
Jio Woo·Eun Jung Kim*
Department of Environmental Engineering, Mokpo National University, Jeollanam-do 58554, Korea
우지오·김은정*
국립목포대학교 환경공학과
This article is an open access article distributed under the terms of the Creative Commons Attribution Non-Commercial License (http://creativecommons.org/licenses/by-nc/4.0) which permits unrestricted non-commercial use, distribution, and reproduction in any medium, provided the original work is properly cited.
Since the amount of red mud, generated from aluminum smelting process as a by-product, has increased worldwide, the recycle and metal resource recovery from the red mud is becoming more important. In this study, in order to recycle the red mud as a soil stabilizer to remediate arsenic contaminated soils, neutralization of red mud was investigated. Red mud was neutralized by washing with distilled water and NaCl, CaCl2, FeCl3, and HCl solutions and heating at 200-800oC, and arsenic stabilization characteristics in soils were evaluated with the neutralized red mud. Although washing with distilled water was not effective in neutralizing red mud, the application of the washed red mud to soils lowered the soil pH compared to the application of untreated red mud. Among NaCl, CaCl2, FeCl3, and HCl solutions, washing with FeCl3 showed the most effective in lowering pH of the red mud from pH 10.73 to pH 4.26. Application of the neutralized red mud in soils resulted in quite different arsenic stabilization efficiency depending on soil samples. In M1 soil, which showed relatively high arsenic stabilization efficiency by untreated red mud, the neutralization of red mud resulted in little effect on arsenic stabilization in soil. On the other hand, in M2 soil, which showed low arsenic stabilization efficiency by untreated red mud, the neutralization of red mud increased arsenic stabilization significantly. Soil characteristics such as clay minerals and pH buffering capacity seemed to affect reactions between red mud and soils, which resulted in different effects of the red mud application on soil pH and arsenic stabilization efficiencies.
Keywords: Red mud, Neutralization, Soil, Arsenic, Stabilization
우리나라는 총 2,198 개소의 금속 광산이 존재하고 있으며 이 중 69 개소만이 가행되고 있고, 나머지 2,129 개소의 휴·폐광산의 경우에 광해방지사업을 통하여 폐광 이후에 발생하는 광해를 분석·예방하고 있으나 일부 휴·폐광산에 대해서는 사후처리 없이 방치되는 등 관리가 부족한 실정이다(MIRECO, 2021). 채광 활동 중 발생한 광산 폐기물과 광산 폐기물에서 발생하는 침출수는 다량의 비소 및 중금속을 함유하고 있으며 강우 및 강풍과 같은 환경변화에 의해 함유된 중금속이 용출되거나 광물찌꺼기나 폐석이 유실되어 인근 지역 농경지나 하천 등 주변 환경을 비소 및 중금속으로 오염시키게 된다(Brunori et al., 2005; Han et al., 2021; Jung and Jung, 2006). 토양으로 유입된 비소는 화학적, 생물학적으로 분해되지 않으며 동·식물 등으로 섭취, 흡수되면 잘 배출되지 않아 장기간 걸쳐 부작용을 나타내며 생체 내에 축적된 비소가 생태계의 먹이 연쇄 과정을 거치면서 식물, 동물은 물론 사람에게도 위해한 영향을 줄 수 있다(Lee et al., 2009). 현재 국내에서 비소와 중금속으로 오염된 토양을 복원하기 위해 토양세척(Soil Washing), 고형화 및 안정화(soli- dification/stabilization), 식물정화(phytoremediation) 등의 오염토양 복원기술을 사용하고 있다. 그중 토양 안정화(stabilization)는 오염된 토양에 안정화제를 주입하여 토양 중 비소 및 중금속을 화학적으로 안정한 형태로 변화 시켜 중금속의 이동성 및 생체이용률(bioavailability)을 저감시켜 오염확산을 줄이고 생태계에 미치는 유해성을 감소시키는 기술로 광산과 지역과 같이 오염 범위가 넓고 고농도 중금속으로 오염된 경우 적절한 기법으로 알려져 있다(Basta and McGowen, 2004; Kumpiene et al., 2008).
레드머드(red mud)는 보크사이트 광물에서 알루미늄을 제련과정 중 발생하는 산업 부산물로 Al2O3와 Fe2O3 등을 다량 함유하고 있다. 전 세계적으로 레드머드의 발생량이 증가함에 따라 레드머드로부터 금속 자원 회수 및 재활용의 필요성이 점차 중요해지고 있으며, 이를 위해 레드머드를 이용한 토양 및 폐수 중 중금속 처리 등과 같은 레드머드를 환경정화에 적용하는 연구가 진행되어 오고 있다(Garau et al., 2007; Gray et al., 2006; Lee et al., 2009; Lombi et al., 2004). 레드머드에 포함된 다량의 철 산화물은 비소를 포함한 여러 중금속 흡착에 효과적으로 레드머드를 이용한 폐수 중 중금속의 흡착 및 중금속 오염 토양 정화를 위해 레드머드를 안정화제로 활용하는 연구가 이루어져 왔다(Garau et al., 2007; Gray et al., 2006; Lee et al., 2009; Lombi et al., 2004). 하지만 레드머드는 알루미늄 추출과정에서 사용되는 수산화나트륨(NaOH)으로 인해 강알칼리성(pH 12-13)의 특성을 가지고 있어 일반적으로 레드머드를 재활용하기 위하여 레드머드의 높은 pH를 낮추는 중화 과정이 필요하다. 레드머드를 중화하기 위하여 산처리, 소성처리나 철 기반 물질을 통한 개량 등 다양한 방법이 적용될 수 있으며 중화 후 레드머드의 중금속 오염물질에 대한 흡착 효율이 증가하는 결과가 보고되었다(Altundoðan et al., 2000; Genç-Fuhrman et al., 2004; Li et al., 2010; Pradhan et al., 1998; Zhang et al., 2008).
본 연구에서는 레드머드를 토양 안정화제로 재활용하여 비소로 오염된 토양을 안정화 공법에 의해 정화하는 데 있어 레드머드의 중화가 토양 중 비소의 안정화에 미치는 영향을 알아보고자 하였다. 이를 위해 본 연구에서는 NaCl, CaCl2, FeCl3, HCl, 증류수를 이용한 세척 방법과 고온 소성 방법을 이용하여 레드머드를 중화한 후 레드머드의 물리·화학적 특성을 평가하고 다양한 중화 방법으로 활성화된 레드머드를 이용하여 안정화를 진행한 후 토양 중 비소의 안정화 효율을 평가해 보았다.
2.1. 토양 및 레드머드
본 연구의 진행을 위한 연구대상 토양은 전라남도 영암군 서호면 태백리에 위치한 금은 광산인 (폐)은적광산 갱구 입구(M1, M2)에서 채취하였다. 토양 시료는 상부 0-30 cm의 표토층에서 채취하였으며 채취한 토양은 풍건 후 2 mm 체를 이용하여 체거름 한 뒤 실험을 수행하였다. 본 연구에서 사용된 레드머드는 전라남도 KC 회사에서 제공한 레드머드를 사용하였다. 실험을 위하여 레드머드를 풍건 후 막자사발을 이용하여 갈아 75 mm 체로 거른 후 사용하였다.
2.2. 물리·화학적 특성 분석
토양 pH는 토양과 증류수를 1:5(w/w) 비율로 섞고 한 시간 동안 진탕한 후 상등액을 분리 후 pH meter(Orion star series, Thermo)로 측정하였으며 토양 시료 중 유기물함량은 105oC에서 건조된 시료를 750oC에서 2시간 동안 강열·감량을 시행하여 실험 전후 무게 차를 이용하여 분석하였다. 토양오염공정시험법에 따라 토양 내 비소 및 중금속의 농도를 측정하고자 왕수법을 시행하였다. 토양 시료 1 g에 왕수(HNO3 : HCl = 2.33 mL : 7 mL) 9.33 mL를 가하여 70oC에서 2시간 가열한 후 추출된 액상의 비소 및 중금속을 유리섬유 필터(CF/C filter)로 여과하여 플라즈마 원자방출분광기(Inductively Coupled Plasma-Optical Emission Spectrometer, ICP-OES, Arcos, Spectro)로 분석하였다. 토양의 입경 분포는 입도 분석기(Laser Particle Size Analyzer, Master sizer 3000, Malvern Instruments Ltd.)를 이용하여 분석하였으며 광물학적 조성은 다목적 X-선 회절분석기(Multi purpose X-ray Diffraction, XRD, EMPYREAN, Malvern PANalytical)로 평가하였다. 레드머드의 표면의 물리적 특성 및 화학적 조성을 알아보기 위하여 비표면적측정분석(Brunauer-Emmett-Teller, BET, Surface Area & Pore size Analyze, BELSORP-max, Microtrac BEL Corp.), 다목적 X-선 회절 분석(XRD), X선 형광분석 X-Ray Fluorescence, XRF), Axios Minerals, Malvern Panalytical)을 수행하였다.
2.3. 레드머드 중화 및 소성처리
중화제 종류에 따른 레드머드 영향을 알아보기 위해 레드머드와 증류수, 0.1 M FeCl3, 0.1 M HCl, 0.1 M NaCl, 0.1 M CaCl2의 용액을 1:20(w/w)으로 하여 25oC에서 2시간 동안 진탕시켜 세척한 후 원심분리기에서 4000 rpm으로 30분간 원심분리한 후 105oC에서 24시간 건조하여 사용하였다. 증류수 세척 횟수에 따른 레드머드의 영향을 알아보기 위하여 증류수를 이용하여 25oC, 2시간 동안 1, 2, 6회 진탕시켜 세척하였다. 레드머드의 고온 소성처리에 따른 영향을 알아보기 위하여 도가니에 10 g의 레드머드를 넣고 200oC, 400oC, 600oC, 800oC에서 2시간 동안 열처리를 후 데시게이터에서 식힌 다음 실험에 사용하였다.
2.4. 토양 중 비소 안정화
광산 오염 토양 중 비소의 안정화 처리를 위해 토양 시료 10 g에 대하여 2 wt%의 레드머드를 무게 대비 함량으로 혼합 첨가하였으며, 충분히 혼합될 수 있도록 20%의 수분을 첨가하여 150 rpm으로 3시간 동안 균일하게 혼합하여 안정화를 진행한 후 65oC에서 24시간 동안 건조하였다. 레드머드를 이용하여 토양 안정화 처리 후 토양 중 비소의 안정화 효율을 평가하기 위해 안정화 처리된 토양을 TCLP 용출 시험을 이용하여 토양 중 비소의 용출 특성을 평가하였다. TCLP 용출시험은 USEPA SW-846 method 1311(USEPA, 1992)에 의해 안정화 토양 1 g에 용액(Acetic acid, pH 2.88±0.05) 20 mL를 넣고 150 rpm으로 18시간 동안 교반한 후 7000 rpm에서 10분간 원심분리한 후 분리된 상등액을 0.45 mm PVDF Syringe Filter로 여과한 후, ICP-OES를 이용하여 용출된 비소 및 중금속의 농도를 측정하였다. 용출 시험 이후 안정화 효율을 계산하기 위해 다음의 식을 사용하였다.

여기서 C0와 C는 안정화제 주입 전·후 토양의 용출액 중 비소의 농도이다.
2.5. 토양 중 비소 존재 형태
Wenzel(Wenzel et al., 2001) 연속추출법에 의한 토양 중 비소의 존재 형태 분석은 1) 이온교환 형태, 2) 강하게 흡착된 형태, 3) 비결정질 산화물에 결합된 형태, 4) 결정질 산화물에 결합된 형태, 5) 황화물 및 유기물에 결합된 형태와 잔류상으로 구분하여 순차적으로 추출하여 평가하였으며 연속추출 시 추출 조건은 Table 1에 나타내었다. 중금속 오염 토양 1 g에 단계별 용액 25 mL를 넣어 추출한 후 7000 rpm에서 10분간 원심분리한 후 분리된 상등액을 0.45 mm PVDF Syringe Filter로 여과한 후, ICP-OES를 이용하여 용출된 비소 및 중금속의 농도를 측정하였다. 본 연구에서 유기물 함량, 토양 중 비소 및 중금속 농도, 비소의 존재 형태 분석은 각 시료에 대하여 3번을 수행하여 평균값을 보고하였다.
3.1. 토양의 특성
본 연구에서 사용된 M1과 M2 토양의 비소 및 중금속 농도와 물리·화학적 특성을 Table 2에 나타내었다. M1과 M2의 비소 전 함량은 각각 14,000 mg/kg과 3,720 mg/kg으로 두 토양 모두 토양오염 우려 기준 25 mg/kg을 크게 초과하였으며, 토양 중 납, 구리, 아연의 농도 역시 우려 기준을 초과하여 은적광산 주변 토양이 비소 및 중금속으로 심각하게 오염되어 있는 것을 확인할 수 있다. 토양의 pH는 M1은 5.2, M2는 5.9로 두 토양 모두 약산성을 나타내었으며 두 토양 모두 미사양토(Silty loam)의 토성을 보였다. 유기물 함량은 M1과 M2 토양에서 각각 2.04%, 1.02%로 나타났다. 토양 중 비소의 존재 형태 살펴보기 위하여 5단계 연속추출을 수행하여 결과를 Fig. 1에 나타내었다. M1 토양의 경우 1단계가 0.5%의 분포 비율을 보이며, 2단계 5.4%, 3단계 60.4%, 4단계 3.7%, 5단계가 30%를 보이고 있어 비결정질 산화물에 결합된 형태의 비율이 가장 높은 것으로 평가되었고 M2 토양의 경우 1단계가 0.1%, 2단계 4.1%, 3단계 48.2%, 4단계 7.3%, 5단계가 40.3%를 보여 비결정질 산화물에 결합된 형태와 황화물 및 유기물에 결합된 형태의 비율이 높은 것으로 평가되었다.
대상 토양의 XRD 분석 결과(Fig. 2) 두 토양 모두 일반적으로 토양에서 많이 관측되는 quartz(SiO2), muscovite (KAI2(AlSi3O10)(F,OH2)), kaolinite(Al2(OH)4Si2O5)가 주된 광물로 존재하는 것을 확인할 수 있었다. 비소의 농도가 높은 M1 토양의 경우 비소 산화물인 arsenolite(As2O3)가 검출되었다.
3.2. 레드머드의 특성
레드머드는 높은 알칼리성의 물질로 레드머드의 물리적, 화학적 특성은 알루미늄 정제 과정에 따라 달라진다(Brunori et al., 2005; Genç et al., 2003; Liu et al., 2011; Snars and Gilkes, 2009; Taneez and Hurel, 2019). 레드머드의 XRD 분석결과(Fig. 6) 레드머드에서 일반적으로 나타나는 Sodalite(Na8Al6Si6O24Cl2), Hematite(Fe2O3), Boehmite(AlO(OH)), Goethite(FeO(OH)), Gibbsite(Al(OH)3), 가 주된 광물로 존재하는 것을 확인할 수 있었다. 레드머드의 화학적 조성을 파악하기 위하여 수행된 XRF 분석 결과(Table 3) 본 연구에서 사용한 레드머드는 여러 선행 연구 결과와 유사하게 다량의 Fe과 Al으로 이루어져 있으며 이외에 Si, Na, Ti, Ca 등의 조성을 가진 것으로 분석되었다.
3.3. 세척 후 레드머드의 pH 변화
Table 4는 다양한 중화제를 이용한 세척 후 레드머드의 pH 변화를 보여준다. 증류수(DIW)로 세척된 레드머드의 pH는 세척 횟수 증가하면서 pH가 0.1~0.4씩 감소하여 레드머드의 pH가 세척 전 10.7에서 증류수로 6회 세척 후 10.3으로 감소하였다. 증류수 세척으로 pH 0.4의 감소를 보여주었으나 여전히 높은 알칼리성을 나타내어 증류수 세척만으로 레드머드의 중화에 효과적이지 않음을 알 수 있었다. 이전 연구(Genç-Fuhrman et al., 2004; Genç et al., 2003)에서 레드머드를 중화하기 위하여 해수를 이용한 세척 방법이 제안되어 왔으며 본 연구에서는 해수의 주된 염분 성분인 NaCl과 CaCl2를 이용한 중화 방법을 평가해 보았다. 0.1 M NaCl과 0.1 M CaCl2를 이용하여 레드머드를 세척한 후 레드머드의 pH가 10.2와 8.9로 중화 전보다 0.5와 1.8로 감소하여 CaCl2를 이용하였을 때에 레드머드의 중화가 NaCl과 비교해 효과적임을 보여주었다. 해수의 CaCl2는 레드머드와 반응하여 CaCO3를 형성하고 이로 인해 레드머드의 알칼리도가 감소한 것으로 판단된다. 본 연구에서는 NaCl, CaCl2와 함께 금속 염화물인 FeCl3와 비금속 염화물인 HCl을 중화제로 이용하여 레드머드 세척을 진행하였다. FeCl3의 경우 물에 용해되었을 때에 강한 산성을 나타내어 레드머드의 중화효과를 나타낼 수 있을 뿐 아니라 중화 후 레드머드 중 비소 및 중금속의 흡착에 효과적인 철 함량의 증가에 기여할 수 있다. 0.1 M HCl, 0.1 M FeCl3로 세척한 레드머드의 pH는 8.7과 4.3으로 감소하였으며 0.1 M FeCl3가 레드머드 중화에 가장 효과적임을 보여주었다.
3.4.레드머드의 증류수 세척 횟수에 의한 영향
증류수로 세척한 레드머드에 의한 토양 중 비소의 안정화에 증류수 세척 횟수의 영향을 알아보기 위하여 증류수로 0, 1, 2, 6회 세척한 레드머드를 이용하여 비소로 오염된 토양의 안정화를 진행하였다. Fig. 3은 증류수로 세척한 레드머드를 이용하여 M1과 M2 토양의 안정화 진행 후 증류수 세척 횟수에 따른 토양 중 비소의 안정화 효율과 안정화 후 토양 중 pH를 보여준다. 세척 전 레드머드를 이용한 토양 중 비소의 안정화 효율은 M1과 M2 토양에서 각각 74%와 38%를 나타내어 M2 토양의 경우 레드머드에 의한 비소의 안정화 효율이 매우 낮음을 알 수 있었다. 이는 토양의 물리·화학적 특성과 토양 중 비소의 존재 형태가 레드머드의 안정화에 크게 영향을 주는 것을 나타낸다. M1과 M2 토양의 경우 안정화 이전에 pH가 5.2과 5.9로 약산성을 나타내었으나 레드머드로 안정화를 진행한 이후에 pH가 8.2와 9.7로 크게 증가하여 알칼리성을 나타내었다. M2 토양의 pH 증가가 M1 토양에 비해 크게 나타내었으며 M2 토양의 높은 pH 환경에서 철과 비소의 약한 결합력으로 인해 토양 중 비소의 이동성이 증가하여 낮은 안정화 효율을 나타낸 것으로 여겨진다. 증류수로 세척한 레드머드에 의한 토양 중 비소의 안정화 효율은 세척 횟수에 의한 차이를 나타내지 않았다. M2 토양의 경우 증류수로 6회 세척하였을 때 세척 전 안정화 효율이 38%에서 41%로 미미한 증가를 보여주었지만, 세척이 안정화 효율에 영향을 주지 않는 것으로 여겨진다. 앞 절에서 레드머드에 대한 증류수 세척 횟수가 늘어나면서 레드머드의 pH가 10.7(0회)에서 10.3(6회)으로 감소하는 것을 보여주었다(Table 4). 세척한 레드머드로 안정화 후 토양의 pH는 M1 토양의 경우 8.2(0회)에서 7.5(6회)로 감소하였으며 M2 토양의 경우 9.7(0회)에서 8.5(6회)로 감소하여 레드머드의 세척이 레드머드로 안정화 후 토양의 알칼리화를 감소시키는 영향을 나타내었다.
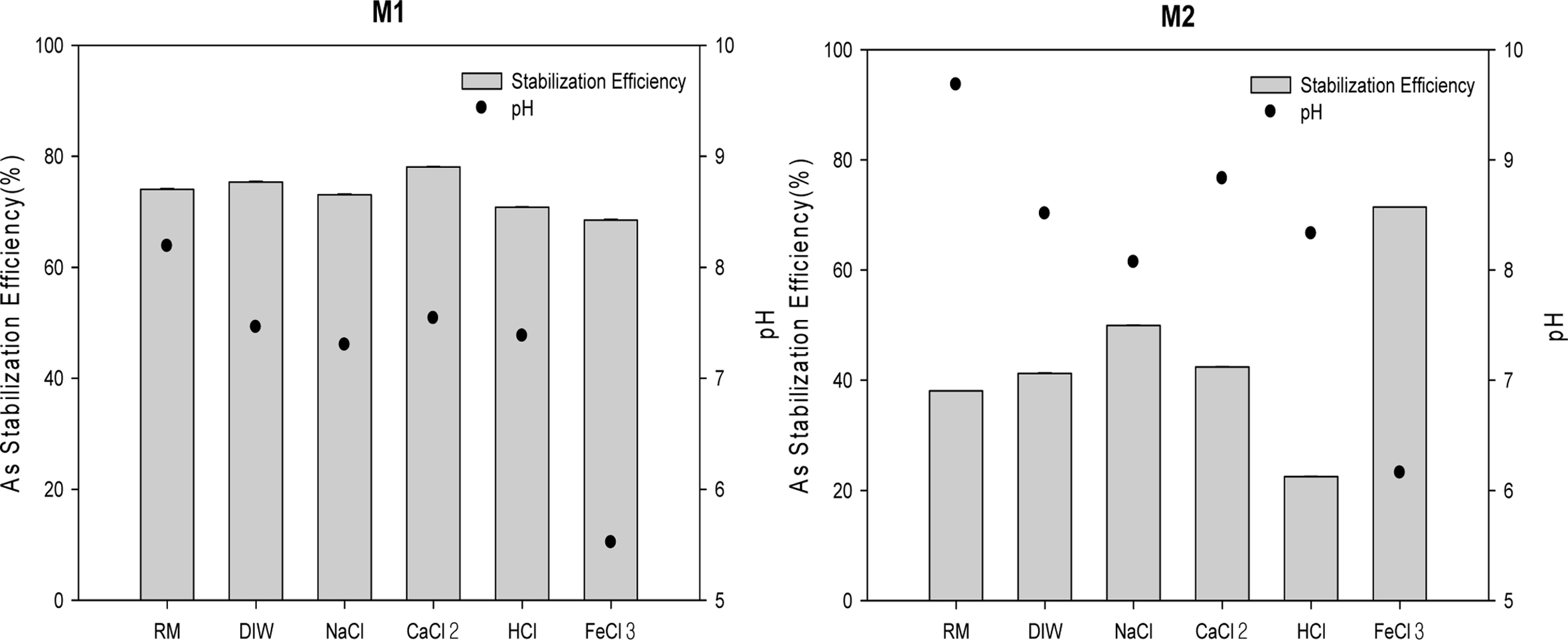
3.5. 레드머드의 중화제 종류의 영향
레드머드에 의한 토양 중 비소의 안정화에 중화제의 영향을 알아보기 위하여 증류수, NaCl, CaCl2, HCl, FeCl3로 세척한 레드머드를 이용하여 비소로 오염된 토양의 안정화를 진행하였다. 다양한 중화제로 세척한 레드머드를 이용하여 M1과 M2 토양의 안정화 진행 후 토양 중 비소의 안정화 효율과 안정화 후 토양 중 pH를 Fig. 4에 나타내었다. M1 토양의 경우 중화 처리된 레드머드에 의한 안정화 후 토양의 pH가 8.2에서 7.5~5.5로 감소하는 것을 보여주었다. 레드머드에 토양 중 비소의 안정화 효율은 중화 전 74%에서 CaCl2로 중화하였을 때에 78%로 약간 증가하였으나 FeCl3로 중화하였을 68%로 감소하여 레드머드의 중화가 M1 토양 중 비소의 안정화 효율에 큰 영향을 주지 않았다.
반면 M2 토양의 경우 중화 처리된 레드머드의 주입에 의해 안정화 토양의 pH가 9.7에서 8.5~6.1로 감소하여 M1 토양과 비교해 중화제 종류에 따라 토양의 pH가 큰 폭으로 변화하였다. 레드머드에 의한 토양 중 비소의 안정화 효율은 HCl로 중화한 경우를 제외하고 토양의 pH가 감소하면서 다소 증가하는 경향을 보여주었으며 특히 0.1 M FeCl3로 중화하였을 때에 안정화 효율이 71%로 크게 증가하는 결과를 보여주었다. M2 토양의 경우 M1 토양과 비교해 레드머드 주입에 의해 토양 pH가 크게 증가하였으며 높은 pH 환경으로 인하여 낮은 비소의 안정화 효율을 나타내었으나 중화된 레드머드 주입에 의한 토양의 pH 변화가 비소의 안정화 효율 증가에 영향을 준 것으로 보인다. 따라서 토양의 종류에 따라 다른 토양의 pH 완충 능력이 중화된 레드머드에 의한 토양 중 pH 변화에 영향을 주며 이러한 변화가 비소의 안정화 효율에 영향을 준 것으로 평가된다.
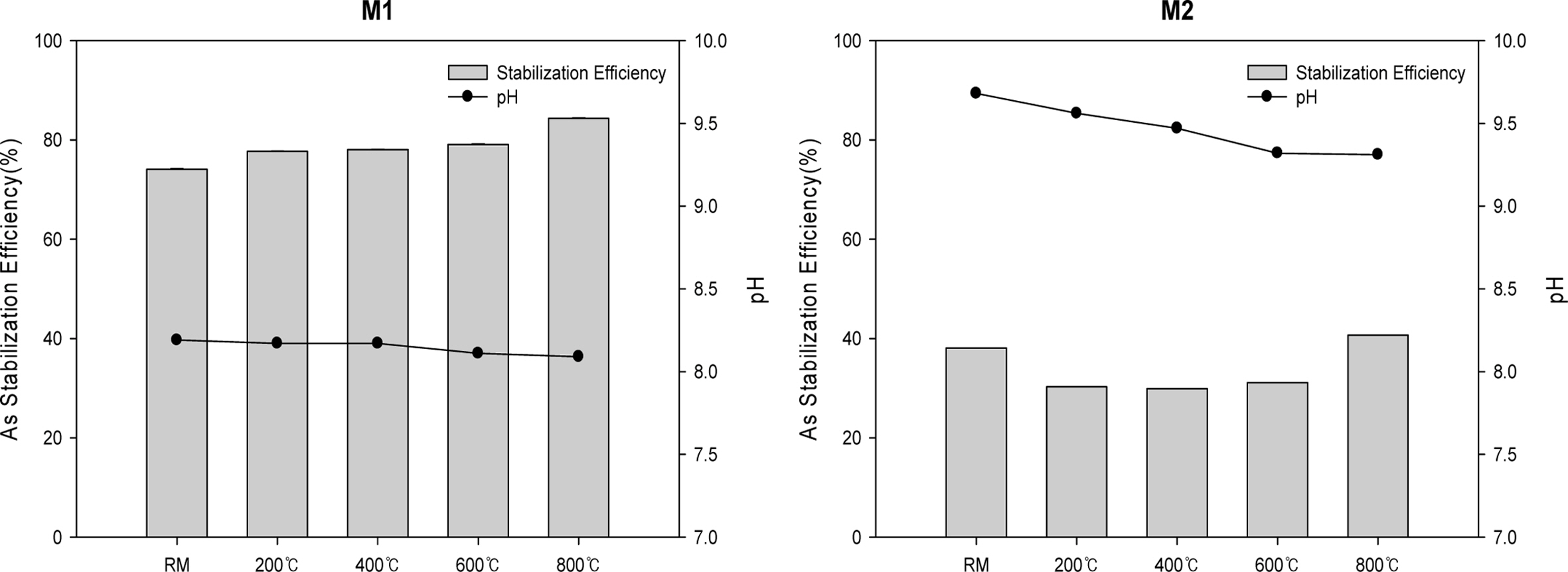
3.6. 고온 소성에 의한 레드머드 중화
선행 연구에서 레드머드를 다양한 온도에서 소성 시 레드머드 내 알칼리성 성분이 감소하거나 레드머드의 표면적 증가로 인해 레드머드의 중화현상이 보고되었다(Altundoðan et al., 2002; Li et al., 2006). 본 연구에서는 고온 소성에 의한 레드머드의 중화효과를 알아보기 위하여 무처리 레드머드를 200, 400, 600, 800oC에서 2시간 동안 고온 소성한 후 레드머드의 특성 변화와 토양 중 비소의 안정화 효율을 평가해 보았다. 소성 온도에 따른 레드머드의 pH는 소성 전 레드머드의 pH 10.7에서 소성 온도가 200oC에서 800oC로 증가함에 따라 pH 12.1로 증가하여 강알칼리성을 나타내어 선행 연구와 반대의 결과를 나타내었다(Table 5).
선행 연구(Altundoðan et al., 2002)에서 레드머드의 고온 소성 시 알칼리성의 Cancrinite(Na6Ca2Al6Si6O24(CO3)2)와 Katoite(Ca3Al2[SiO4]3), Sodalite(Na8Al6Si6O24Cl2)의 peak 감소하는 것이 관찰되었다. 하지만 본 연구에서 800oC에서 소성한 레드머드의 XRD 분석 결과(Fig. 5) 선행 연구와 달리 Sodalite의 peak이 오히려 증가하여 레드머드의 고온 소성에 의해 알칼리 성분이 증가하였으며 이로 인해 소성 후 레드머드의 pH가 증가한 것으로 여겨진다.
소성 온도의 증가에 따라 레드머드 비표면적은 24.50 m2/g 에서 400oC에서 29.64 m2/g까지 증가하였지만 소성 온도가 600oC로 증가했을 때부터는 표면적이 감소하여 800oC에서 9.33 m2/g으로 비표면적이 크게 감소하였다. 본 연구결과는 선행 연구에서 레드머드를 고온 소성할 경우 초기에는 물의 증발이 공극률을 증가 시켜 비표면적이 증가하지만, 온도가 증가할수록 비표면적이 감소한 결과와 일치하며 이는 레드머드의 소결·수축으로 인한 것으로 보고되었다(Li et al., 2006). 또한 800oC에서 소성한 레드머드의 XRD 분석 결과(Fig. 5) goethite와 hematite와 같은 결정질 철산화물의 피크의 증가가 관측되었는데 고온에서 소성 시 레드머드 내 비결정질 산화물이 결정질 산화물 형태로 변화하면서 비표면적의 감소가 이루어진 것으로 여겨진다.
Fig. 6은 소성된 레드머드에 의한 토양 중 pH 변화와 비소 안정화 효율을 보여준다. M1 토양의 경우 소성된 레드머드로 안정화 처리 후 토양의 pH가 소성 온도가 높아지면서 레드머드의 pH가 증가한 것과 반대로 소성 온도가 증가하면서 안정화 후 토양 pH가 8.2에서 8.1로 소폭 감소하는 경향을 보여주었다. 이는 소성에 의해 레드머드의 pH 증가가 크지 않았으며 안정화 시 레드머드와 토양 내 광물상 등과의 상호작용에 의해 토양의 pH에 영향을 준 것으로 여겨진다. 토양 중 비소의 안정화 효율은 레드머드의 소성 온도가 높아질수록 증가하는 경향을 보였으며 특히 800oC에서 소성한 레드머드를 첨가하였을 때 소성 전 74%에서 84%로 안정화 효율이 증가한 것을 볼 수 있다. 이러한 결과는 선행 연구에서 소성 온도가 높아질수록 중금속 흡착 효율이 감소하는 결과와 다른 경향을 보여준다(Altundoðan et al., 2002; Li et al., 2006). Altundoðan et al.(2002)은 400oC에서 소성한 레드머드의 As(III) 흡착 효율이 가장 높은 반면 400oC 이상의 온도에서 소성한 레드머드의 경우 As(III) 흡착이 감소하는 결과를 보여주었으며 Yanzhong Li et al.(2006)의 연구에서 700oC 이상에서 소성한 레드머드의 인산염 흡착효율이 감소하는 것을 보여주었다. 본 연구에서 600oC 이상의 온도에서 소성한 레드머드의 경우 비표면적이 크게 감소하였으나 토양 중 비소의 안정화 효율은 오히려 증가하였다. 소성에 의해 레드머드의 비표면적이 감소하였지만 레드머드 구성성분 및 pH 등의 특성 변화가 토양 내 비소의 안정화 효율 증가에 기여한 것으로 여겨진다. M2 토양의 경우 안정화 후 토양 중 pH는 M1 토양 결과와 유사하게 소성 온도가 증가하면서 pH 9.7에서 9.3으로 약간 감소하여 소성에 따른 레드머드 자체의 pH 증가와 다른 결과를 나타내었다. 레드머드를 첨가한 토양의 안정화 효율은 레드머드 소성 온도가 600oC까지 증가할 때까지 안정화 효율이 다소 감소하였으나 800oC에서 소성한 레드머드 첨가 시 안정화 효율이 41%로 소성 전 38%와 유사한 안정화 효율을 나타내었다. M1 토양에서 소성 온도가 높아지면서 비소 안정화 효율이 다소 증가하는 것과 달리 M2 토양의 경우 800oC에서 소성한 레드머드의 경우를 제외하고는 소성 후 레드머드에 의한 안정화 효율이 오히려 감소하였는데 이는 pH 등과 같은 토양 특성의 차이에 의한 것으로 여겨진다. Table 6
|
Fig. 1 Sequentially extracted arsenic fractions from soils (F1: non-specifically sorbed, F2: specifically sorbed, F3: associated with amorphous iron oxides, F4: associated with crystalline iron oxides, F5: residual, organic matter bound and sulfide). |
|
Fig. 2 XRD patterns of M1 and M2 soils. |
|
Fig. 3 Arsenic stabilization efficiencies and pH of M1 and M2 soils applied with distilled water-washed red mud. |
|
Fig. 4 Arsenic stabilization efficiencies and pH of M1 and M2 soils applied with neutralized red mud with various reagents. |
|
Fig. 5 XRD patterns of (A) untreated red mud and heat-treated red mud (B) at 400oC and (C) at 800oC. |
|
Fig. 6 Arsenic stabilization efficiencies and pH of M1 and M2 soils applied with heat treated-red mud at various temperatures. |
본 연구에서는 다양한 중화제와 고온 소성 방법을 이용하여 레드머드의 중화 특성과 중화된 레드머드에 의한 토양 중 비소 안정화 특성을 평가하여 보았다. 증류수를 이용하여 레드머드를 세척할 경우 세척 전, 후 pH 차이는 0.5로 증류수 세척만으로는 레드머드의 중화가 효과적이지 않음을 알 수 있다. 다양한 중화제 세척 따른 레드머드 pH 변화는 FeCl3, HCl, CaCl2, NaCl 순으로 세척 전 pH 10.7에서 pH 4.3으로 FeCl3 세척이 레드머드의 pH를 낮추는 데 가장 효과적으로 나타났다. 증류수로 세척한 레드머드의 경우 레드머드 자체 pH 감소는 미미하였지만, 토양에 적용하였을 때에 토양의 알칼리도 감소 효과를 보여주었다. 레드머드를 고온 소성하였을 때에는 소성 온도가 증가함에 따라 레드머드의 pH가 증가하였지만 토양에 적용하였을 때에 토양의 pH는 소폭 감소하는 결과를 보여주었다. 다양한 중화제로 세척한 레드머드에 의한 토양 중 비소의 안정화 효율은 토양의 종류에 따라 큰 차이를 보여주었다. 중화처리 전 레드머드에 의한 비소의 안정화 효율이 비교적 높게 나타난 M1 토양의 경우 중화제 종류에 따라 안정화 효율의 변화가 크지 않았지만, 중화처리 전 레드머드에 의한 비소의 안정화 효율이 낮았던 M2 토양은 중화처리 방식에 따라 비소의 안정화 효율이 크게 증가하는 것을 보여주었다. 이는 토양 내 존재하는 광물상과 pH 완충 능력 등의 특성 차이가 레드머드와 토양 광물상과의 반응과 토양 내 pH 변화에 영향을 주며 이러한 차이가 비소의 안정화 효율에 영향을 준 것으로 여겨진다.
본 연구는 정부(과학기술정보통신부)의 재원으로 한국연구재단의 지원을 받아 수행된 연구임(No. 2019R1F1A 1062675).
This Article2021; 26(6): 65-73
Published on Dec 31, 2021
Services
Correspondence toDepartment of Environmental Engineering, Mokpo National University, Jeollanam-do 58554, Korea