
Chanyoung Jeong1,2·Ji-Woong Choi3·Hee Sun Moon1,2*·Dong-Hun Kim1·Sang-Ho Moon1·Ji Yeon Han1,2,5·Seolran Oh1,2,6·Yongcheol Kim1
1Groundwater Research Center, Korea Institute of Geoscience and Mineral Resources
2Department of Mineral and Groundwater Resources, University of Science and Technology
3Daon-Eco. Inc.
4Korea Maritime & Ocean University
5Hanwool Life Science
6KOTITI Testing & Research Institute
정찬영1,2·최지웅3·문희선1,2*·김동훈1·문상호1·오용화4·한지연1,2,5·오설란1,2,6·김용철1
1한국지질자원연구원 지질환경연구본부 지하수연구센터
2과학기술연합대학원대학교 광물·지하수자원학과
3(주)다온에코
4한국해양대학교
5한울생명과학(주)
6KOTITI 시험연구원
This article is an open access article distributed under the terms of the Creative Commons Attribution Non-Commercial License (http://creativecommons.org/licenses/by-nc/4.0) which permits unrestricted non-commercial use, distribution, and reproduction in any medium, provided the original work is properly cited.
Wetlands are one of the most representative groundwater dependent ecosystems(GDEs) that require access to groundwater on a permanent or intermittent basis to maintain their biological communities and ecological processes. In this study, the seasonal characteristics of the GDEs in Baekseok Reservoir Wetland were evaluated through the monitoring of the temporal and spatial community of benthic macroinvertebrates in the wetland. The appearance of benthic macroinvertebrates appearance was changed seasonally depending on environmental factors such temperature, precipitation and water level for their habitat and it also showed the clear spatial difference in the wetland. The scores of Diversity index(H’), Richness Index (R1) and the Ecological score of benthic macroinvertebrates (TESB/AESB) were relatively high at St.3 and 4(i.e., north area) where groundwater inflows into wetland(i.e., high 222Rn conc.). The statistical analysis (ANOVA test and PCA) investigated the correlation among the benthic macroinvertebrates’ community, groundwater level, wetland water level and water quality. The results showed that the community of benthic macroinvertebrates at St. 3 and 4 in Baekseok Reservoir Wetlands was spatially dependent on groundwater level and groundwater inflow. The characterization and assessment of GDEs requires understanding the hydrological, biogeochemical and biological process and this study will provide information for characterization and assessment of GDEs.
Keywords: Wetland, Groundwater dependent ecosystem, Baseflow, Groundwater – Surface water interaction, Ecological score of benthic macroinvertebrates
지구상의 전체 면적에서 6%에 해당하는 습지는 담수 또는 염수가 일시적 또는 영구적으로 그 표면을 덮고 있는 지역으로 육상 생태계와 수 생태계 사이의 통로역할을 하는 전이 영역이다(Naimen et al., 1993). 습지의 범위는 매우 광범위하며 공간적 분포 또한 산 정상부에서 연안에 이르기까지 넓게 분포한다. 이러한 습지는 홍수조절, 수자원 확보, 수질정화 등의 환경기능 등을 수행하고, 휴식공간, 교육장소 및 여러 가지 동식물과 습지라는 경관이 가지고 있는 독특한 특성으로 인하여 생태관광이라는 새로운 관광 상품뿐만 아니라 여러 생물의 서식공간으로 생물 다양성 측면에서 습지에 대한 관심은 높아지고 있다(Kong et al., 2014; Mitsch et al., 2015).
습지생태계는 복합적이고 다양한 생태적 기능을 포함하며, 식물상(flora), 동물상(fauna) 뿐만 아니라 각 분류군끼리의 상호관계 즉 생산자, 소비자 및 분해자의 각 영양단계(trophic level)가 서로 유기적 관계로 연결되어 있기 때문에 분류군별 영양단계와 먹이사슬(food chain)관계, 탄소 흡수능 등에 관한 연구가 지속적으로 수행되고 있다(Chun et al., 2004; Were et al., 2019). 또한, 습지는 기후변화에 민감하게 반응하며, 기후환경은 습지의 형성, 발달, 유지에 영향을 미칠 뿐 아니라, 생물종다양성과 생물 서식지를 결정하는 인자로(Salimi et al., 2021), 서식지와 생물 종의 기후 한계와 저항 능력이 각각 확인됨에 따라 기후변화의 영향에 대한 평가가 매우 중요하게 대두되고 있다(Hong et al., 2019; Kim, 2015; Pacifici et al., 2015). 이에 따라, 우리나라 환경부에서도 전국내륙습지 일반조사와 정밀조사를 통해, 내륙에 분포하고 있는 2,700여개의 습지를 발굴하였으며, 이 중 1,916개 국가습지에 대하여 습지등급 평가 및 지속적인 습지이력관리를 수행하고 있는 실정이다.
한편, 습지의 바닥이나 주변 지역 등 지표수와 지하수의 수교환이 일어나는 혼합대(hyporheic zone)는 물리화학적 특성이 서로 달라 지구화학적 특성 또한 급격하게 변화하는 구간으로(Gurnell et al., 2012; Hyun and Kim, 2013), 다양한 기작을 통해 수질오염물질의 자연저감, 물질순환, 등을 포함하여 생태계에 중요한 역할을 하며(Meek et al., 2010), 혼합대의 수환경 특성은 기저유출에 크게 영향을 받는 것으로 알려져 있다. 기저유출(baseflow)이란 지하수에서 하천 및 습지로 흘러오는 흐름으로 지표수와 지하수의 물순환적 측면에 있어서 중요한 요인으로 작용한다(Kang et al., 2019).
이와 같이 지하수에 일부 혹은 전적으로 영향을 받는 생태계를 지하수의존생태계(Groundwater-dependent ecosy- stems, GDEs)라고 하며(Jakeman et al., 2016), 습지는 지표수와 지하수의 상호작용에 의해 영향을 받을 뿐만 아니라 기후변화에도 민감한 수생태계를 가지는 대표적인 지하수의존생태계이다(House et al., 2016; Hyun et al., 2011; Morsy et al., 2017; Winter, 1999).
수생태계 분류군 중 저서성대형무척추동물은 가장 다양하고 풍부한 분류군으로 영양단계의 저차소비자로 수생태계에 중요한 생태적지위(niche)에 있으며, 각각의 환경상태에 대한 생물군집의 특성을 더 자세하게 볼 수 있는 자연환경평가의 지표로도 이용할 수 있다(Hynes, 1970; Karr, 1999; Rosenberg and Resh, 1993; Smith et al., 1999; Ward, 1992). 또한, 저서성대형무척추동물은 지하수유입에 따른 수생태계건강성 지수의 상관성이 높은 것으로 알려져 있다(Kang and Jun, 2016).
기후변화에 대응하여 지속 가능한 수자원의 보전을 위해 습지 생태계와 같은 지하수의존생태계의 보전 및 관리가 요구되나(Kløve et al., 2014), 국내에서 수행된 습지 생태계 연구는 현상 관찰 및 분석에 대한 내용이 대부분으로(Kang and Hyun, 2015), 기후변화에 대응한 생물종 보전 및 생물다양성 소실의 최소화 방안 마련에 기준이 되는 우선순위 제시 및 구체적 대응전략 등을 위한 기초연구가 부족한 실정이다(Kang and Jun, 2016). 또한, 습지와 같은 지하수의존생태계의 특성 평가를 위해서는 지하수의 수리·물리화학적 특성평가뿐만 아니라, 생물 특성에 대한 복합적 평가도 포함되어야 한다(Conant et al., 2019).
따라서, 본 연구는 계절에 따른 습지 내 지하수 영향에 의한 저서성대형무척추동물의 군집을 시·공간적으로 모니터링하여 데이터베이스를 구축하고, 계절적인 지하수 및 습지 수위, 수질 변화에 따른 저서성대형무척추동물 군집의 비교·분석을 통해 지하수의존생태계의 특성을 평가하고자 하였다.
2.1. 연구지역
백석제습지는 전라북도 군산시 옥산면 당북리에 위치한 0.14 km2 면적을 가지는 습지로, 대부분 신생원대 금성리층(Geumseongri Formation)에 해당되며, 습지 주변의 저구릉성 산지의 모습을 보여준다. 과거에 관개용수를 목적으로 1945년 축조된 저수지가 2008년 용도 폐기되면서, 지속적인 개방수면의 축소와 육지화로 현재는 저수지의 기능을 거의 상실하였으며, 저수지의 전역 대부분이 건습화·습지 화가 된 상태이다(National Wetlands Center, 2016).
지리적 특성상 습지의 흐름이 제한되어 있기 때문에 강우 및 인근 사지로부터 용출수의 유입이 있으며, 지형 특성에 따라 전체적으로 북쪽에서 남쪽으로 지표수 및 지하수의 흐름이 형성된다. 또한, 건기와 우기에 따라 저수량에 차이가 있어, 여름철(6월~9월)은 강우에 의해 수위 변동의 영향을 받고, 그 외에는 주요 수원인 지하수의 유입에 따라 습지 수위가 유지되는 것으로 보고되고 있다(National Wetlands Center, 2016; Oh et al., 2020). 습지는 전체적으로 실트질과 점토질로 퇴적층이 구성되어 있으며, 퇴적층은 습지의 북쪽에서 남쪽으로 갈수록 두꺼워 지며, 습지 내부는 20 m 정도의 퇴적층이 분포하고 있는 것으로 추정된다(National Wetlands Center, 2016; Oh et al., 2020).
또한, 백석제습지는 멸종위기야생생물 5종(가시연, 독미나리, 물고사리, 물수리, 붉은배새매 등)을 포함하여 517종의 다양한 생물들이 서식하는 생태적 가치가 뛰어난 공간으로(National Wetlands Center, 2016) 군산시에서는 멸종위기야생생물의 보호를 위해 습지보호구역 지정을 추진하고 있다.
2.1.1. 조사기간 및 지점
백석제습지의 계절별 지하수와 습지 수위변화에 따른 저서성대형무척추동물 생태 특성을 모니터링하기 위해 2018년에 4회(1차 : 2018년 5월 3일~5월 4일, 2차 : 2018년 7월 11일~7월 12일, 3차 : 2018년 8월 30일~8월 31일, 4차 : 2018년 10월 25일~10월 26일), 2019년에 4회(5차 : 2019년 3월 21일~3월 22일, 6차 : 2019년 5월 30일~5월 31일, 7차 : 2019년 8월 15일~8월 16일, 8차 : 2019년 10월 8일~10월 9일), 총 8회 조사를 실시하였다. 또한, 조사 시기의 지하수 및 지표수의 수위를 함께 모니터링 하였고, 조사시기별 평균 기온과 강우는 기상청 자료를 참고하였다. 연구지역의 연평균 기온은 약 13.5oC, 강수량은 연평균 1,100 mm이다.
백석제습지 주변 지하수 모니터링을 위해 백석제습지 바로 외부에 5개의 모니터링 관정(관정구경 : NX 76 mm, 심도 : 15 m)이 설치 되었으며, 2018년도에는 5개의 모니터링 관정으로부터 20 m 이내의 지점(i.e., St.1~5 총 5개)에서 조사가 이루어졌고, 2019년도에는 서남쪽 지점에 추가로 1지점(St. 6)을 포함하여(총 6개) 모니터링하였다(Fig. 1).
2.2. 저서성대형무척추동물 조사
2.2.1. 시료 채집 및 동정
저서성대형무척추동물의 정량조사는 드렛지(Dredge net, 폭 40 cm, 망목 1.0 mm)를 사용하여 조사정점의 바닥 1.0 m를 끄는 방식으로 2회 조사를 실시하였다. 1 mm 체(sieve number:18)로 선별된 모든 채집물은 500 ml 플라스틱통에 넣고 현장에서 95% 에틸알코올(ethyl alcohol)에 고정하였고, 실험실로 운반하여 선별한 후 80% 에탄올(ethanol)에 보관하였다. 생물의 동정은 해부현미경(SZX-16, OLYMPUS, Japan) 또는 광학현미경(Eclipse 80i, Nikon, Japan) 하에서 동정하였고, 일부 동정이 어려운 종은 과(family) 혹은 속(genus) 수준까지 동정하였으며, 분류학적 참고문헌들(Kawai and Tanida, 2005; Kwon et al., 1993; Mitsch et al., 2015; Won et al., 2005; Yoon, 1995)을 참고하였다.
2.2.2. 군집분석 및 생물학적 수환경 평가
본 연구지역에서 채집된 저서성대형무척추동물의 군집분석은 다양도(H') (식(1))(Shannon and Weaver, 1949) 와 풍부도(R1)(식(2))(Margalef, 1958) 지수를 이용하였다. 저서성대형무척추 동물은 분류군별로 각각 고유한 수환경 특성을 가지고 있어, 이를 생물학적 수환경 지표로 나타낼 수 있다(Hynes, 1970; Karr, 1999; Rosenberg and Resh, 1993; Smith et al., 1999; Ward, 1992). 따라서, 생물학적 수환경 평가는 저서성대형무척추동물 총 생태점수(TESB)(식(3))와 저서성대형무척추동물의 평균 생태점수(AESB)(식(4))를 이용하였다. 총 생태점수 및 평균 생태점수에 따른 수환경평가 등급은 Table 1에 제시하였다(Kong et al., 2018).

다양도(H') 지수는 한 군집 내에서 종과 개체수의 관계(상대수도)를 고려하여 지수화한 것으로 지수가 높을수록 군집내의 다양도가 높다(Shannon and Weaver, 1949).

풍부도(R1) 지수는 총 개체수와 총 종수를 사용하여 군집의 상태를 표현하는 지수로 값이 높을수록 종 구성이 풍부하게 균형을 이루는 것을 알 수 있다(Margalef, 1958).

종별 출현 개체수 비를 고려하는 지수와 달리 종수만을 고려하는 TESB 지수는 표본크기(sample size)가 커지면 더불어 그 값이 증가하는데, 이는 환경상태에 대한 평가에 있어서 해석이 달라질 수 있으며 자연적으로 서식처가 단순한 수환경에서는 값이 대체로 지수값이 작은 경향이 있다(Kim et al., 2013). 이러한 문제점을 보완하기 위해 환경질 점수를 평균한 AESB 지수는 하천의 여러 환경요인 중 수질상태를 판정하는데 더욱 유용할 수 있어 본 조사에서는 TESB 지수와 AESB 지수를 복합적으로 이용하였다(Kong et al., 2018).

S : Total number of species
i : Number assigned to the species
Pi : Proportional abundance of ith species (Ni / N)
N : Total number of individuals
Qi : Environmental quality score of i species (= 1, 2, 3, 4, 5)
2.2.3. 수질 시료 채취
저서성대형무척추동물 모니터링 지점에서 용존유기탄소(dissolved organic carbon, DOC), 총용존질소(total dis- solved nitrogen, TDN) 및 총용존인(total dissolved pho- sphorous, TDP), 농도를 각각 모니터링하기 위해 습지 내 물시료를 조사 지점당 채취하여 현장에서 즉시 0.45 μm 멤브레인 필터로 여과 후 황산으로 산처리를 하였다. 채취된 시료는 냉장보관 상태(4oC)로 실험실로 운반하여, 용존유기탄소(DOC)는 총유기탄소분석기(TOC-L Analyzer, SHIMADZU, Japan)를 이용하였으며, 분석 샘플을 산화한 후, 무기물(inorganic carbon)과 간섭물질(interference)을 제거한 뒤, NPCO(Non-Purgeable Organic Carbon) 농도를 TOC(Total Organic Carbon) 농도로 측정하는 NPCO 분석법을 이용하여 분석하였다. 총용존질소(TDN) 및 총용존인(TDP)는 자동화분석기(AA3, SEAL analytical, USA)를 이용하여 발색법(Colorimetric Assay and Screening)으로 분석하였다. 모든 시료는 3~5회 반복 측정하여 평균으로 산출하였다.
2.2.4. 저서성대형무척추동물의 지하수의존 특성 평가
백석제습지의 모든 조사지점을 대상으로 환경인자 주성분 특성을 평가하기 위해 저서성 대형무척추동물 출현종수 및 개체밀도와 지하수 수위, 습지 수위, 지하수-습지 수위차, 지점별 실측수심, 수온, 총용존질소(TDN) 및 총용존인(TDP) 간의 상관성을 일원배치분산분석(One Way Analysis of Variance, ANOVA, P < 0.05)과 주성분 분석(principal component analysis, PCA)를 이용하여 지점별 차이를 통계적으로 평가하였다. 통계분석에 이용된 샘플수는 총 8회 조사의 결과를 표본값으로 적용하였다.
|
Fig. 1 Locations of monitoring sites for benthic macroinvertebrates and groundwater monitoring wells in Baekseok Reservoir Wetland. |
|
Table 1 Classification scheme of the TESB, AESB and the recommendation of area control according to the environmental status and the water quality standard(Kong et al., 2018) |
3.1. 저서성대형무척추동물 출현 현황
총 8회의 조사 결과 백석제 습지에서 저서성대형무척추동물은 총 4문 6강 15목 25과 31종 1,567 개체/m2가 채집·구분·집계되었다(Table 2). 개별 출현종에 대한 점유율을 나타내는 상대풍부도(RA : Relative Abundance)와 개별분류군에 대한 환경질 점수(Qi)를 종합적으로 고려한 결과, 백석제 습지는 전반적으로 유량이 적고 모래 및 진흙 저질의 퇴적물로 이루어져 대부분 물이 고이거나 유속이 느린 논, 물웅덩이 및 연못과 같은 정수지역에 서식하는 연체동물문(Mollusca)의 논우렁이(Cipangopaludina chinensis malleata), 물달팽이(Radix auricularia), 왼돌이물달팽이(Physa acuta), 수정또아리물달팽이(Hippeutis cantori)와 오염수역을 대표하는 지표생물로 환경질 점수(Qi)가 1점대로 낮은 환형동물문의 실지렁이(Limnodrilus gotoi), 절지동물문(Arthropoda) 곤충강(Insecta)의 깔따구류(Chironomidae sp.) 등이 계절에 상관없이 상시 출현하였다.
저서성대형무척추동물의 우점종(dominant species)과 아우점종(sub-dominant species)의 상대풍부도(RA)을 살펴보면(Table 3) 조사 시기 및 지범별로 다소 차이가 있으나, 대부분의 지점에서 실지렁이(Limnodrilus gotoi)가 17.1~ 66.2%로 우점종, 깔따구류(Chironomidae sp.)가 16.7~ 55.6%로 아우점종을 나타냈으며, 그 외에는 물벌레(Asellus hilgendorfii)와 수정또아리물달팽이(Hippeutis cantori) 등이 주로 출현 하는 양상을 보였다. 이에 따라 저서성대형무척추동물 군집구조는 전반적으로 단순하고 우점종을 중심으로 특정 분류군에 의한 의존도가 매우 높은 것으로 판단된다.
저서성대형무척추동물의 분류군별 출현종수(Fig. 2)는 2018년도에 7~14종, 2019년도에 14~20종으로 확인되었으며, 2018년도 7월에 14종, 2019년 3, 5월에 각각 19, 20종으로 가장 다양하게 출현하였고, 전체적으로 2019년도에 종수가 증가하였다. 다만, 2018년 5월에서 8월 사이에는 종수가 7종에서 12종으로 증가하였으나 2019년에는 19종에서 15종으로 감소를 하는 경향을 보였는데, 2018년도 5월 습지 하부 St.5 지점의 조사 불능으로 인하여 출현 종수 산정이 진행되지 못한 것과 2019년도 St.6 지점의 추가로 인한 조사 지점 수의 차이로 인한 것으로 판단된다.
한편, 군산지역 평균 기온과 강우량을 살펴 보았을 때(Fig. 3), 기온은 2018년도 5월 17.7oC, 8월 26.9oC, 2019년도 5월 17.5oC, 8월 26.5oC로 큰 차이는 없으나, 강우량은 2018년도 5월 139.6 mm, 8월 495.9 mm, 2019년도 5월 137.0 mm, 8월 218.3 mm로 2018년도 8월의 강우량이 2배 이상 차이 남에 따라, 출현율은 기온 및 강우에 따른 습지 수위 변동에 영향을 받는 것으로 판단되며, 이중 곤충강(insecta) 출현율이 비교적 높게 확인되어 수서곤충의 번식, 산란, 우화 등의 주요 생육 활동에 의한 결과로 보인다(Merritt and Cummins, 1999; Thorp and Covich, 2009).
3.1.1. 군집분석
백석제 습지에서 채집된 저서성대형무척추동물의 군집분석을 수행하여 산출된 다양도지수(H')와 종풍부도지수(R1) 양상은(Fig. 4) 계절적으로 2018년도 8월에 다양도지수(H') 1.46~2.75, 종풍부도지수(R1) 0.74~2.04, 2019년도 5월에 다양도지수(H') 1.85~2.90, 종풍부도지수(R1) 1.30~ 2.72로 가장 높게 나타났다. 이는 저서성대형무척추동물 분류군의 주요 생육시기 및 환경요인(강우, 수온 등)의 영향으로 인한 결과로 판단되며, 앞서 언급한 출현종수 차이와 마찬가지로 2018년도 8월과 2019년도 8월의 강우량이 약 2배 이상 차이남에 따라 물리적 교란을 통해 수환경 및 습지수위가 변화하여, 상대적으로 저서생물 군집의 회복성이 더 빠르기 때문에 일시적으로 지수값이 상승한 것으로 판단된다(Underwood, 1999).
반면, 지점별 다양도지수(H')는 2018년도 St.3 지점에서 1.58~2.64로 높게 나타났고, 2019년도에는 St.2, 4지점에서 각각 1.29~1.85, 1.76~2.9로 가장 높게 나타났다. 종풍부도지수(R1)는 2018년도 St.2, 3 지점에서 각각 0.7~ 2.04, 0.8~2.01로 높게 나타났고, 2019년도에 St.2, 4지점에서 각각 1.21~2.35, 1.3~2.72로 높게 나타났다. 군집지수의 종합 평가 결과, St. 2, 3, 4에서 뚜렷한 차이를 보여 계절적인 특성과 별개로 공간적인 환경 특성이 출현종과 군집지수를 결정하는 것으로 사료된다.
3.1.2. 생물학적 수환경평가 결과
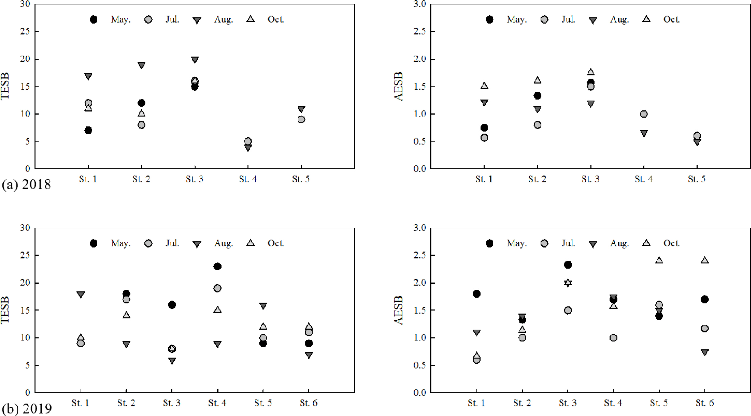
저서성대형무척추동물의 생태점수(개별 분류군의 환경질 점수에 따른 수질평가에 따른 총생태점수(TESB)와 평균생태점수(AESB)를 복합적으로 비교한 결과(Fig. 5) TESB는 5~25, AESB는 0.5~2.4의 범위로 산출되어 전체적으로 ‘불량’~‘매우불량’의 환경상태, ‘강부수성(poly- saprobic)’ 오수생물계열로 분류되어 수중퇴적물의 산화작용이 활발한 부패수역으로 평가되었다(Table 1 참조). 이는 정수성 수환경인 백석제 습지 특성상 다량의 유기물의 축적으로 인한 결과로 보인다(National Wetlands Center, 2016).
계절별 생물학적 수질평가지수(TESB, AESB)는 2018년도 5월에 TESB 9~23 AESB 0.8~1.6, 2019년도 5월에 TESB 19~23, AESB 1.8~2.3으로 높게 측정되었는데, 같은 시기 군산일대 평균 강우량, 기온 및 지하수위와 비교해본 결과(Fig. 3) 기온, 강우, 지하수 유입 등의 물리적 물질 순환 및 교란에 따른 수환경변화가 반영된 것으로 판단된다. 반면, 지점별 TESB 지수는 2018년도에 St.3 지점에서 15~20, 2019에는 St.4 지점에서 9~23으로 상대적으로 높은 값을 보였고, AESB 지수는 2018년도와 2019년도에 St.3 지점에서 1.2~2.33으로 높은 값을 보여 습지 상부 북동측 St.3, 4 지점은 계절적 특성과 별개로 지점별 수환경 차이에 의한 변화 양상을 보였다.
3.2. 저서성대형무척추동물의 수생태 특성과 지하수의존 환경인자 특성 평가
백석제에서 채집된 저서성대형무척추동물의 군집분석 및 생물학적 수환경평가 결과 계절적인 특성 외에 지점별 요인이 있음을 확인하였다. 따라서, 저서성대형무척추동물의 수생태특성과 환경인자 특성을 파악하기 위해 출현종수 및 개체밀도와 지하수 수위, 습지 수위, 지하수-습지 수위차, 지점별 실측수심, 수온, 총용존질소(TDN) 및 총용존인(TDP)간의 상관성을 분석였고, 각각의 환경인자들은 계절별(총 8회), 지점별(St.1~6)로 구분하였다(Table 4).
2018년도 저서성대형무척추동물의 출현종수 및 개체밀도와 습지 수위, 지하수 수위, 지하수-습지 수위차 및 지점별 실측수심 간에 상관성은 유의확률(p-value)이 모두 0.05보다 큰 것으로 분석되어 통계적으로 유의하지 않은 것으로 판단되었다. 2019년도 저서성대형무척추동물의 출현종수는 지점별 실측수심(상관계수: 0.650, 유의확률: 0.002)이 양의 상관관계, 총용존질소(TDN)(상관계수 : –0.484, 유의확률 : 0.030)가 음의 상관관계를 보였고 지하수 수위, 습지 수위, 지하수-습지 수위차, 수온 간의 상관성은 유의확률(p-value)이 모두 0.05보다 큰 것으로 분석되어 통계적으로 유의하지 않은 것으로 판단되었다.
각 지점에서 채집된 종과 개체밀도 데이터를 활용하여 환경인자들과의 상관성에 대해 다변량통계분석을 수행하였고, 각 지점에서 채집된 종과 개체밀도 데이터를 지점별로 시각화하였다(Fig. 6). 그 결과, 특정한 분포 양상을 보였는데, 2018년도 조사시 백석제 북서측 St. 3, 4 지점에서 클러스터를 형성하여 다른 지점과 구분되는 것으로 분석되었으나 종 조성에 영향을 미치는 특정 환경 요인은 파악되지 않았다. 2019년도 조사 시에도 동일한 St.3, 4 지점에서 클러스터를 형성하였는데, St.3, 4 지점은 지하수 수위가 저서성대형무척추동물의 종 조성에 영향을 미치는 것으로 평가된다.
지하수의존특성의 종합 평가 결과 St.3, 4 지점에서 종 조성의 영향을 미치는 요인이 파악되었으며, 이는 습지의 실측 수심, 지하수 수위 및 총용존질소(TDN) 따른 영향을 받는 것으로 확인되었다.
3.3. 공간적인 지하수 유입 특성에 따른 저서성대형무척추동물 의존 특성
백석제습지의 공간적인 지하수 유입 특성에 따른 저서성대형무척추동물 의존 특성을 평가하기 위해 지하수 용출 특성 평가를 위한 환경추적자인 222Rn 농도 모니터링 결과를 바탕으로(Oh et al., 2020) 습지 내 용존유기탄소(DOC) 농도의 상관관계 분석을 하였다.
백석제 습지 내의 222Rn 농도(i.e., 지하수유입량)와 용존유기탄소(DOC) 농도의 상관관계를 분석한 결과 음의 상관관계를 나타냈다(Fig. 7). 백석제습지는 지하수가 주요 유입원으로 북측에서 남측으로 지형구배를 따라 유하 하는 특성을 보이는 것으로 보고되고 있으며(Oh et al., 2020), 백석제 습지의 평균 DOC 농도는 지하수의 유입량이 많은 북측 지점(St.3, 4)에서 각각 5.56, 6.46 mg/L의 상대적으로 낮은 농도를 형성한다(Fig. 8). 이러한 결과를 군집분석결과 및 생물학적 수환경평가결과와 비교하면, 지하수 유입량이 많은 북측 지점(St.3, 4)에서의 지수값이 상대적으로 높게 확인되어 수환경 특성의 변화를 나타냈다. 이는 유기물 농도가 낮고 양호한 수질 특성을 띠는 지하수의 유입에 따라 저서성대형무처추동물의 생태점수가 높게 산출된 것으로 보이며, 계절적으로 강우 및 수온 변화에 따른 영향으로 저서성대형무척추 동물의 군집 구조의 차이를 보이는 것으로 보아, 백석제 습지의 저서성대형무척추동물은 계절 혹은 지하수 유입에 따라 변화하는 특성을 보이고 있는 것으로 판단되며, 지하수의존생태계의 기능을 가지고 있는 것으로 확인되었다.
|
Fig. 2 Total number of appearance Macroinvertebrates species (Platyhelminthes: 편형동물문, Annelida: 환형동물문, Mollusca: 연체동물문, Crustacea: 갑각강, Insecta: 곤충강). |
|
Fig. 3 Average precipitation, temperature and groundwater level of study area. |
|
Fig. 4 Community analysis of seasonal and spatial benthic macroinvertebrates. |
|
Fig. 5 Seasonal and spatial ecological score of benthic macroinvertebrate. |
|
Fig. 6 Principal component analysis(PCA) ordination diagram of benthic macroinvertebrate community composition and environmental factors. |
|
Fig. 7 Correlation between 222Rn concentration (Bq/m3 ) and dissolved organic carbon concentration (mg/L) in wetland surface water. |
|
Fig. 8 Spatial distribution of average DOC concentration (mg/L) in Baekseok Reservoir Wetland. |
|
Table 2 Index of benthic macroinvertebrates community in study area |
1 RA(%): Relative abundance = (Each number of appearances/Total number of appearances × 100) |
|
Table 4 The one-way ANOVA test for benthic macroinvertebrates community composition between environmental factors intergroup |
본 연구에서는 계절에 따른 습지 내 저서성대형무척추동물의 군집을 시·공간적으로 모니터링하여 데이터베이스를 구축하고, 계절적인 지하수 및 습지 수위, 수질 변화에 따른 저서성대형무척추동물 군집의 비교·분석을 통해 지하수의존생태계의 특성을 평가하였다.
백석제습지의 저서성대형무척추동물의 출현종수는 5~7월에 증가하고, 8월에 감소하는 경향을 보였다. 또한, 저서생물의 총생태점수(TESB)와 평균생태점수(AESB)를 이용한 생물학적 수환경평가와 이화학적 수질특성을 분석한 결과 백석제 습지는 “강부수성(polysaprobic)”의 부패수역으로 평가되었다. 저서성대형무척추동물의 군집지수와 생태점수는 계절적으로 기온 및 강우량 등 물리적 교란에 따라 변화를 보였으나, 공간적으로는 습지 상부 St. 3, 4 지점에서 높게 산출되었다. 이는 계절별로 저서성대형무척추동물의 번식 및 우화에 따른 생육 시기 차이와 기온 강우량 등의 변동으로 인한 결과로 판단되며, 공간적으로는 습지 상류부인 북서측과 하류부의 남동측에 차이가 있는 것으로 보아 계절적인 특성 외에 저서성대형무척추동물의 출현에 영향을 끼치는 수질 환경적 요인이 있는 것으로 판단되었다. 이에 따른 저서성대형무척추동물 군집의 수환경특성 분석 결과 계절별로 유량의 변동성이 큰 습지 상부 St. 3, 4 지점에서 지하수 유입에 따라 변화하는 특성을 보여, 백석제 습지의 일부 수환경은 지하수의존생태계로 볼 수 있음을 시사하고 있다.
습지는 복합적이고 다양한 작용을 통해 물질의 생산, 분해, 흡수, 정화 등의 기능을 수행하며, 생태계 내에서 생물과 환경간의 상호작용 및 생물자원의 서식지를 제공하여 자연환경의 가치가 매우 높다. 대표적인 지하수의존생태계인 습지의 수자원을 보전하고 관리하기 위해서는 습지의 수리수문학적 특성, 이화학적 특성, 생물학적 특성에 대한 이해가 복합적으로 이루어져야 하며, 이러한 연구는 습지의 보호, 보전 및 정책 자료로 활용할 수 있고, 향후, 기저유출지표 개발 및 활용방안 연구에 활용 할 수 있을 것으로 사료된다.
본 연구는 한국지질자원연구원 주요 사업인 “기후변화대응 대용량지하수 확보 및 최적 활용 기술 개발(GP2020- 012)” 과제의 재정적 지원을 받았으며 이에 감사드립니다.
This Article2021; 26(6): 130-143
Published on Dec 31, 2021
Services
Correspondence to1Groundwater Research Center, Korea Institute of Geoscience and Mineral Resources
2Department of Mineral and Groundwater Resources, University of Science and Technology