
Lee Sangyoon1·Lee Taewoo1·Kwon E. Eilhann1*
1Department of Earth Resources and Environmental Engineering, Hanyang University, Seoul 04763, Republic of Korea
이상윤1·이태우1·권일한1*
1한양대학교 자원환경공학과
This article is an open access article distributed under the terms of the Creative Commons Attribution Non-Commercial License (http://creativecommons.org/licenses/by-nc/4.0) which permits unrestricted non-commercial use, distribution, and reproduction in any medium, provided the original work is properly cited.
To abate the environmental burdens arising from CO2 emissions, biochar offers a strategic means to sequester carbons due to its recalcitrant nature. Also, biochar has a great potential for the use as carbon-based adsorbent because it is a porous material. As such, developing the surface properties of biochar increases a chance to produce biochar with great adsorption performance. Given that biochar is a byproduct in biomass pyrolysis, characteristics of biochar are contingent on pyrolysis operating parameters. In this respect, this work focused on the investigation of surface properties of biochar by controlling temperature and reaction medium in pyrolysis of pine sawdust as case study. In particular, CO2 was used as reaction medium in pyrolysis process. According to pyrolytic temperature, the surface properties of biochar were indeed developed by CO2. The biochar engineered by CO2 showed the improved capability on CO2 sorption. In addition, CO2 has an effect on energy recovery by enhancing syngas production. Thus, this study offers the functionality of CO2 for converting biomass into engineered biochar as carbon-based adsorbent for CO2 sorption while recovering energy as syngas.
Keywords: Biomass valorization, Pyrolysis, Carbon dioxide, Syngas, Engineered biochar
높은 에너지 밀도를 갖는 화석연료는 현대 사회에서 주된 에너지원으로 활용되어 왔다. 에너지에 대한 수요가 경제적 번영에 비례한다는 점에서, 화석연료의 사용량이 2000년 8,050 million tonnes of oil equivalent(Mtoe)에서 2018년 11,739 Mtoe으로 1.5배 증가하였다(Ramyashree et al., 2021), (Lee et al., 2022). 증가하는 화석연료의 사용은 대기 중 이산화탄소 농도를 증가시켰고, 현재 자연에서 수용 가능한 탄소의 양을 넘어섰다(Kumaravel et al., 2020). 그 결과, 지구온난화와 같은 심각한 환경적/사회적 문제를 야기하였다. 대기 중 탄소 누적을 막기 위한 수단으로 탄소 포집 및 저장(carbon capture and storage, CCS) 공정은 매우 유망한 방법으로 인식되어왔다. 다양한 기술들(용매 흡수, 화학/물리 흡착, 맴브래인 분리 등)로 구성되어 있는 CCS공정은 이산화탄소를 선별적으로 포집할 수 있다(Babin et al., 2021). 게다가, 포집된 고순도 이산화탄소를 화학물질 합성을 위한 원료로서 활용하는 다양한 연구가 수행되고 있다(Thakur et al., 2018). 하지만, CCS를 위한 공정들은 많은 비용을 필요로 한다는 점에서, CCS의 현장 적용에 있어 제한점으로 지적되어왔다(Budinis et al., 2018). 따라서 대기 중 이산화탄소 저감에 효과적이고 경제적인 방법을 찾는 것은 중요하다.
다양한 이산화탄소 저감 방법 중에서, 바이오차 생산 및 활용에 대한 관심이 증가하고 있다. 바이오차는 무산소 조건에서 바이오매스의 열적 분해 과정에서 발생하는 고형 부산물이다(Mašek et al., 2019). 열분해 과정 동안 바이오매스는 탄화가 진행된다(Leng et al., 2019). 탄화 과정에서 바이오차는 높은 물리화학적 안정도를 갖는다. 그리하여 바이오차는 생분해에 대한 높은 저항성을 갖고, 자연환경에서 오랜 기간 동안 탄소를 고정/저장할 수 있다(de la Rosa et al., 2018), (Qiao et al., 2020). 이러한 관점에서, 바이오차는 CCS를 위한 전략적인 대체 물질로서 활용 가능하다. 게다가, 바이오차는 탄화 과정에서 공극을 형성하며 비표면적이 증가한다(Oginni and Singh, 2020). 다공성 물질로서의 바이오차는 토양 개량제, 흡착제, 촉매제 등의 다양한 환경 분야에서의 활용 가능하다(Albanese et al., 2019), (Cao et al., 2019), (Lee et al., 2017). 이러한 바이오차의 표면 특성은 다양한 열분해 운용 조건들(온도, 승온 속도, 반응 매개체 등)에 의해 영향을 받는다(Leng and Huang, 2018). 바이오차의 표면 특성을 향상시키기 위해, 물리적/화학적 활성 방법에 관한 많은 연구가 수행되고 있다(Liu et al., 2020), (Mai et al., 2021). 특히, 이산화탄소를 활용한 후처리 활성은 바이오차 비표면적을 증가시키는 데 효과적이다(Dissanayake et al., 2020). 하지만, 800oC 이상의 높은 온도에서 적용 가능하다는 점에서 상당한 에너지를 필요로 한다(Kwak et al., 2019). 따라서 높은 에너지 효율을 보이는 것과 동시에, 바이오차의 표면 특성을 향상시키기 위한 바이오매스 전환 공정을 개발하는 것은 중요하다.
이러한 관점에서, 본 연구는 무산소 조건에서 바이오매스 열분해 과정에서 제조되는 기존의 바이오차 대비 표면 특성이 향상된 기능성 바이오차(engineered biochar)의 생산을 목표로 한다. 이를 위해 기존의 고온에서 후처리 활성에 활용되는 이산화탄소를 열분해 과정의 반응 매개체로 사용하였다. 바이오차의 수율이 바이오매스 내 리그닌 함량에 비례하여 증가한다는 점에서, 리그닌 함량이 풍부한 소나무 톱밥을 바이오차 생성을 위한 원료로 사용하였다(Kim et al., 2020). 그리하여, 소나무 톱밥의 열분해 과정에서 기존 무산소 조건에서 생산된 바이오차 대비 우수한 성능을 갖는 바이오차 생산을 위한 이산화탄소의 효과를 조사하였다. 마지막으로, 이산화탄소 흡착 시험(CO2 sorption test)을 통해 기능성 바이오차의 흡착 성능이 평가되었다.
2.1. 실험 재료 및 화학물질
바이오차 생성을 위한 원료로써 소나무 톱밥이 사용되었고, 소나무 톱밥은 농촌진흥청에서 제공 받았다. 열분해 실험에 앞서, 소나무 톱밥은 수분을 제거하기 위해 105oC 오븐에서 48시간 동안 건조되었다. 건조된 샘플은 믹서기를 사용하여 분쇄되었고, 0.15 mm 이하의 크기로 균질화되었다. 실험에 사용된 고순도(99.999%) 질소와 이산화탄소는 Green-gas에서 구매되었다. 가스 검량을 위해, 각 20%의 부피 비로 질소, 이산화탄소, 수소, 메탄, 일산화탄소가 구성되어있는 표준 가스 혼합물은 RIGAS에서 구매했다.
2.2. 재료 특성분석
소나무 톱밥의 열적 분해 특성을 확인하기 위해, 질소와 이산화탄소 조건에서 열중량 분석(thermo-gravimetric analysis, TGA)이 Netzsch TGA analyzer(STA 449 F5 Jupiter, Germany)를 사용하여 수행되었다, 10 ± 0.01 mg의 소나무 톱밥이 샘플 도가니에 거치되었고, TGA 분석 동안, 온도는 35oC부터 900oC까지 10oC/min의 승온 속도로 조정되었고, 질소와 이산화탄소의 유량은 100 mL/min으로 유지되었다.
2.3. 바이오차 생성 및 가스 분석 방법
바이오차 제조를 위한 열분해 실험 세팅을 위해 원형 반응기(직경: 22 mm, 길이: 1 m)와 원형 전기로가 사용되었다. 시료와 반응기 사이에 반응을 배제하기 위해, 원형 반응기는 석영관이 사용되었다. 1 ± 0.01 g의 소나무 톱밥을 사용하여 열분해 실험을 진행하였고, 반응기 내 무산소 환경을 조성하기 위해 질소 또는 이산화탄소를 200 mL/min의 유량으로 열분해 실험 동안 흘려주었다. 질소 또는 이산화탄소 조건에서 바이오차를 제조하기 위해, 700oC와 800oC의 두 가지 온도가 설정되었고, 각 온도에 도달하기 위한 승온 속도는 10oC/min으로 설정되었다. 각 온도에 도달한 후, 1시간 동안 등온을 유지하였다. 열분해 가스의 분석을 위해 반응기로부터 배출된 열분해 가스는 Micro-GC(3000A, INFICON, USA) 장비에 직접 연결되었다. 이때, 실시간으로 발생되는 열분해 가스 중 주요 가연성 가스들(수소, 메탄, 일산화탄소)의 농도를 측정하였다. 바이오차 생산을 위한 실험 세팅은 Fig. 1에서 참고 가능하다.
2.4. 바이오차 특성 분석 및 이산화탄소 흡착 시험 방법
생성된 바이오차의 표면 특성들(비표면적, 공극 부피, 공극 직경)을 파악하기 위해, Microtrac BEL사의 BELSORP-max 장비를 사용하여 Brunauer Emmett Teller(BET) 분석법이 수행되었다. 바이오차의 이산화탄소 흡착 시험(CO2 sorption test)을 위해 TGA 장비가 사용되었다. 30 ± 0.01 mg의 바이오차가 샘플 도가니 위에 거치되었다. TGA 장비는 질소 조건에서 150oC에서 1시간 등온 후, 25oC까지 식혀졌다. 이후 질소 가스는 이산화탄소로 전환되었고, 25oC에서 30분 동안 유지되었다.
|
Fig. 1 Schematic diagram of experimental setting for producing biochar derived from pine sawdust in N2 and CO2 atmospheres. |
3.1. 이산화탄소 조건 열분해
바이오차가 바이오매스의 열분해 과정에서 발생하는 고형 부산물임을 고려하면, 소나무 톱밥의 열적 거동을 이해하는 것은 중요하다. 이에, 소나무 톱밥의 열적 분해 특성을 알아보기 위해 열중량 분석이 수행되었다. 참고로 열중량 분석은 온도 증가에 따른 잔여 질량을 측정하여 샘플의 조성에 따라 변화하는 열적 거동을 확인할 수 있다(Saldarriaga et al., 2015). Fig. 2는 소나무 톱밥의 승온에 따른 중량 변화와 분해 속도에 대한 곡선을 나타낸다. 소나무 톱밥은 헤미셀룰로스, 셀룰로스, 리그닌 등으로 구성된 리그노셀룰로직 바이오매스이다(Yu et al., 2018). 이때, 헤미셀룰로스, 셀룰로스, 리그닌은 각각 다른 열적 안정도 갖고 있어 중량 감소가 나타나는 온도가 다르다(Yu et al., 2018). 예를 들어, 질소 조건에서, 200oC 이하 영역에서 나타나는 중량 감소는 소나무 톱밥이 갖고 있는 수분이 증발하면서 발생한 것이다. 이후, 200oC부터 420oC까지 68.4 wt.%의 중량 감소가 나타났다. 이 상당한 중량 감소는 소나무 톱밥 내 열적 안정도가 낮은 물질(헤미셀룰로스와 셀룰로스 등)의 열적 분해에 의한 것이다(Waters et al., 2017). 큰 중량 감소 이후(420oC 이상), 소나무 톱밥의 열분해 속도가 상당히 느려졌고, 적은 중량 감소(10.48 wt.%)를 보였다. 이러한 현상은 리그닌의 열적 분해에 대한 높은 저항성 때문인 것으로 추정된다. 이 과정에서, 소나무 톱밥은 탈수소화 및 탄화 과정을 거치고, 바이오차가 생성된다.
흥미롭게도, 720oC 이전 온도 영역에서, 질소와 이산화탄소 조건 간의 열중량 곡선이 거의 일치하였다. 이는 바이오차 생성과정에서 이산화탄소의 영향이 거의 나타나지 않은 것으로 보인다. 반면, 720oC 이후에서 질소와 이산화탄소 조건 간의 열중량 분석 결과를 비교해보면, 이산화탄소 조건에서만 질량 감소가 나타난다. 이러한 현상은 720oC 이상에서 열역학적으로 시작되는 Boudouard 반응의 결과이다(Rout et al., 2019). 참고로, Boudouard 반응은 이산화탄소와 고체 탄소 간의 비균질 반응에 의해 일산화탄소를 생성한다(Lahijani et al., 2015). 이에, Boudouard 반응이 시작하는 온도인 720oC를 기점으로 바이오차에 대한 이산화탄소의 영향을 확인할 수 있다. 하지만, TGA 분석은 잔여 질량만 측정하기 때문에, 소나무 톱밥의 열분해 과정에서 배출되는 휘발성 화합물과 이산화탄소 간의 영향을 확인하는 것은 어렵다. 따라서 Boudouard 반응이 나타나지 않는 영역에서, 휘발성 화합물에 대한 이산화탄소의 영향을 확인하기 위해, 추가적인 분석이 필요하다.
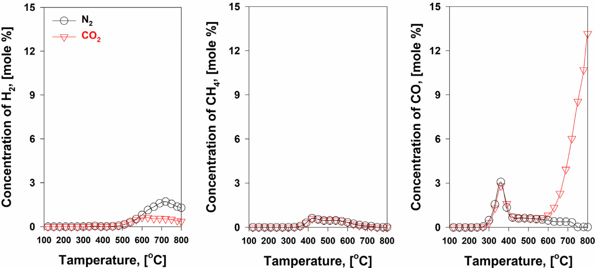
소나무 톱밥의 열분해 과정에서 이산화탄소의 영향을 확인하기 위해, 열분해 가스 분석이 수행되었다. 특히, 열분해 가스 중 에너지원으로 활용 가능한 주요 가연성 가스들(수소, 메탄, 일산화탄소)이 정량되었다. Fig. 3은 승온에 따라 발생한 주요 가스들의 농도 변화 그래프이다. 열분해 가스가 소나무 톱밥 내 다양한 결합의 분해로부터 나타나는 것을 고려하면, Fig. 2의 TGA 결과와 관련 있을 것으로 추정된다. 질소 조건에서, 수소는 420도 부근에서 생산되기 시작하였고, 이는 Fig. 2에서 탈수소화 반응이 일어나는 구간과 거의 일치하는 것을 볼 수 있다. 또한, 일산화탄소의 농도는 350oC에서 피크를 보였고, TGA 결과에서 확인된 소나무 톱밥의 분해 속도가 가장 빠른 온도와 일치하였다. 다만, 600oC 이상의 온도 영역에서 질소 조건과 달리 이산화탄소 조건에서 일산화탄소 발생량이 크게 증가하였다. 게다가, 일산화탄소 농도가 증가하는 것과 동시에 수소 농도가 감소하였다. 앞서 열중량 분석(Fig. 2)에서 확인한 것과 같이, 720oC 이하에서 소나무 톱밥에 대한 이산화탄소의 영향이 나타나지 않았던 것을 고려하면, 일산화탄소 증가는 열분해로 발생하는 수소가 이산화탄소와 반응하는 reverse water-gas shift (RWGS) 반응(H2 + CO2 = CO + H2O)의 결과로 추정된다. 하지만, 이산화탄소 조건에서 수소 감소량 대비 일산화탄소 증가량이 더 크다는 점에서 초과하는 일산화탄소 발생량을 전부 설명할 수 없다. 이에, 소나무 톱밥에서 발생한 휘발성 유기물들과 이산화탄소 간의 가스상 반응(Gas-phase reaction)에 의한 결과로 일산화탄소를 추가적으로 발생시켰을 가능성이 있다. 이때, 이산화탄소에 의한 일산화탄소 생성은 에너지원으로 이산화탄소를 직접 활용할 수 있다는 점에서, 바이오차 생성과정의 에너지 효율을 높일 수 있다. 하지만, 720oC를 기점으로 이산화탄소에 의한 일산화탄소 생성 경로가 달랐다. 따라서 이산화탄소의 다른 반응이 나타나는 열분해 온도에 따라, 바이오차 생성에 미치는 영향에 대한 조사가 필요하다.
3.2. 바이오차 생산 및 특성 분석
앞서 소나무 톱밥 열분해 과정에서, 이산화탄소에 의한 일산화탄소 생성 경로가 Boudouard 반응이 일어나는 720oC를 전후로 상이함을 확인하였다. 이에, 바이오차에 대한 이산화탄소의 영향을 확인하기 위해, 소나무 톱밥을 700oC와 800oC에서 1시간 동안 열분해하여 바이오차를 생산하였다. 바이오차 생산과정에서 온도 변화에 따른 열적 거동을 확인하기 위해, 바이오차 제조 조건과 동일한 조건으로 TGA 분석(Fig. 4)을 수행하였다. 질소 및 이산화탄소 조건 하에 700oC에서 1시간 동안 수행한 TGA 결과는 거의 동일하였다(Fig. 4 (a)). 이는 앞서 720oC 이하의 온도에서 이산화탄소의 영향이 나타나지 않았던 결과와 동일하다. 따라서 이산화탄소에 의한 가스상 반응은 바이오차 수율에 영향을 미치지 않는 것을 확인했다. 반면, 질소 및 이산화탄소 조건하에 800oC에서 1시간 동안 제조한 바이오차의 수율(Fig. 4 (b))은 각각 19.5 wt.%와 4.9 wt.%이었다. 질소 조건 대비 이산화탄소 조건에서 상당한 중량 감소(14.6 wt.%)를 보였고, 이는 Boudouard 반응의 결과이다. 이산화탄소가 바이오차 표면의 탄소와 반응하여 나타난 결과임을 고려하면, 바이오차의 표면 특성이 변화될 것으로 추정된다.
생산된 바이오차의 표면 특성을 확인하기 위해 BET 방법을 따라 분석하였다. Fig. 5 (a)와 Fig. 5 (b)는 각각 700oC와 800oC에서 생산된 바이오차의 등온 질소 흡착/탈착 결과이다. 700oC에서 제조한 바이오차의 비표면적은 질소 조건(424 m2/g) 대비 이산화탄소 조건(549 m2/g)에서 약 1.3배 증가하였다. 이산화탄소 조건에서의 비표면적 증가는 이산화탄소와 휘발성 화합물 간의 가스상 반응의 결과와 관련된다. 이산화탄소에 의한 휘발성 화합물의 산화는 일산화탄소를 생성하는 동시에 휘발성 화합물의 분자량을 저감시켰다. 바이오차 생산과정에서 휘발성 화합물이 바이오차의 표면 형성에 기여한다는 점에서, 이산화탄소에 의한 휘발성 화합물의 분자량 감소가 비표면적을 증가시켰다(Wani et al., 2020). 반면, 800oC에서 질소와 이산화탄소 조건에서 만든 바이오차의 비표면적은 각각 440 m2/g와 737 m2/g이었고, 질소 조건 대비 이산화탄소 조건에서 약 1.7배 증가하였다. International Union of Pure and Applied Chemistry(IUPAC)에서 규정한 기공 유형 분류법을 참고하면, 모든 바이오차의 질소 흡착/탈착 등온선은 I 타입에 해당하였다(Muttakin et al., 2018). 특히, 이산화탄소 조건에서 생성된 바이오차가 더 많은 미세 기공(£ 2 nm)을 갖고 있는 것으로 추정된다. 실제, 두 온도에서 생성된 바이오차의 표면 특성 결과를 비교해보면, 질소 대비 이산화탄소 조건에서 총 기공의 부피가 증가하는 반면, 기공의 평균 직경은 감소하였다. 이는 이산화탄소 조건에서 제조한 바이오차의 표면에 미세기공이 발달한 결과, 비표면적이 증가했음을 알 수 있다.
3.3. 바이오차 흡착 성능 평가
생산된 바이오차의 흡착 성능을 평가하기 위해, 이산화탄소 흡착 시험(CO2 sorption test)이 수행되었다. 이산화탄소 흡착 시험을 위해, TGA가 사용되었다. TGA는 질소 조건 150oC에서 1시간 동안 수분과 불순물을 제거한 후, 25oC까지 식혀졌다. 이후, 질소를 이산화탄소로 전환하였고, 30분 동안 흘려주었다. Fig. 6은 30분 동안 단위 바이오차 무게 당 흡착된 이산화탄소의 양을 측정한 결과이다. 각 조건별 분석 결과는 700oC/질소(1.48 mmol/g), 700oC/이산화탄소(1.51 mmol/g), 800oC/질소(1.61 mmol/g), 800oC/이산화탄소(1.81 mmol/g)로 확인되었다. 질소 대비 이산화탄소 조건에서 만든 바이오차는 더 많은 이산화탄소를 흡착하였다. 또한, 이산화탄소 조건에서 열분해 온도가 증가할수록 바이오차의 이산화탄소 흡착능이 증가하였다. 이러한 결과들은 앞서 BET 방법을 통해 확인된 바이오차의 비표면적 결과와 유사한 경향으로 나타났다. 따라서 바이오차 생산과정에서 이산화탄소에 의한 표면 특성의 변화는 이산화탄소 흡착능 개선에 기여하는 것을 확인하였다. 생산된 바이오차의 표면 특성과 이산화탄소 흡착량의 평가를 위해서 다양한 바이오차에 대한 결과와 비교되었다(Table 1). 다만, 바이오매스는 종류에 따라 헤미셀룰로스, 셀룰로스, 리그닌 등과 같은 구성 성분과 비율이 매우 상이하기 때문에, 다양한 바이오차의 표면 특성을 직접 비교하는 것은 어렵다. 그럼에도, 이산화탄소 활용 소나무 톱밥 유래 바이오차는 다른 바이오차 대비 우수한 비표면적과 이산화탄소 흡착 성능을 보이는 것을 확인했다.
본 연구에서 생산된 바이오차 중, 800oC/이산화탄소 조건에서 생산된 바이오차가 이산화탄소 흡착능이 가장 우수한 흡착 물질임을 확인하였다. 하지만 앞서 TGA 결과(Fig. 4 (b))에서 확인한 바와 같이, 800oC/이산화탄소 조건에서 제조된 바이오차는 Boudouard 반응으로 인해 탄소가 손실되었고, 바이오차 생산 수율이 상당히 감소하였다. 실제, 700oC/이산화탄소 조건(18.8 wt.%) 대비 800oC/이산화탄소(4.9 wt.%) 조건에서 바이오차 생산 수율이 약 74% 감소하였다. 생산 수율이 감소하면, 같은 양의 바이오차를 얻기 위해 투입되는 에너지와 바이오매스(소나무 톱밥) 양이 증가하여, 경제적인 측면에서 불리하다. 이에, 바이오차 생산 수율을 고려하여, 투입되는 단위 바이오매스 양 대비 생산된 바이오차의 비표면적과 이산화탄소 흡착 양을 환산하였다(Table 1). 흥미롭게도, 700oC/이산화탄소 조건에서 생산된 바이오차가 단위 바이오매스 양 대비 비표면적과 이산화탄소 흡착 양에서 가장 우수한 결과를 보였다. 실제, 800oC/이산화탄소 조건 대비 700oC/이산화탄소 조건에서 비표면적과 이산화탄소 흡착 양이 각각 2.9배와 3.3배 증가하였다. 다만, 700oC/질소 및 800oC/질소 조건 대비 700oC/이산화탄소 조건에서의 단위 바이오매스 양 대비 이산화탄소 흡착량은 큰 증가를 보이지 않았다. 그럼에도, 이산화탄소를 활용한 기능성 바이오차를 생산하는 과정에서 발생하는 추가적인 일산화탄소 생성은 바이오차 제조과정의 에너지 효율 증가를 기대할 수 있다는 측면에서 그 가치가 있다. 따라서 700oC/이산화탄소 조건에서 생산된 기능성 바이오차는 다른 조건 대비 에너지 효율적이며 우수한 흡착 성능을 보였다는 점에서, CCS를 위한 전략적인 대체 물질로서 활용 가능하다. Table 2
|
Fig. 2 Mass loss pattern and thermolytic rate of pine sawdust as the function of temperature in N2 and CO2 atmospheres. |
|
Fig. 3 Evolution profile of H2, CH4, and CO during pyrolysis of pine sawdust in N2 and CO2 atmospheres |
|
Fig. 4 Mass loss pattern of pine sawdust under N2 and CO2 environments at the isothermal temperatures (for 1 h) of (a) 700oC and (b) 800oC. |
|
Fig. 5 N2 adsorption/desorption isotherm curve and BET results (specific surface area, pore volume, and mean pore diameter) of biochar during pyrolysis of pine sawdust in N2 and CO2 atmospheres at the isothermal temperatures (for 1 h) of (a) 700oC and (b) 800oC. |
|
Fig. 6 CO2 sorption test of biochar from pyrolysis of pine sawdust under N2 and CO2 environments at the isothermal temperatures (for 1 h) of (a) 700oC and (b) 800oC. |
|
Table 1 Comparison of surface properties and CO2 sorption capacity (at 1 bar and 25oC) of different biochars |
|
Table 2 Specific surface area and CO2 sorption capacity (at 1 bar and 25oC) of biochars generated from various pyrolysis conditions |
본 연구에서는 소나무 톱밥의 바이오차 생산과정에서 이산화탄소의 효과가 조사되었다. 이를 위해, 소나무 톱밥의 열분해 과정에서 이산화탄소가 반응 매개체로 활용되었다. 바이오차에 대한 이산화탄소의 영향은 열분해 온도에 따라 다르게 나타났다. 700oC와 800oC의 두 열분해 온도가 설정되었고, 각각 가스상 반응과 Boudouard 반응에 의해 바이오차 표면 특성 변화가 나타났다. 또한 바이오차 생산과정에서 발생하는 가스의 분석을 통해 이산화탄소 조건에서 추가적인 일산화탄소가 발생하는 것을 확인하였으며, 일산화탄소의 활용은 바이오차 생산과정에 에너지 효율을 높일 수 있다. 이산화탄소 조건에서의 바이오차의 비표면적은 700oC와 800oC에서 질소 조건 대비 각각 1.3배와 1.7배 증가하였다. 또한, 생성된 바이오차의 이산화탄소 흡착능이 조사되었고, 비표면적과 비례하는 경향으로 나타났다. 따라서 800oC/이산화탄소 조건에서 생산된 바이오차가 이산화탄소 흡착능에 가장 우수한 성능을 보였다. 하지만, 바이오차 생산 수율을 고려할 때, 700oC/이산화탄소 조건에서 생산된 바이오차가 투입 원료 대비 가장 우수한 비표면적과 이산화탄소 흡착능을 보였다. 비록 바이오차의 흡착 성능은 바이오매스의 성상에 따라 달라지지만, 이산화탄소 활용 바이오차 생산을 통해 공정의 에너지 효율을 높이고, 높은 수율과 흡착 성능을 갖는 바이오차를 생산하기 위한 특정 조건을 확인하였다. 그리하여 본 연구는 CCS를 위한 전략적인 대체 물질로서 우수한 흡착 성능을 갖는 바이오차를 생산하기 위한 이산화탄소 활용 방법을 제시한다.
이 논문은 한국연구재단의 지원을 받아 수행된 연구임(NRF-2019H1A2A1076293-Global Ph.D. Fellowship Pro- gram).
This Article2022; 27(2): 41-49
Published on Apr 30, 2022
Services
Correspondence toDepartment of Earth Resources and Environmental Engineering, Hanyang University, Seoul 04763, Republic of Korea