연구에서 열탈착 공정의 열에 의해서 SOM은 고밀도의 방향족 형태로 변형되기도 한다. Hung et al.(2011)은 오염토의 열처리 연구에서 토성과 유기탄소 변화의 증감은 가변적이며, 이러한 원인은 열을 가하는 방법에 따라 silt 및 clay의 미세입자들의 접합효과(cementing effect)가 다르기 때문이라고 보고하였다. 본 연구의 열탈착 전·후 EC, CEC, SOM의 증가는 기존의 연구결과와는 다른 양상을 보이는데, 이는 토양의 불균질성 및 오염토가 연속적으로 투입·처리되는 현장 특성때문으로 보인다. 본 연구의 열탈착 전·후 Av.P2O5은 8.45 mg/kg에서 21.44 mg/kg로 증가하였다. 이러한 변화양상은 Yi et al.(2012, 2016)의 열탈착 처리 전·후 결과에서 Av.P2O5가 각각 56.2% 및 69.1%의 증가를 보인 것과 동일하다. Yi et al.(2012)은 Av.P2O5의 증가 원인으로 인의 존재형태가 열탈착 공정을 통하여 이용 가능한 형태로 변화되었을 것으로 보았다. 또한, Galang et al.(2010)은 토양 내에 분포하는 인(phosphorus)은 열에 매우 강하기 때문에 열처리에 의해 전체 토양의 질량이 감소되더라도 인(phosphorus)의 손실은 일어나지 않을 수도 있으며, 이러한 경우 토양의 부피 감소에 따라 상대적인 인(phosphorus)의 농도증가 현상이 발생할 수 있다고 보고하였다. 본 연구에서 생물학적 평가지표의 경우, SR은 열탈착 전 138 mg/kg에서 열탈착 후 33 mg/kg으로 약 76.3% 감소하였으며, β-GLU는 열탈착 전·후 0.45 μmol/g/h에서 0.39 μmol/g/h으로 약 11.9% 감소하였다. Yi et al.(2016)는 열탈착 전·후 β-GLU는 45.3 μmol/g/h에서 44.6 μmol/g/h으로 감소하였으나, 변화가 크지 않으므로 열탈착처리에 의한 영향은 낮다고 보고하였다.
열탈착 처리의 정화토 야적기간에 따른 토양건강성 평가지표의 변화를 확인하기 위하여 정화토를 야적하면서 경과 14일 및 경과 23일에 평가지표 실험을 수행하였다. 물리·화학적 평가지표의 경우 Fig. 5와 같이 BD, pH, CEC는 정화토의 야적 기간의 경과에 따라 큰 변화를 보이지 않았으나, EC, SOM, Av.P2O5은 다소 감소하는 경향을 보였다. 특히, EC의 경우에는 정화 직후(0.15 dS/cm)와 비교하여 야적 23일에는 정화 전(0.13 dS/cm)으로 회복되었다. 생물학적 평가지표의 경우 Fig. 6과 같이 SR은 야적 기간의 경과에 따라 정화 직후보다는 다소 상승하였으나, β-GLU은 정화 직후와 비교하여 큰 변화가 없었다.
박 등(2021)이 제안한 평가지표별 등급화 및 평가 방법을 사용하여 산출한 열탈착 전·후 토양건강성 평가지표의 점수 및 등급은 Table 12와 같다. 열탈착 전·후의 토양건강성 평가지표를 비교하면 오염토와 정화토에서 등급의 변화가 있는 평가지표는 SR 이외에는 없었다. SR의 토양건강성 등급은 오염토에서 높음(High)이 정화토에서는 낮음(Low)으로 변화되었다. 본 연구의 오염토와 정화토의 토양건강성 평가지표의 종합점수(SHI)는 임야·논을 대상으로 산정한 경우 51점(M)에서 47점(M), 밭을 대상으로 산정한 경우 50점(M)에서 43점(M)으로 감소하였다.
|
Fig. 1 TPH reduction during Land farming process. |
|
Fig. 2 Concentration of heavy metals before and after soil washing. |
|
Fig. 3 Change of physical and chemical factors before and after soil washing treatment. |
|
Fig. 4 Change of biological factors before and after soil washing treatment |
|
Fig. 5 Change of physical and chemical factors before and after thermal desorption. |
|
Fig. 6 Change of biological factors before and after thermal desorption. |
|
Table 5 Changes of Soil Health Index before and after land farming treatment |
* △ slight increase, ▲ significant increase, ▽ slight decrease, ▼ significant decrease, • No change |
|
Table 6 Variation in Soil Haelth Index during land farming treatment |
* Forest·Paddy, ** Field |
|
Table 8 The Changes of Soil Health Index before and after soil washing |
* △ sligt incresase, ▲ significant incresas, ▽ sligt deresase, ▼ significant decresase, • No change |
|
Table 9 Changes of Soil Health Index during soil washing treatment |
* Forest·Paddy, ** Field |
|
Table 11 The Changes of Soil Health Index before and after thermal desorption |
* △ slight increase, ▲ significant increase, ▽ slight decrease, ▼ significant decrease, • No change |
|
Table 12 Changes of Soil Health Index during thermal desorption |
* Forest·Paddy, ** Field |
본 연구는 박 등(2021)이 제안한 토양건강성지표(Soil health index, SHI)를 활용하여 오염토 및 정화토의 토양건강성을 평가하고자 하였다. 토양경작법에서는 경작 전·후 용적밀도가 중간(M)에서 높음(H)으로 전환되고, 유효인산은 중간(M)에서 낮음(L)으로 변화되었다. 토양건강성 평가지표의 종합점수(SHI)는 오염토 52~56점, 정화토 54~57점이였다. 토양세척법에서는 세척 전·후 용적밀도가 높음(H)에서 낮음(L)으로 변화되고, 유효인산도 중간(M)에서 낮음(L)으로 전환되었다. 토양건강성 평가지표의 종합점수(SHI)는 오염토 58~63점, 정화토 38~42점이였다. 열탈착법에서는 열탈착 전·후 토양호흡이 높음(H)에서 낮음(L)으로 전환되었다. 토양건강성 평가지표의 종합점수(SHI)는 오염토 50~51점, 정화토 43~47점이였다. 이상의 결과, 본 연구에서는 토양경작의 정화토는 오염토에 비해 평가지표 및 종합점수가 다소 개선되는 양상을 보였으나, 모든 정화공법에서 토양건강성 평가지표의 급격한 변화는 관찰되지 않았다. 본 연구는 정화현장을 대상으로 한 결과이며, 오염토와 정화토의 토양건강성 변화는 정화공법과 오염물질, 오염농도 및 토성에 따라 다를 것으로 예상되므로 다양한 조건의 연구가 필요할 것으로 판단된다.
본 논문은 환경부의 재원으로 환경산업기술원(KEITI)의 사업지원을 받아 수행되었습니다(과제번호 202000248 0004).
This Article2021; 26(6): 36-46
Published on Dec 31, 2021
Services
Correspondence toUniversal Environmental Policy Institute, Gyeonggi-Do 14059, Korea