
Huieun Yu1·Jehyun Shin2·Bitnarae Kim3·Ahyun Cho1·Gang Hoon Lee4·Sukjoon Pyun4·Seho Hwang2·Young-Chul Yu5·Ho-Young Cho6·Myung Jin Nam1,7*
1Department of Energy and mineral resources engineering, Sejong University, Seoul 05006, Korea
2Korea Institute of Geoscience and Mineral Resources, Daejeon 34132, Korea
3Bureau de Recherches Géologiques et Minières 45100, France
4Department of Energy and mineral resources engineering, Inha University, Incheon 22212, Korea
5KOTAM, Daejeon 34173, Korea
6Department of Earth and Environmental Sceinces, Korea University, Seoul 02841, Korea
7Department of Energy Resources and Geosystem Engineering, Sejong University, Seoul 05006, Korea
유희은1·신제현2·김빛나래3·조아현1·이강훈4·편석준4·황세호2·유영철5·조호영6·남명진1,7*
1세종대학교 에너지자원공학과
2한국지질자원연구원
3Bureau de Recherches Géologiques et Minières
4인하대학교 에너지자원공학과
5코탐
6고려대학교 지구환경과학과
7세종대학교 지구자원시스템공학과
This article is an open access article distributed under the terms of the Creative Commons Attribution Non-Commercial License (http://creativecommons.org/licenses/by-nc/4.0) which permits unrestricted non-commercial use, distribution, and reproduction in any medium, provided the original work is properly cited.
When subsurface is polluted, contaminants tend to migrate through groundwater flow path. The groundwater flow path is highly dependent upon underground geological structures in the contaminated area. Geophysical survey is an useful tool to identify subsurface geological structure. In addition, geophysical logging in a borehole precisely provides detailed information about geological characteristics in vicinity of the borehole, including fractures, lithology, and groundwater level. In this work, surface seismic refraction and electrical resistivity surveys were conducted in a test site located in Namyangju city, South Korea, along with well logging tests in five boreholes installed in the site. Geophysical data and well logging data were collected and processed to construct an 3D geological map in the site.
Keywords: Geological structure, Geophysical survey, Seismic survey, Electrical resistivity survey, Well logging
지중환경 오염이 발생한 지역에서는 지하수뿐만 아니라 그 지역에서 자라는 농작물 그리고 거주민 등에게도 큰 피해가 발생한다. 오염물질이 소량이라도 누출되면 특히 독성을 가지고 있다면 더욱 치명적이고(Castelluccio et al., 2018), 오염물질이 잔류하게 되면 길게는 수백 년에 걸쳐 지하수를 오염시킬 수 있다(Zhang et al., 1998). 오염이 발생하지 않도록 예방하는 것이 가장 중요하겠지만 일단 오염이 발생했을 경우라면, 어떤 오염원에 의해 어느 정도로 얼마나 넓은 영역이 오염되었는지 빨리 파악해서 신속히 정화를 진행할 수 있어야 한다. 과거에는 대상 지역에 대한 정보를 가진 사람에게 인터뷰하거나 사용 기록을 통해 예비 조사를 하고 현장에서 토양, 지하수, 퇴적물 등을 직접적으로 조사하거나 현장 시료에 대한 실험을 통해 오염지를 조사해왔지만, 1990년대부터는 비파괴적이면서도 경제적으로도 유리한 물리탐사가 다양한 오염지에서 적용되고 있다(Vanhala et al., 1992; Matias et al., 1994; Benson, 1995; Atekwana et al., 2004; Santos et al., 2006; Zelt et al., 2006; Allen et al., 2007; Atekwana and Atekwana, 2010).
오염이 발생하는 범위나 거동 등은 그 지역의 지질 구조나 지하수위, 지하수 흐름 등과 같은 지중환경의 특성에 의해 결정되므로 이에 대한 규명이 필수적이다. 기존에는 오염 특성을 규명하기 위해 관측정을 이용하여 오랜 시간 모니터링을 하거나 다양한 심도에서 시료를 채취하여 분석을 하거나, 혹은 토양 시추와 콘 투과법(cone penetration test)을 통해 1차원의 층서학적 구조를 파악한 뒤 변화를 관측하였다(Naudet et al., 2011). 그러나 이런 기술들은 불연속적 정보만 획득할 수 있기 때문에 오염 지역에 대한 전체적인 공간적 정보를 파악하는 데는 한계가 있다(Chamber et al., 2004). 비파괴적으로 정보를 제공할 수 있는 물리탐사를 시추공 내 물리검층을 함께 적용한다면 이러한 한계를 극복할 수 있을 뿐만 아니라(e.g. Chambers et al., 1999) 시료 조사와 분석의 횟수도 줄이면서 연속적인 지하 구조에 대한 정보까지 획득할 수 있다(Reynold, 1997).
소수성액체(non-aqueous phase liquid, NAPL)등과 같은 오염원들의 분포는 오염 거동 전이대인 지하수위와 관련 있으며(Ritter et al., 2002) 풍화대를 따라 이동하는 경우도 있기 때문에 풍화대의 깊이와 폭 그리고 연장성 등의 파악이 중요하다(Wealthall et al., 2001). 지하수 거동이나 풍화대 특성은 지중환경 오염 조사와 비슷하게 물리탐사나 시추공 물리검층으로 파악할 수 있기 때문에 물리탐사를 이용하여 3차원 지질 구조를 추정하고 오염원의 이동 경로를 규명할 수 있다. 이 때 여러 탐사 결과들을 직접적으로 비교하기 위해서는 불균질 파쇄대의 공간적 수리 특성을 산출하여 보다 정확한 오염원의 이동을 파악해야 한다.
물리탐사는 크게 지표에서 수행하는 지표 탐사와 시추공과 연계해서 수행할 수 있는 지표-시추공 탐사 그리고 시추공-시추공 탐사로 나눌 수 있다. 지표 탐사는 심부로 갈수록 해상도가 떨어지기 때문에 이를 보완할 수 있는 시추공 연계 탐사가 필요하다. 특히 시추공-시추공 탐사법은 시추공 천공이 가능할 경우 심부에 대해서도 높은 해상도의 자료를 취득할 수 있다(Hagrey and Petersen, 2011). 탐사 방법으로는 탄성파 탐사, 전기비저항 탐사, 유도분극 탐사, 지표투과레이더 탐사 등이 주로 적용될 수 있다. 특히 유도분극 탐사는 점토의 분포뿐만 아니라 오염물분포에 대한 보다 직접적인 정보도 제공할 수 있다(e.g. Cardarelli and Filippo, 2009; Doherty et al., 2010; Gazoty et al., 2012; Jegede et al., 2012; Carlson and Urquhart, 2004; Carlson et al., 2015; Power et al., 2018).
탄성파 탐사를 이용하면, 층서의 변화에 의한 반사파나 굴절파를 이용하여 지하 구조를 영상화하여 지질구조를 규명할 수 있는 반면 그 층서의 전기적 특성이나 유체의 존재유무 그리고 파쇄대같이 급격히 변하는 복잡한 지하 구조를 파악하는 데에는 한계가 있다(McKenna et al., 2001). 전기비저항 탐사는 탄성파의 한계를 보완할 수 있는 전기적 특성을 파악할 수 있어 포화대 심도, 유체로 오염된 경우에는 오염원의 범위까지 규명할 수 있으며, 이에 두 종류의 물리탐사법을 함께 이용하여 보다 정확한 지중환경의 오염평가를 수행하기 위한 연구들이 수행되고 있다(e.g. Watson et al., 2005; Abdullahi et al., 2011; Kowalsky et al., 2011; Nivorlis et al., 2019; Lachhab et al., 2020).
이 연구에서는 지중환경에서 오염이 발생했을 때 이동경로를 파악할 수 있는 기술 개발을 위해 덕소 시험 부지를 대상으로 수행한 탐사를 소개한다. 우선 1차적으로 2019년에 탄성파 탐사와 전기비저항 탐사와 함께 자연감마선검층(natural gamma ray log)과 음파검층(sonic logging)을 수행하고 해석하는 과정을 소개하고, 이를 통해 획득한 덕소 시험 부지의 지질 구조에 대한 초기 모델을 제시한다. 이후 보다 정밀한 지질 모델과 지하수 거동 특성을 파악하고 오염 거동 전이대인 지하수위와 풍화대를 영상화하기 위해 추가적으로 2020년과 2021년에 수행한 물리탐사와 물리검층에 대해 간단히 소개하고 덕소 시험 부지에서 진행되고 있는 연구와 향후 방향에 대해 소개하고자 한다.
실험 부지는 경기도 남양주시 덕소 고려대학교 농장 안에 위치해 있다(Fig 1(a)). 총 4개의 NX 구경 암반시추공이 2019년에 굴착되었으며 각 시추공에서 시추코어를 이용하여 지질 주상도를 작성하였다.
2.1. 부지 설명
덕소 지역은 경기편마암 복합체 운모편암, 안구상 편마암, 호상 편마암 및 혼성 편마암, 세립질 화강암, 제4기 충적층 순으로 이루어져 있다(지질자원정보시스템; 뚝섬도폭, 1981). 덕소 시험 부지의 지표는 충적층 중 황토질 퇴적물(loess deposit)이 주를 이루고 있다(Shin, 2003).
주 시험 영역은 가로 100 m 세로 60 m의 크기로 주변이 산으로 둘러싸여 있지만 비교적 지형 변화가 없는 평지이며 해발 고도 약 50 m에 위치한다. 부지 가운데에는 넓게 충적층(alluvium)의 두꺼운 풍화토가 쌓여 있다. 주 탐사 영역 서쪽 끝부분은 급격한 경사면이 있고 아래쪽은 남북을 가로지르는 도로가 있으며, 남동쪽에도 서쪽보다 더 가파른 각도의 경사면이 있다(Fig 1(b)).
2.2. 시험 시추공 설치 및 지질 주상도
주요 탐사 부지는 덕소 농장의 북서쪽의 동서방향 100 m(0 ~ 100 m), 남북 방향 60 m(0 ~ 60 m) 규모이며, 4개의 NX구경 암반시추공 BH-1, BH-2, BH-3, BH-4는 (20, 0), (77.5, 0), (77.5, 60), (20, 60) 위치에 설치되어 있다(Fig. 1(b)). 시추공들의 심도는 100 ~ 115 m이고, 30 m까지 충적/풍화대 관측정 4개를 굴착하여 코어를 획득한 뒤, 무너짐 방지를 위해 평균 약 42 m까지 케이싱을 설치하였다. 각 시추공에서 측정한 초기 지하수위는 BH-1은 24 m, BH-2는 20.4 m, BH-3은 20.4 m, BH-4는 22.3 m였다. 초기 설치한 4개의 시추공 외에 추가적으로 (50,30)에 BH-5도 설치하였다.
각 시추공에서 지질 주상도(core log)를 공학적으로 분류하였을 때 매립층, 붕적층, 퇴적토, 풍화토, 풍화암, 연암, 경암으로 분류할 수 있다(Fig. 2). 토양층은 지질 주상도에 매립층, 토양, 시멘트/콘크리트 등을 포함하며, 지층을 구성하는 물질들의 주요성분인 실트, 사암, 사암과 자갈층을 우세한 지층으로 분류하였다. 풍화암층은 시추공 지질 주상도에 풍화토 및 풍화암 그리고 풍화대라고 기재된 지층을 포함하였고 기반암은 암반으로 구분하였다. BH-1은 풍화암층이 가장 얇은데 비해, 풍화암층이 가장 두껍게 존재하는 BH-2는 다른 시추공과 달리 경암이 확인되지 않았고 연암은 더 깊게 위치하고 있다.
|
Fig. 1 (a) Location map in Deokso, Namyangju-si and (b) skyview of testbed and red circles indicate slope. |
|
Fig. 2 Result of geological section based on geological core from each borehole obtained on October 19th, 2018 (KEITI, 2019). |
3.1. 물리검층
물리검층은 4개의 암반시추공에서 자연감마검층과 음파검층을 수행하였다. 지층에서 자연적으로 방출되는 감마선을 측정하는 자연감마검층은 포타슘(K, potassium), 우라늄(U, uranium), 토륨(Th, thorium)의 총량(total gamma)을 분석함으로써 지하 암상을 구분할 수 있다. 자료취득은 Mount Sopris사의 QL40-SGR을 이용하여 실시하였다. 음파검층은 케이싱 하부 나공(open hole) 구간에서만 자료를 취득하였으며, Mount Sopris사의 QL40-FWS를 이용하여 중심주파수가 15 kHz인 송신원 주파수의 발신기(transmitter)에서 발생한 파를 3개의 수신기(receiver)에서 4 μs 샘플링 간격으로 자료를 취득하였다. 오류 트레이스를 제거하고 이동평균법(moving average) 필터링 후 각 트레이스를 중합(stacking)하여 초동 피킹(first arrival picking)을 수행했다.
3.2. 지표물리탐사
2019년에 해머와 다이너마이트를 송신원으로 이용한 굴절법 탐사와 전기비저항 탐사를 수행하였다(Table 1). 2020년 4월 8일과 6월에 해머를 이용한 기본적인 탐사를 수행하여 적합한 수신기 간격에 대해 분석한 뒤, 이 수신 간격에 기초하여 7월과 8월에 다이너마이트를 이용한 탐사를 수행하였다. 전기비저항 탐사는 2020년 6월과 7월에 2번에 걸쳐 수행하였다.
3.2.1. 탄성파 굴절법 탐사
무게 3.6 kg(8 lb)의 슬래지 해머와 다이너마이트를 송신원으로 하여 Geometrics사의 Geode 기기를 사용하였다. 해머를 송신원으로 한 탐사에서 수신 간격은 2.5 m와 5 m 간격으로 28 Hz 수신기 총 12개를 BH-4에서 BH-2로 가로지르는 대각선 방향으로 55 m 길이의 측선 H1을 따라 설치하였다(Fig. 3). 수신 간격이 5 m일 때는 송신원을 측선의 가운데에, 2.5 m 간격일 때는 송신원을 측선의 남서쪽 끝에 놓고 측정하였다.
심부 기반암까지의 층서 구조 확인을 위한 다이너마이트를 이용한 탐사는 115 m 길이의 SRD-1과 SRD-2 두 측선을 따라 수신기를 5 m와 10 m 간격으로 하여 두 번씩 수행하였고, 다이너마이트는 심도 2 m에서 약 30 m 간격(Table 2)으로 발파하였다. SRD-1은 탐사 부지의 북쪽에 BH-1과 BH-2를 따라 동-서 방향으로 14개 송신원에 대해 측정한 반면, SRD-2는 BH-2에서 BH-4로 향하는 방향으로 좀 더 넓은 범위의 실험 부지를 가로지르는 구조를 파악하고자 총 12 위치에서 송신하였다.
3.2.2. 전기비저항 탐사
AGI사 Supersting R8을 이용하여 수행한 전기비저항 탐사는, 해당 부지의 지하수위가 약 20 m 부근인 것을 감안하여 전극 간격을 5 m와 10 m로 쌍극자-쌍극자 배열을 적용하여 탐사하였다. 측선은 4개의 시추공을 기준으로 하여 총 11개 측선(R-1 ~ R-11)에서 자료를 취득하였다(Fig. 4). 동서 방향 측선 R-1과 R-3은 각각 시추공 BH-1, BH-2와 BH-3, BH-4를 지나도록 하였고, 측선 R-2는 측선 R-1과 R-3 중간 지점에 동일한 방향에 위치시켜 각 측선들의 간격이 30 m가 되도록 하였다. 남북 방향의 측선 R-4 ~ R-9는 측선 R-1 ~ R-3에 수직한 방향으로 위치하며, 이 중 측선 R-5와 R-8은 각각 시추공 BH-1, BH-3과 BH-2, BH-4를 지나가고, 각 측선의 간격은 20 m가 되도록 설정하였다. 대각선 방향의 측선 R-10과 R-11은 각각 시추공 BH-1, BH-4와 BH-2, BH-3를 지나가도록 하였다. 측선의 길이는 주 시험부지 전체에 대한 정보를 획득하기 위해 R-1 ~ R-3은 주 시험 영역보다 양단에 15 m 씩 연장하여 130 m, R-4 ~ R-8도 주 시험 영역보다 10 m 씩 연장하여 80 m 씩 탐사하였다. 하지만 측선 R-9의 경우 남쪽에 경사 지형으로 인해 북쪽으로만 연장하여 70 m 길이로 탐사하였다.
|
Fig. 3 Blueprint of seismic refraction (survey line H-1: Sledge hammer source, survey line SRD-1 and 2: Dynamite source) |
|
Fig. 4 Blueprint of resistivity survey (R-1 ~ R-11). |
4.1. 물리검층 결과
시추공에서의 자연감마선 세기는 평균 137 API로 나타난다(Shin et al., 2022). 시추공에서의 충적층과 암반층의 자연감마선검층 자료를 분석한 결과, 매립층을 제외한 충적층은 암반층보다 낮은 자연감마선 세기를 보인다(Fig. 5). 시추공간의 지질 연결성 측면에서 연구부지의 서쪽(BH-1, BH-4)이 동쪽(BH-2, BH-3)보다 자연감마선의 세기가 컸다. 이를 통해 연구부지의 서쪽과 동쪽의 지질 특성이 상이함을 추정할 수 있다. BH-1의 편마암 심도 35 ~ 41 m와 BH-4의 65 ~ 69 m 구간에서 최대 1,000 API 이상의 높은 자연감마선 세기를 보이며, 이는 남에서 북쪽으로 높은 자연감마선을 가진 층이 관입되었을 수 있다는 가능성을 보여준다.
음파검층 자료를 해석한 결과, 각 시추공의 P파 속도는 자연감마선검층 결과와 유사하게 시험 부지의 동쪽과 서쪽이 서로 다른 경향을 보이며, BH-1과 BH-4에서 높은 P파 속도 분포를 나타났다(Fig. 6). BH-1의 약 80 m 하부에서 일부 P파 속도의 감쇄를 보이는데 이는 공경검층 결과와 비교하여 파쇄대 구간임을 확인하였다. 전체적인 수직 프로파일로부터 편마암의 경도에 따른 속도차가 뚜렷하며, 경암층은 약 5,000 m/s이고 연암층은 약 3,000 m/s이다. BH-2와 BH-3의 하부 약 70 m까지 느린 속도 분포를 보이며, 특히 지질 주상도에서는 확인되지 않던 BH-2의 경암층이 속도 분석 결과에서 파악되었다. 음파검층 결과에서 충적층은 BH-1과 BH-4 방향으로 넓게 분포하며 기반암의 경우 동쪽에서 서쪽으로 경사를 가지고 분포하는 것으로 보인다.
4.2. 지표 물리탐사 결과
4.2.1. 굴절법 탐사
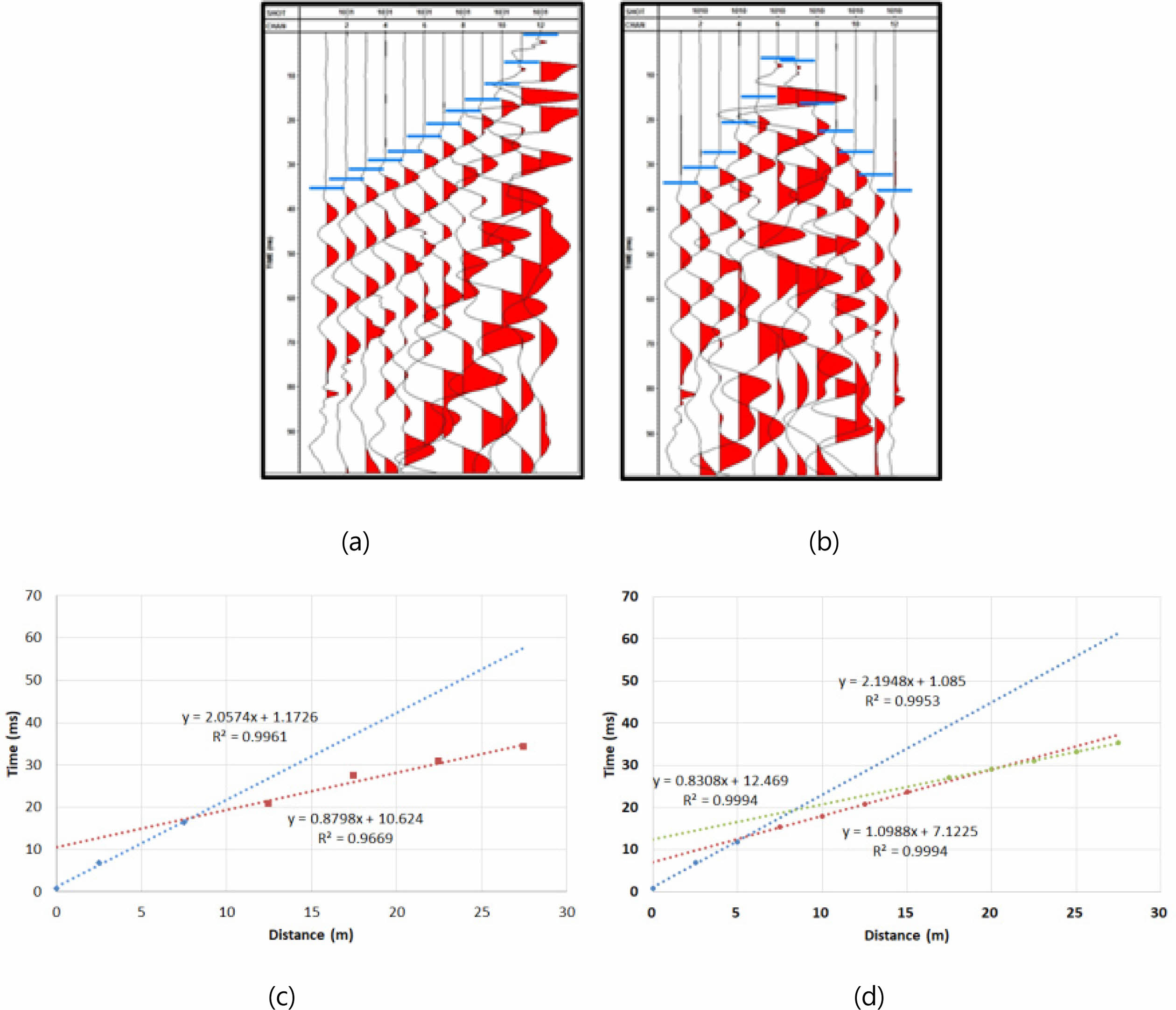
해머를 이용한 탄성파 굴절법 탐사(Fig. 7(a), (b))는 Schlumberger사의 VISTA 상용 소프트웨어를 사용하여 초동 주시를 발췌하였으며 시간절편법을 이용한 해석을 수행하였다. 송수신기가 2.5 m 간격의 탐사에서는 3개의 층서(Fig. 6(c))로, 5 m 간격인 탐사에서는 2개의 층서(Fig. 6(d))로 구분되었다. 하지만 해당 부지의 풍화대 및 기반암의 심도는 깊은 데 반해 측선 길이가 55 m로 짧기 때문에 풍화대나 기반암 상단으로부터 발생하는 선두파를 측정하는 데 어려움이 있는 것으로 판단된다.
다이너마이트를 이용한 탐사를 수행한 두 측선 SRD-1와 SRD-2의 자료에서 원거리 발파로 취득한 자료는(초동 주시 발췌를 비롯한 해석이 불가능할 만큼) 질이 좋지 못하지만 근거리 발파로 취득한 자료의 질은 상대적으로 양호했다. 원거리 발파 자료는 초동 주시를 파악하기 어렵기 때문에 앞서 분석한 슬래지 해머를 이용한 굴절법 자료 결과를 이용하여 주시를 모델링하였고, 이를 참고해서 두 측선 SRD-1와 SRD-2 자료에 대한 관측 주시를 구하였다. 주시 곡선 역산 시, 해당 탐사 지역 표면이 매우 평이하고 지형이 복잡하지 않기 때문에 수평 구조로 가정하여 가우스-뉴턴 방식의 역산을 수행하였고, 역산해의 비유일성 문제를 완화하기 위하여 전변동(total variation)과 2차 Tikhonov 정규화 기법을 포함하였다.
역산 결과에서 SRD-1 역산 단면에서는 수평 거리 0 m에서 115 m로 갈수록 속도가 점차 낮아지는 형태를 보이는 반면(Fig. 8(a)), SRD-2 역산 단면에서는 그 반대로 0 m에서 115 m로 갈수록 속도가 낮아지는 형태를 보인다(Fig. 8(b)). 또한 SRD-1에 비해서는 다소 평탄하게 나타났다.
4.2.2. 전기비저항 탐사
전기비저항 측선 별 자료들의 개괄적인 파악을 위해 DIPRO 2D 소프트웨어(KIGAM, 2001)를 이용하여 2D 역산을 먼저 수행하였다. 이 때 전극간격 5 m, 10 m 자료를 모두 포함하여 역산하였다. 전반적으로 지표면과 인접한 천부에 다소 고비저항 층이 있으며 심도 약 15 m 부근부터는 저비저항 영역이 나타났다가 심도 약 30 m 부근부터 다시 고비저항 층이 나타난다.
측선 별로 보았을 때, 동서 측선인 R-1, R-2에서는 심부 고비저항 영역이 측선의 양 끝에 다소 벌어진 형태로 있는 반면, R-3에서는 x축 약 90 m 부근까지는 고비저항 영역이 비교적 평평하게 진행된다(Fig. 9(a)). 남북방향의 R-4 ~ R-9 에서는 남쪽에 고비저항대가 나타나고, R-8에서 고비저항이 가장 높게 나타났다(Fig. 9(b)). R-9는 그 고비저항대가 북쪽까지 지어진다. 탐사 부지의 가장 남쪽에 있는 R-3은 R-1과 R-2보다 심도 약 30 m에서 측선을 따라 고비저항이 넓게 나타나며, 측선 R-5 ~ R-9의 남쪽 부분에서도 고비저항이 연속적으로 나타난다. 이는 부지의 남동 방향에 경사가 있는 곳에서 지형에 의한 영향으로 추정된다. 수치 실험을 통해 덕소부지와 같이 탐사 부지 주변이 사면으로 구성되어 전기비저항이 높은 공기가 측면에 존재할 때의 영향을 분석하였다. 즉, 사면이 있는 경우와 균질 모델일 때 전기비저항 탐사 자료의 차이를 분석하였다. 실제 탐사와 동일하게 측선 간격은 20 m, 전극 간격은 5와 10 m, 그리고 측선의 길이는 130 m로 구성하였다. 사면이 있어 측면에 공기가 존재 할 때, 균질한 경우 보다 고비저항 반응이 크게 나타나는 것으로 보아(Fig. 10) 지하의 고비저항체 매질이 아닌 지형과 공기층의 영향으로 고비저항이 나타나기 때문에 해석 시 지형을 고려할 필요가 있음을 알 수 있다.
R-7의 20 m, 심도 약 15 m에서는 저비저항이 나타나는데 측선 R-8 에서는 측선 부근의 10 m 깊이에서 저비저항이 나타나는 것으로 보아 이 저비저항대가 연속적임을 알 수 있고 이 저비저항대가 나타는 것은 파쇄대가 분포하기 때문인 것으로 판단된다. 대각선 측선인 R-10과 R-11은 심도 30 m부터 전체적으로 고비저항대가 나타나고, 북쪽은 좀 더 지표와 가까운 25 m 부터 나타나기 때문에(Fig. 9(c)) 기반암의 영향이라고 볼 수 있다. 측선 R-4가 다른 측선(R-6 ~ 9)과 달리 북쪽에서 고비저항이 나타나는 것은 남동쪽의 경사와 50 m 정도의 거리가 있을뿐더러, R-4의 위쪽으로 지하수 흐름을 위한 파이프 선이 존재하는 데 그 영향이 측선 R-4까지 미친 것으로 보인다.
실험 부지의 3차원 전기비저항 특성을 보기 위해 전체 11개 측선에서의 자료를 이용하여 전극간격 5 m 자료와 10 m 자료에 3차원 역산 해석을 각각 수행하였다. 전극 간격 5 m인 역산 결과는 해상도가 비교적 좋지만 심부에서 고비저항이 나타나지 않았다. 이는 전극간격으로 인해 가탐 심도가 기반암에 미치지 못했기 때문으로 보인다. 전극간격 10 m 역산 결과에서 기반암으로 인한 고비저항 영향이 35 m 단면부터 나타났다(Fig. 11(a)).
xz 단면에서도 전극 간격이 5 m일 때 심도 15 m 이상부터 전기비저항 반응이 나타나지 않고, 전극 간격 10 m 일 때는 30 m 이상까지 비저항 반응이 나타난다(Fig. 11(b)). R-1, R-2, R-3에서는 약 30 m부터 600 Ω-m 이상의 고비저항 이상대가 연속적으로 나타나는 것으로 보아 기반암이 존재할 것으로 보인다. R-1의 80 m, 심도 10 m 부근에서 가로지르는 형태의 저비저항 이상대가 크게 나타나는데 이는 파쇄대 혹은 습곡 형태의 지질구조로 추정해 볼 수 있다.
R-1에서 저비저항 이상대가 나타나는 부근을 R-1과 수직으로 지나는 R-8에서도 저비저항 이상대가 동일하게 나타나고 있으며, 측선의 0 ~ 20 m까지 영향을 미치는 것으로 나타났다. R-2는 20 ~ 40 m에 고비저항이 나타나고 이와 직교하여 지나는 R-5가 심도 5 m부터 고비저항이 연속적인 것으로 보아 고비저항 구조가 있음을 알 수 있다. R-1에서 나타난 저비저항 영역이 R-2와 R-3으로 갈수록 점점 서쪽으로 나타나고, R-8에서 R-6으로 갈수록 측선의 남쪽 방향으로 이동하는 것으로 보아 저비저항 이상체가 BH-2와 BH-4를 가로지르는 방향에 존재함을 유추할 수 있다. R-4 ~ R-9에서의 측선의 끝 쪽에서 나타나는 고비저항이 경사에 의한 공기 영향이라면 이와 동일하게 R-3도 사면의 영향으로 인한 고비저항 영향인지 분석할 필요가 있다. 이를 위해서 추후에는 사면의 영향을 고려하여 역산을 수행하고자 한다.
4.3. 지질 주상도에 기초한 물리탐사 자료 해석
다이너마이트를 이용한 굴절법 초동 분석 결과를 시추 주상도와 연계 해석 했을 때 BH-2에서 좌측 하부는 우측 하부와 달리 경암의 속도가 빠르게 나타났는데, 이는 BH-2 우측으로는 파쇄대가 존재하기 때문으로 추정된다(Fig. 12(a)). SRD-2의 지형이 SRD-1 보다 경사가 완만하게 나타나지만 BH-4 주상도와 비교했을 때 경암은 BH-4 부근에만 존재하는 것으로 해석할 수 있다(Fig. 10(b)). 풍화암은 약 1,700 m/s, 연암층은 약 2,200 m/s의 속도로 나타나고 있다. SRD-2는 풍화암과 연암이 깊게 나타나고 있고 측선을 따라 선구조 혹은 파쇄대 구조가 나타나고 있다.
탄성파 자료와 주상도 자료를 복합적으로 해석하면(Fig. 13) BH-2에서 BH-4를 향하는 방향으로 풍화암과 연암이 깊은 구조이다. 또한 BH-1은 풍화암이 상대적으로 적게 분포하고 연암이 바로 나타나는 구조를 임을 알 수 있다. BH-1과 BH-3은 풍화암-연암이 깊게 분포하나 BH-4에서 경암은 비교적 천부에 위치한다. BH-2 방향으로 갈수록 저속도를 보이다 사라지므로 암반 내 파쇄영역이 심할 것으로 예상된다. 저속도층을 이용하여 경암이 BH-2 방향으로 깊어지는 형태를 보이기 때문에 부지 내 구조대는 북동-남서방향으로 존재할 것으로 해석된다.
전기비저항 자료를 시추 주상도와 복합하여 해석하면 심부는 비교적 깊게 존재하지만 100 Ω-m의 낮은 비저항은 파쇄대의 영향으로 평가된다. 연암층도 300 ~ 500 Ω-m로 낮게 나타나 절리나 파쇄대가 분포한다는 것을 알 수 있다. BH-1과 2를 지나는 R-1에서 두 시추공 사이는 저비저항으로 나타나지만 주상도 결과에서도 풍화암으로 해석된 BH-2의 우측으로 심도 35 m 부근에서 고비저항이 나타나기 때문에 풍화대가 분포하는 것으로 추정할 수 있다. R-3에서 측선의 좌측보다 우측에서 상대적으로 저비저항이 나타나는데 주상도에서 BH-3의 연암층이 BH-4보다 두껍게 나타나는 것으로 보아 연암층의 영향인 것으로 해석될 수 있다.
BH-2는 풍화암이 두껍고, 연암이 약 50 m 심도에서부터 나타나는 것으로 보이지만 BH-2를 지나는 R-1, R-8, R-10을 복합적으로 해석한다면, BH-2의 오른편과 하부에 고비저항으로 나타나고 BH-3과 BH-4를 향해 가는 방향으로 연속적인 것으로 보아 기반암 구조가 이어질 것으로 해석된다. 그러나 그 심도가 R-8은 15 m에서, R-10은 20 ~ 35 m로 다르고, R-10에서는 그 사이가 골의 형태로 나타나기 때문에 실험 부지의 기반암은 탄성파로 해석한 결과와 비슷하게 북동에서 남서로 향하는 파쇄대가 존재할 것이다.
4.4. 복합 탐사 자료 해석
다이너마이트를 이용한 굴절법 초동 분석 결과에서 SRD-1는 BH-2의 오른쪽으로 갈수록 속도가 감소하는데(Fig. 12(a))과 전기비저항 탐사에서도 동일하게 위치한 측선 R-1에서 BH-2의 오른쪽으로 저비저항이 나타나는 영역이(Fig. 11(b))이 나타나고 있다. 이 영역은 탄성파 속도가 느리고 전기비저항도 낮기 때문에 파쇄대가 존재하는 것으로 해석할 수 있다. 탄성파 탐사 측선은 SRD-1과 SRD-2로 정보의 한계가 있지만 다른 측선에서 연속적으로 저비저항으로 나타나는 영역을 이어보면 파쇄대가 BH-2의 우측에서부터 BH-4의 좌측으로 발달해 있음을 알 수 있다.
R-1과 R-2의 좌측에서 고비저항이 크게 나타나는데 탄성파에서는 이 영역을 풍화암이 융기된 것으로 해석하였다. 하지만 자연감마선검층결과에서 BH-1의 심도 35 ~ 41 m와 BH-4의 65 ~ 69 m의 구간에서 높은 감마선을 가진 관입암이 존재할 것이라는 결과를 기반으로 고비저항대는 BH-4에서 BH-1 방향으로 상승하는 모양의 관입암이 존재할 것으로 예측된다.
|
Fig. 5 Geological cross-section based on the natural gamma ray log: (a) BH-1, BH-5, and BH-3; (b) BH-4, BH-5, and BH-2 (Shin et al., 2022). |
|
Fig. 6 P-wave velocity distribution from sonic log; (a) vertical velocity profiles; (b) velocity histogram of each borehole (modified from Shin et al., 2022). |
|
Fig. 7 Seismic refraction results of (a) 2.5 m and (b) 5 m source-receiver offset. Traveltime curves of (c) 5 m and (d) 2.5 m receiver intervals using time intercepts. |
|
Fig. 8 Inversion results of travel-time curve from (a) SRD-1 and (b) SRD-2. |
|
Fig. 9 DC resistivity inversion results of (a) R-1 ~ R-3, (b) R-10 and R-11 and (c) R-4 ~ R-9. |
|
Fig. 10 Resistivity simulation to evaluate air affection (a) with depth of 10 m and 20 m; (b) results from each model. |
|
Fig. 11 3D ERT inversion results: (a) xy-depth slice, (b) xz-slice and (c) xz-slice of 10 m pole spacing. |
|
Fig. 12 Comparison of first arrival velocity of seismic refraction using dynamite (a) SRD-1 (b) SRD-2 with borehole logging data |
|
Fig. 13 Integrated interpretation of seismic data with log data |
5.1. 지표 탐사
5.1.1. 탄성파 굴절법 탐사
2020년 11월 25 ~ 27일과 2020년 12월 15 ~ 17일에는 두 번에 걸쳐 다이너마이트를 이용한 탄성파 탐사를 추가적으로 수행하였다. SRD-1과 비슷하지만 부지 전체를 가로질러 총 115 m 길이의 측선에 대해 1 m 간격으로 2 m 심도에서 송신원을 발생시키고, 1 m 간격으로 놓인 4.5 kHz 수신기를 이용하였다. 그 결과 연암과 경암의 경계면을 추정할 수 있었고, 실험 부지의 사면(절벽)에서 나타나는 잡음 신호까지 구분할 수 있었다. 하지만 수신기의 벌림 거리가 짧아 측선의 가운데 영역만 영상화 할 수 있어 송신 간격을 보완하고, 측선 길이를 확장하여 탐사를 수행했다.
5.1.2. 전기비저항 및 유도분극 탐사
전기비저항 탐사는 방법이 쉽고 탐사 시간이 비교적 짧다는 장점이 있지만, 전기비저항의 변화와 그 차이만 구분할 수 있다는 한계가 있다. 이에 우리는 진동수영역에서 복소전기비저항 반응을 분석하는 광대역 유도분극(spectral induced polarization; SIP) 탐사를 추가적으로 수행하여 지중환경을 파악하는 데 SIP 적용 가능성을 평가하고자 2020년 9월 15일과 17일에 걸쳐 탐사하였다. SIP 탐사는 지표에서 수행하였지만 지하수위 약 20 m 위 부분에 있는 유체의 특성이나 점토 매질의 특성을 파악하는 데 유용하였다. 자료 취득 과정에서 전기적 잡음을 최소화하기 위해 송수신 케이블을 분리하고, 비분극 전극을 수신 전극으로 이용하였다.
5.2.시추공 연계 탐사
5.2.1. 탄성파 탐사
보다 자세한 지질학적 구조와 내부 유체의 특성을 파악하기 위해 주상도 분석을 수행했었던 4개의 시추공(BH1 ~ 4)과 BH5번 시추공 사이에서 시추공-시추공 토모그래피와 지표-시추공 탐사를 수행하였다. 시추공-시추공 탄성파 탐사는 2020년 9월 21 ~ 23일 동안 수행하였는데, 발진 프로브 내의 웨이트햄머가 하단부를 타격하여 어쿠스틱 펄스파를 발생시키는 OYO사의 OWS 송신원을 이용하고, 수신기로는 공 내에 Bolt사의 MP-25 하이드로폰을 이용하였다. 지표-시추공 탄성파 탐사(vertical seismic profiling; VSP)는 2021년 10월 12일 수행하였다. 송신원으로는 무게 3.6 kg(8 lb)의 슬래지 해머를 이용하였으며, 수신기로는 시추공-시추공 탐사와 동일한 MP-25를 이용하였다. 시추공 연계 탄성파 탐사를 통해 지표 탄성파 탐사로는 알 수 없었던 심부의 속도 분포를, 역산 등을 통해 고해상도 영상화할 수 있을 것으로 기대할 수 있다.
5.2.2. 전기비저항 탐사
시추공 연계 전기비저항 탐사는 2020년 10월 12 ~ 13일에 걸쳐 지표-시추공, 시추공-시추공 탐사를 수행하였다. 시추공 깊이와 시추공 간 거리, 가탐 심도를 고려하여 전극 간격을 5 m로 설정하였으며, 지표-시추공 탐사는 쌍극자(dipole-dipole) 배열, 시추공-시추공탐사는 단극-쌍극자(pole-dipole) 배열을 이용하였다. 시추공 탐사를 통해 지표 탐사로는 취득하기 어려웠던 심도의 정보를 획득하고, 저비저항대 파악을 통해 절리와 파쇄대를 파악함으로써 지중 오염원의 유동이 발생할 가능성이 존재하는 영역대를 특성화하였다.
기존까지는 시추공 4개를 이용하였으나 2021년에 부지의 정 가운데 즉, BH-1 ~ 4 가운데 새로운 BH-5를 설치하고, 주상도 시험은 물론 시추공 전기비저항 탐사(2021년 3월 29 ~ 31일과 2021년 4월 5 ~ 8일), 탄성파 탐사(21년 2월 25 ~ 26일)를 수행함으로써 좀 더 짧은 시추공 거리에서의 자료를 획득하여 보다 높은 해상도 자료를 취득하고자 하였다.
5.2.3. 시추공 검층
자연감마선검층에서 3 ~ 9 m의 모래층은 구분이 가능하지만 코어 실험에서 확인된 점토층이 구분되지 않기 때문에 지층에 존재하는 점토 함량을 확인하고자 스펙트럴감마선검층을 실시하였다. 점토층에서는 우라늄을 제외한 포타슘과 토륨이 높게 나타났으며 특히 포타슘의 분포가 실트질 모래, 실트질 점토, 세립질 모래를 구분하는 데 효과적이었다. 전기비저항검층(2020년 05월 12일)은 Mount Sopris 사의 QL40-ELOG를 이용하여 각 시추공에서 수행하였고, 특히 BH-3의 코어 시료를 전기비저항과 유도분극 실험을 진행하여 전기비저항 검층의 정확도를 향상시키고자 하였다. 또한 공극률을 추정하기 위해 각 시추공에서 중성자검층(Neutron logging)을 수행하여 시추공에서 얻은 코어 시료의 공극률과도 비교 분석하였다.
덕소에 위치한 테스트베드에서 지표 물리탐사 자료와 검층, 그리고 시추공 주상도 자료를 독립적으로 해석한 후 서로 복합하여 해석하였다. 덕소 실험부지에서 수행한 지표 전기비저항 탐사와 탄성파 굴절법 탐사를 수행하고 해석하여, 주상도에서는 알기 힘들었던 파쇄대의 존재와 방향에 대해 알 수 있다. 주상도는 직접 코어를 회수하여 분석하기 때문에 정확도는 높지만 시추공이 위치한 지점의 정보에만 국한된다는 한계가 있는 반면, 물리탐사 자료를 이용한 해석은, 시추공 자료보다 해상도는 낮지만, 넓은 범위의 정보를 얻을 수 있기 때문에 주상도 정보로는 알 수 없었던 전체 탐사 영역에 대한 정보를 제공할 수 있다.
탄성파 굴절법 탐사는 가탐 심도와 분해능의 한계가 있지만 초동주시 역산과 전통적인 해석 기법을 복합적으로 활용하면 천부 지층 구조를 정확하게 분석할 수 있다. 이에 반해 전기비저항 탐사는 층서의 전기적 특성이 뚜렷하지 않으면 그 경계에 대한 해석이 어려울 수 있지만 전기비저항적 이상대를 규명할 수 있다. 탄성파와 전기비저항 탐사에서 획득하는 물리적 성질이 다르기 때문에 두 탐사 결과를 서로 비교함으로써 상호 보완할 필요가 있다. 보다 더 정밀하고 정확한 지질모델 구성을 위해, 덕소 테스트베드에서 추가적으로 수행한 물리탐사와 물리검층 자료들을 분석하는 연구를 꾸준히 진행할 예정이다.
이 연구는 환경부 “지중환경오염 ∙위해관리기술개발사업; 2018002440005”와 2019~2022년도 세종대학교 교내연구비 지원을 받아 수행하였습니다 .
This Article2022; 27(S1): 19-33
Published on Jul 31, 2022
Services1.서 론
2.현장 부지 및 시추공 주상도
3.물리검층 및 물리탐사
4.물리검층 및 물리탐사 결과 및 지질 구조 해석
5.추가 물리탐사 수행 및 향후 연구 소개
6.결 론
Correspondence to1Department of Energy and mineral resources engineering, Sejong University, Seoul 05006, Korea
7Department of Energy Resources and Geosystem Engineering, Sejong University, Seoul 05006, Korea