
Hyunji Tak1·Soyoung Jeon1·Minhee Lee2*
1Major of Earth and Environmental Sciences, Division of Earth Environmental System Science, Pukyong National University, Busan 48513, Korea
2Major of Environmental Geosciences, Division of Earth Environmental System Science, Pukyong National University, Busan 48513, Korea
탁현지1·전소영1·이민희2*
1부경대학교 지구환경시스템과학부 지구환경과학전공
2부경대학교 지구환경시스템과학부 환경지질과학전공
This article is an open access article distributed under the terms of the Creative Commons Attribution Non-Commercial License (http://creativecommons.org/licenses/by-nc/4.0) which permits unrestricted non-commercial use, distribution, and reproduction in any medium, provided the original work is properly cited.
In the South Korea, 47% of abandoned mines are suffering from the mining hazards such as the mine drainage (MD), the mine tailings and the waste rocks. Among them the mine drainage which has a low pH and the high concentration of heavy metals can directly contaminate rivers or soil and cause serious damages to human health. The natural/artificial treatment facilities by using neutralizers and coagulants for the mine drainage have been operated in domestic and most of heavy metals in mind drainage are precipitated and removed in the form of metal hydroxide, alumino-silicate or carbonate, generating a large amount of mine drainage treated sludge (‘MDS’ hereafter) by-product. The MDS has a large surface area and many functional groups, showing high efficiency on the fixation of heavy metals. The purpose of this study is to develop a ingenious heavy metal stabilizer that can effectively stabilize arsenic (As) and heavy metals in soil by recycling the MDS (two types of MDS: the acid mine drainage treated sludge (MMDS) and the coal mine drainage treated sludge (CMDS)). Various analyses, toxicity evaluations, and leaching reduction batch experiments were performed to identify the characteristics of MDS as the stabilizer for soils contaminated with As and heavy metals. As a result of batch experiments, the Pb stabilization efficiency of both of MDSs for soil A was higher than 90% and their Zn stabilization efficiencies were higher than 70%. In the case of soil B and C, which were contaminated with As, their As stabilization efficiencies were higher than 80%. Experimental results suggested that both of MDSs could be successfully applied for the As and heavy metal contaminated soil as the soil stabilizer, because of their low unit price and high stabilization efficiency for As and hevry metals.
Keywords: Adsorption, Arsenic, Heavy metal, Mine drainage, Mine drainage treated sludge, Soil pollution, Stabilization
국내 광산 현황 조사 결과에 따르면, 2021년을 기준으로 국내 광산은 총 5,544개로, 이 중 47%에 해당하는 2,617개 광산에서 광해가 발생하고 있다(Baek et al., 2021). 광해가 발생하면 주변 하천이나 토양을 직접적으로 오염시킬 수 있으며, 인간의 건강에 심각한 피해를 일으킬 수 있어 적극적인 광해방지 대책의 시행이 필요하다. 광해의 주 오염원 중 하나인 광산배수(mine drainage; MD)는 광산마다 성분과 특성이 다양하며, 채굴하는 광석에 따라 각기 다른 중금속과 오염물을 함유한다(Park et al., 2005). 국내에서는 한국환경공단과 한국광해광업공단을 중심으로 다양한 자연/인공 수질정화시설을 운영하여 광산배수를 처리하고 있는데, 광산배수에 존재하는 중금속(비소 포함)들을 제거하기 위하여 석회석, 소석회, 패각류 등을 중화제나 응집제로 사용하여 금속수산화물이나 탄산염의 형태로 침전시켜 처리하는 정화방법이 주로 적용되고 있다(Kim et al., 2014). 광산배수 처리과정에서 침전조 하부에 다량의 슬러지(광산배수처리슬러지; mine drainage treated sludge; 이하 ‘MDS’)가 발생하게 되며, 정화 효율을 유지하기 위해서는 이 들을 주기적으로 제거해야 한다. 국내에서 발생한 MDS는 구성 성분과 독성에 상관없이 산업폐기물로 분류되어, 대부분 매립지에 매립되어왔으나, 환경부가 슬러지를 자원화 및 재활용하는 방향으로 폐기물관리법상의 해당 규정을 개정하려는 시도와 함께, MDS 재활용에 관한 연구가 시작되었다(Koh et al., 2021).
국내에서 생성된 MDS의 경우, 높은 철과 칼슘 함량을 보였으며, 폐기물용출실험 결과 낮은 비소와 중금속 용출 결과를 나타내었다(Yang et al., 2021). 선행연구들에 의하면 MDS는 주로 미세한 크기의 금속(수)산화물, 소석회(Ca(OH)2), 탄산염, 무정형의 규산염 등으로 구성되어 있으며, 넓은 표면적과 표면에 많은 작용기를 갖고 있어서 수용액 내 비소(Arsenic; As)와 중금속에 대하여 높은 흡착능을 보이는 것으로 밝혀졌다(Choi et al., 2013; Kim et al., 2014). MDS의 평균 PZC(point of zero charge)는 4.5로, pH가 4.5 이상으로 증가하게 되면 표면이 음전하를 띄게 되어 양이온으로 존재하는 중금속의 흡착이 쉽게 발생하게 된다(Cui et al., 2013). 선행연구에 따르면 대표적인 아연, 납 그리고 카드뮴의 가수분해 반응식은 식 (1)-(6)과 같으며, 이를 통해 광산배수 내 금속이온들은 OH-를 제공하는 MDS에 의해 금속수산화물의 형태로 침전 및 흡착이 발생할 수 있다(Cui et al., 2013; Pankow, 2018; Schafer and Fane, 2021).
Zn2+ + H2O ↔ ZnOH+ + H+ logk1 = -7.7 (1)
ZnOH+ + H2O ↔ Zn(OH)2 + H+ logk2 = -9.1 (2)
Pb2+ + H2O ↔ PbOH+ + H+ logk1 = -7.22 (3)
PbOH+ + H2O ↔ Pb(OH)2 + H+ logk2 = -9.69 (4)
Cd2+ + H2O ↔ CdOH+ + H+ logk1 = -10.08 (5)
CdOH+ + H2O ↔ Cd(OH)2 + H+ logk2 = -10.27 (6)
MDS 내에 탄산염이 존재하는 경우, 용해된 CaCO3로 인해 식 (7)-(9)와 같은 탄산화 이온과 중탄산 이온에 의한 중금속 침전이 발생하기도 한다(Jang et al., 2021).
3Pb2+ + 2CO32- + 2H2O → Pb2(CO3)2(OH)2 + 2H+ (7)
6Zn2+ + 2HCO3- + 6OH- → Zn6(CO3)2(OH)6 + 2H+ (8)
Cd2+ + HCO3- → CdCO3 + H+ (9)
As의 경우 As(III)는 pH 9.22 이하에서 대부분 중성이온 형태인 H3AsO3(pK1 = 9.22)로 존재하며, pH 9.22-12.13에서는 1가 음이온 형태인 H2AsO3-(pK2 = 12.13)로 존재한다. As(V)는 H2AsO4-(pK1 = 2.20)와 HAsO42-(pK2 = 6.97) 및 AsO43-(pK3 = 11.53)의 형태로 존재하며, 따라서 pH 2.20 이상에서 대부분 음이온 형태로 존재한다(Kim et al., 2009). 대부분의 지표수가 산화환경임을 고려하면, 지표수 내에서 As(V)는 As-음이온의 정전기적인 인력보다는 Fe-리간드 교환과 새로운 착물이 형성되는 과정에 의해 비소산화물 복합체의 형태로 철산화물 표면에 고정될 수 있다(Fig. 1)(Kim et al., 2003).
중금속 오염토양을 정화를 위한 대표적인 공법에는 안정화/고형화법(stabilization/solidification), 토양세척법(soil washing), 원위치 토양세정공법(in-situ soil flushing), 산추출법(acid extraction) 등이 있다(Jankaite et al., 2005). 이 중에서도 안정화공법은 오염토양에 안정화제를 넣어 토양 내 중금속의 용해도 및 이동성을 저감시키는 방법으로, 중금속을 직접적으로 제거하는 것은 아니지만, 중금속을 유동성 및 독성이 낮은 형태로 안정하게 변화시킴으로써 중금속으로부터 오는 잠재적 위해성을 저감시키는 공법이다(Kim et al., 2014; Yang et al., 2021). 국내에서는 “광산피해의 방지 및 복구에 관한 법률 제 11조(광산피해방지법)”에 따라 주로 폐광산 관련 오염 농경지에 안정화 공법을 적용하고 있고, 그 외 현장 부지에는 적용한 경우가 거의 없어 안정화공법 관련 기술 개발이 부진한 실정이다. 특히 국내에서 사용되는 안정화제 종류가 석회석, 제강슬래그 등에 한정되어 있어서, 안정화 효율이 우수한 새로운 토양 안정화제의 개발이 요구되며, 광산배수 처리과정에서 발생하는 슬러지를 재활용할 수 있는 기술 개발도 필요하다. MDS를 토양 안정화제로 활용하는 연구는 국외에서조차 거의 수행되지 않은 독창적인 연구 분야이며, 따라서 본 연구에서는 산성금속광산배수 처리의 부산물로 생성되는 산성금속광산배수처리슬러지(acid metal mine drainage treated sludge; 이하 ‘MMDS’)와 석탄광산배수 처리과정에서 생성되는 석탄광산배수처리슬러지(coal mine drainage treated sludge; 이하 ‘CMDS’) 등, 총 두 가지 MDS에 대하여 As와 중금속으로 오염된 토양의 안정화제로서의 적용 가능성을 다양한 실내 실험 및 분석을 통해 규명하고자 하였다.
|
Fig. 1 Schematic illustration of the proposed adsorption mechanisms of arsenate (modified from O’Reilly et al., 2001). |
2.1.실험 방법 및 내용
2.1.1. 오염토양 및 광산배수처리슬러지 채취
본 연구에서는 다양한 중금속 오염 시나리오를 가지는 총 4 종류의 오염부지로부터 비소 및 중금속 오염토양을 채취하였다. 도심지 주변 군부대 내 금속 폐기물 적치장 하부 토양(이하 ‘A토양’), As로 오염된 폐광산 주변 광미 처리장 상부 토양(이하 ‘B토양’) 및 폐광산 주변 농경지 비소 오염토양(이하 ‘C토양’), 군부대 폭파 연습장으로 사용되어 구리(Cu)와 납(Pb)으로 오염된 경사지 토양(이하 ‘D토양’) 시료를 실험에 사용하였으며, 오염토양 시료채취 지점은 Fig. 2에 나타내었다. 오염토양은 유기물과 암석을 제거한 후 일정한 깊이(0-15 cm 깊이 표토층)에서 채취하였으며, 상온(25oC)에서 자연건조 하였다.
연구에 사용된 광산배수처리슬러지는 MMDS와 CMDS의 총 2가지로, 먼저 MMDS는 부산 기장군 일광면에 위치한 일광폐광산 광산배출수 정화시설에서 채취하였다. 일광광산의 주 채광 광물은 구리였으며, 그 외에도 금, 은 등이 산출되는 광산이었으나 현재는 폐광 상태이다(Kang et al., 2010). 2020년 8월 기준, 광산배출수 정화시설 유입수의 철(Fe), 알루미늄(Al), 망간(Mn) 및 아연(Zn)의 농도가 배출기준을 초과하였다(Table 1). 일광광산 배수는 중화제를 사용한 중화 및 응집·침전을 통해 발생하는 슬러지를 침전조 하부에서 분리하여 처리하는 active 처리공법을 이용하여 정화되며, 이 과정에서 MMDS가 생성된다. CMDS는 강원도 정선군에 위치한 석탄광산인 함백광산에서 채취하였다. 함백광산의 CMDS는 광산배수에 용해된 중금속을 전기분해 중 발생한 OH-와 결합시켜 침전시키는 정화공법을 적용하는 과정에서 부산물로 생성된다(Sung et al., 2014). 함백광산배수의 중금속 농도는 Table 2에 나타내었다(Park et al., 2005).
4종류의 오염부지로부터 각각 채취한 오염토양 내에 존재하는 중금속의 농도를 측정하기 위하여, 토양공정시험기준에 따라 전함량법으로 As 및 중금속(Pb, Zn, Ni, Cd)의 농도를 측정하였다. MMDS와 CMDS의 광물학적 특성을 규명하기 위하여, XRD(X-Ray Diffractometer: Malvern Panalytical X’Pert3-Powder) 및 XRF(X-Ray Fluorescence spectrometer: SHIMADZU XRF-1800) 분석을 실시하였다. 또한, 두 종류 MDS의 비표면적 및 공극율/크기를 측정하기 위하여 BET(Surface area analyzer: Micromeritics Instrument ASAP 2420) 분석과, 표면 구조 및 형태를 알아보기 위한 SEM-EDS(Scanning electron microscope-Energy dispersive: TESCAN VEGA II LSU) 분석을 수행하였다.
2.1.2. 광산배수처리슬러지 용출능 평가시험
광산배수처리슬러지(MDS)의 중금속 용출 특성을 규명하고 안정화제로 토양에 첨가하는 경우 추가적인 부지 오염 가능성을 평가하기 위하여, MDS에 대하여 독성용출시험(Toxicity characteristics leaching procedure; 이하 ‘TCLP’)과 인공강우용출시험(Synthetic precipitation leaching procedure; 이하 ‘SPLP’)을 실시하였다. 연구에 사용된 MDS는 상온건조 후 10번체를 통과한 직경 2 mm 이하의 입자를 사용하였다. TCLP의 경우 분석 물질의 pH에 따라 용출액이 달라지므로 시험에 앞서 MDS의 pH를 측정하였으며, 그 결과 MMDS와 CMDS의 pH가 5 이상으로 나타나 pH 5 이상일 때의 용출액을 사용하였다. 증류수에 5.7 mL의 아세트산을 첨가하여 1000 mL로 제조한 용출액 100 mL와 5 g의 안정화제(1:20 W/V)를 반응용기에 넣어 상온, 상압의 조건에서 30 rpm의 교반속도로 18시간 동안 용출시켰다. 교반 후 필터링하여 ICP-OES (Perkin-Elmer Optima DV2100)를 이용하여 용출액의 중금속 농도를 분석하였다. SPLP의 경우 H2SO4/HNO3 (60:40 wt%) 용액을 사용하여 증류수의 pH를 4.2 ± 0.05로 적정한 용출액을 사용하였으며, 실험 과정은 TCLP와 같이 진행하였다(Fig. 3).
2.1.3. 오염토양을 대상으로 As 및 중금속 용출저감 배치실험
토양으로부터 중금속 용출량을 줄이기 위한 안정화제로서 MMDS와 CMDS의 안정화 효율을 평가하기 위하여 MDS를 대상으로 As 및 중금속(Cd, Pb, Zn)에 대한 용출저감 배치실험을 실시하였다. 본 실험에서는 100번 체를 통과한 분말형태의 MMDS 및 CMDS를 안정화제로 사용하였다. 안정화제의 비율에 따른 용출저감 효과를 알아보기 위하여 0%(control), 1%, 3%, 5%, 7% 등 5종류의 비율(wt%)로 안정화제를 오염토양과 혼합하였으며(Table 3), 정치 시간에 따른 안정화 효율을 알아보기 위하여 8시간, 20시간, 44시간, 68시간으로 정치시간을 설정하였다. 오염토양은 상온(25oC)에서 자연건조 후 10번체를 통과한 토양만 사용하였으며, 용출액은 일반적인 빗물의 pH를 고려하여 질산을 이용하여 pH 6 ± 0.5로 적정하여 사용하였다. 용출액 120 mL와 안정화제를 포함한 오염토양 40 g을 넣고(3:1; V/W) 150 rpm으로 2시간 용출시켰다. 8시간 정치 후 0시간, 12시간, 36시간, 60시간에 상등액을 채취하여 5B 필터지를 이용하여 필터링한 후, ICP-OES(Perkin-Elmer Optima DV2100)와 ICP-MASS (Perkin-Elmer NexION 300D)를 이용하여 분석하였다. 60시간 동안 정치한 후, 상등액의 pH를 측정하여 안정화제 첨가에 의한 용출액의 pH 변화를 확인하였다. 용출저감 배치실험 결과로부터, MDS의 As 및 중금속 안정화 효율(stabilization efficiency)은 식(10)을 이용하여 계산하였다.

여기서 C0는 안정화제를 첨가하지 않은 오염토양의 초기 중금속 용출 농도, C1은 안정화제를 첨가한 오염토양의 중금속 용출 농도를 의미한다.
2.1.4. 광산배수처리슬러지 경제성평가
안정화제의 제조단가가 용출 저감 효율 대비 매우 높은 경우 실제 현장에서 대량으로 사용하기 어려우므로, 본 연구에서는 MMDS 및 CMDS의 용출저감 배치실험 결과를 바탕으로 안정화제의 단가를 계산하여 경제성을 평가하였다. 평가를 위해 각 오염토양에서 토양오염우려기준을 초과하는 As와 중금속(Pb, Zn)의 안정화 효율(stabilization efficiency)을 적용하였다. 안정화제의 경제성은 원자재 가격, 운반비, 생산비, 안정화 효율 등을 바탕으로 평가하였으나, 운반비용의 경우 안정화제 적용 부지와의 거리가 각각 다르기 때문에 제외하고 계산하였다. 안정화제 단가는 선행연구의 단가 산정식을 참고하여, ‘(원자재 가격+생산비)/안정화 효율’로 산정하였으며, 산정결과를 통해 실제 경제적 측면에서 두 MDS의 현장 적용가능성을 평가하였다(Yang et al., 2021). Fig. 4
|
Fig. 2 Four soil sampling sites (A-D soils) and 2 MDS sampling locations (MMDS and CMDS). |
|
Fig. 3 Schematic of TCLP and SPLP test process. |
|
Fig. 4 Schematic of the batch extraction experiment process. |
|
Table 1 Water quality of Ilgwang mine drainage at the water treatment facility |
* N.D.: not detected |
|
Table 2 Water quality of Hambaek mine drainage at the water treatment facility (Park et al., 2005) |
|
Table 3 The potion of stabilizer vs. contaminated soil used in batch experiments |
3.1. 오염토양 중금속 분석 및 안정화제 특성 규명 결과
실험에 사용된 오염토양 4종류의 중금속 농도 분석 결과를 Table 4에 나타내었다. A토양 시료 부지의 경우 군부대 재활용품 및 폐품 소각장으로 사용되었으며, 금속 폐기물 무단 투기로 중금속 오염이 심각한 것으로 나타났고(Cd, Pb, Ni, Zn, As가 토양오염 우려기준을 초과), 부지는 정화 후 시민체육공원으로 사용될 계획이다. B토양과 C토양은 광산 활동을 통해 발생한 광미 및 다수의 광산 폐기물에 의해 오염된 토양이다. B토양은 인가 주변에 위치한 광미 적치장으로 As가 우려기준을 초과하였으며, C토양은 광산 주변 농경지 토양으로 Cd, Pb, As가 토양오염우려기준(KSPWL: Korean Soil Pollution Warning Limit)을 초과하였다. D토양의 경우 군부대 폭파장 경사지로 탄피와 폭발물의 주 중금속 성분인 Zn이 토양오염 우려기준을 초과하였다.
연구에 사용한 MDS의 광물학적 특성 규명을 위하여 XRD 및 XRF 분석을 실시한 결과, MMDS의 주 구성광물은 방해석(calcite)과 석고(gypsum)이며, CMDS는 방해석(calcite)과 아라고나이트(aragonite)이다(Fig. 5). XRF 분석 결과는 Table 5에 나타냈으며, 두 MDS 모두 Fe2O3 및 CaO의 성분이 높게 나타났다. 이를 통해 MMDS와 CMDS는 Fe-, Ca- 계열의 물질로 구성되어 있음을 확인하였으며, 그 중에서도 구성비 결과를 비교하였을 경우 CMDS의 Fe와 Ca 성분이 더 높았다. XRF 분석 결과에서는 Fe2O3의 함량이 높게 나타났으나, 일반적으로 토양에서 철광물은 비정질의 형태로 존재하기 때문에 XRD 분석 결과에서는 뚜렷한 주 피크가 나타나지 않았다. MDS 성분 중 수산화철(Fe(OH)2)은 표면적 대 부피비가 크고, 중금속의 흡착에 사용되는 작용기가 다수 존재하기 때문에, 중금속의 흡착에 있어서 우수한 흡착능을 보일 것으로 판단되었다(Choi et al., 2013; Kim et al., 2014).
광산배수슬러지의 비표면적, 공극부피 및 공극크기를 확인하기 위한 BET 분석 결과는 Table 6에 나타내었다. MMDS와 CMDS의 비표면적은 각각 133.4 m2/g, 124.5 m2/g이었으며, 평균 공극크기는 각각 7.01 nm, 5.89 nm였다. MMDS와 CMDS의 공극크기는 2-50 nm 범위에 위치하여 메조기공(meso pore)을 포함하는 물질임을 확인할 수 있었다. 메조기공을 많이 포함하고 있는 물질은 다른 물질에 비해 상대적으로 넓은 표면적을 가지고 있으며, 변형이 용이하여 다양한 중금속의 흡착에 유리한 것으로 알려져 있다(Lee et al., 2011). 따라서 이러한 특징을 가진 MDS는 토양 안정화제로서 중금속 오염토양에 적용이 가능할 것으로 판단되었다.
SEM-EDS 분석을 통해 MMDS 및 CMDS의 표면 형태를 확인하였다(Fig. 6). MMDS와 CMDS 모두 입자 표면에서 산화 작용 또는 흡착/침전에 따라 성장한 철(수)산화물과 탄산염 입자들에 의해 표면이 울퉁불퉁한 형태를 띠고 있었으며, 이 울퉁불퉁한 입자가 중첩되어 다수의 층을 이루고 있었다(Kim et al., 2016). 이러한 표면 구조를 포함하여 두 MDS 모두, 중금속을 고정할 수 있는 유효 공극이 다수 존재함을 알 수 있었다.
3.2. 광산배수처리슬러지 용출시험 결과
MDS의 용출시험 결과를 Table 7에 나타냈다. TCLP 시험 결과 MMDS의 경우 5가지 중금속 중 Zn을 제외한 중금속의 용출이 발생하지 않았으며, 용출이 일어난 Zn의 경우에도 0.07 mg/L의 낮은 용출 농도를 보였다. CMDS의 경우 Ni, Zn의 용출이 발생하였으나 각각 0.07 mg/L, 0.01 mg/L로, 모두 폐기물 용출시험 기준을 만족하였다. 용출시험 결과로부터, 두 MDS 모두 토양 안정화제로서 현장 적용이 가능할 것으로 밝혀졌다(안정화제 투입량이 3-10% 임을 고려). 위 결과를 바탕으로, 실제 오염토양 A와 B에 MDS를 안정화제로 첨가한 후(3 wt%), 안정화제와 혼합한 오염토양의 TCLP 시험 결과를 Fig. 7에 나타냈다. 토양 A의 경우 안정화제를 적용하였을 경우 적용하지 않은 대조군과 비교하여 Zn의 TCLP 용출 농도가 감소하였음을 확인했다. 토양 B의 경우 MDS를 첨가하지 않은 경우 TCLP의 As 용출 농도가 폐기물 용출 시험기준을 초과하였으나, MDS를 첨가한 경우, TCLP 시험에서 토양으로부터 As의 용출이 거의 발생하지 않았음을 확인하였다. 이러한 결과는 실제 오염토양에 안정화제로서 MMDS와 CMDS를 적용하였을 때, 이로 인한 추가적인 중금속이나 As 용출이 거의 발생하지 않는다는 것을 의미한다.
3.3. 오염토양의 비소 및 중금속 용출저감 배치실험 결과
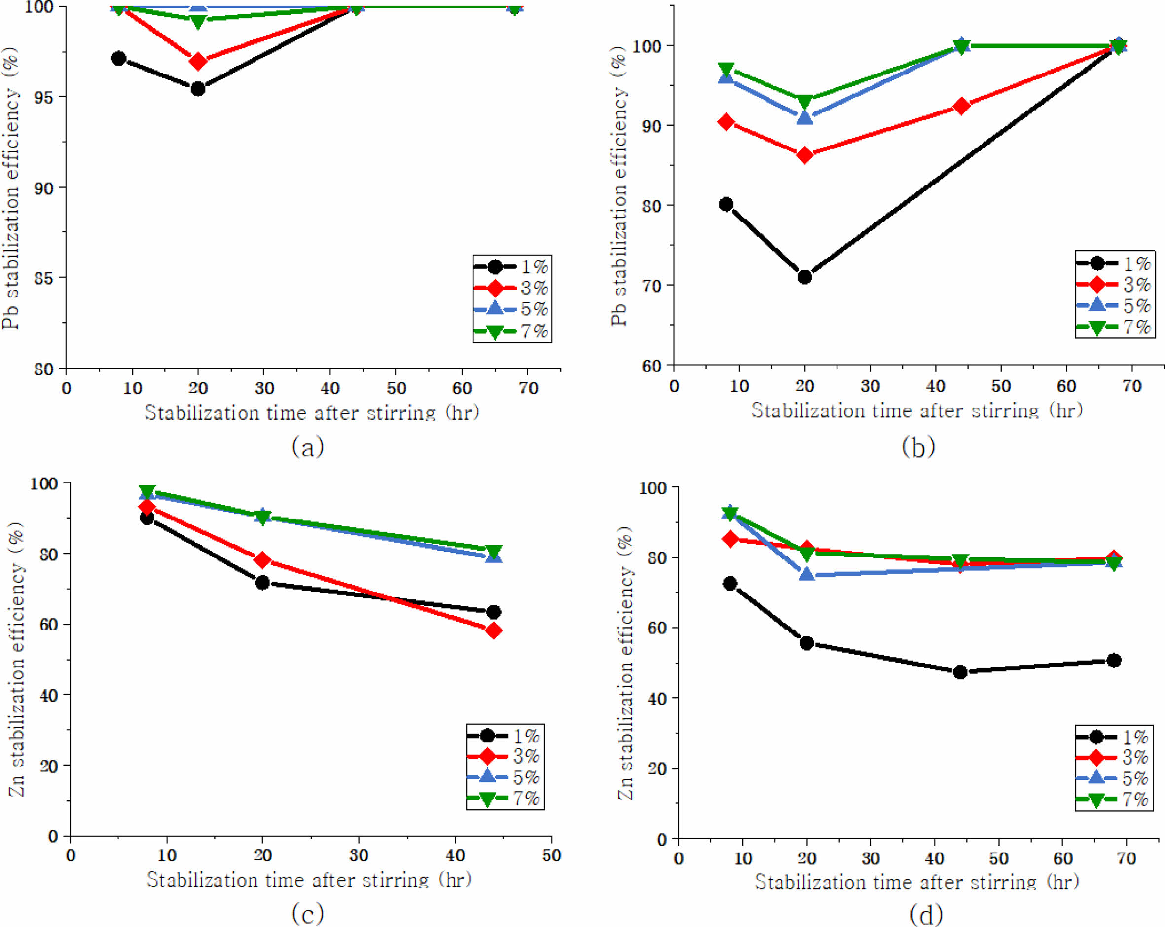
오염토양에 MDS를 혼합한 후, 용출액으로 8시간 반응시킨 후 정치 시간에 따른 수용액의 중금속 농도 측정 자료를 대조구와 비교하여 안정화 효율(stabilization efficiency)을 계산하였으며, 그 결과를 그래프로 나타냈다. Fig. 8은 A토양에 대하여 안정화제를 첨가하지 않은 경우 대비 안정화제 첨가에 따른 Pb, Zn 안정화 효율을 정치 시간별로 비교한 결과이다. Fig. 8-(a)와 (b)를 통해 Pb의 경우 MMDS 첨가 시 모든 혼합 비율에서 90% 이상의 높은 안정화 효율을 보였으며, CMDS를 첨가한 경우에도 1%를 제외한 혼합 비율에서는 80% 이상의 안정화 효율을 보였다. 용출액의 pH는 7.99-8.5로, Cui et al.(2013)에 따르면 pH가 7.22-9.69일 때 Pb는 주로 PbOH+ 및 Pb(OH)2의 형태로 존재하며, MDS의 평균 PZC는 4.5로, 실험이 진행된 pH 범위 내에서 표면이 음전하를 띄게 되므로, 음전하를 띄는 MDS 표면에 Pb2+의 흡착도 발생할 수 있다. 또한, CaCO3와 반응하여 화학적 흡착을 하거나 Pb2(CO3)2(OH)2의 형태로 침전이 일어날 수도 있다(Jang et al., 2021). 위와 같은 반응들을 통하여 MDS 첨가 시 토양 내에서 Pb의 안정화가 이루어진 것으로 판단된다. Fig. 8-(c), (d)를 보면 Zn의 경우 Pb와 비교하여 다소 낮은 안정화 효율을 보이는데, 이는 Pb와의 흡착 경쟁에 의한 것으로 판단된다. Park et al.(2015)에 따르면 복합 중금속 토양에서 각 중금속의 농도가 낮을 때에는 중금속 모두 흡착능이 우수하나, 중금속의 농도가 높으면 흡착제에 대한 각 중금속의 흡착능은 경쟁관계에 따라 오히려 감소할 수 있다고 보고되었다. 토양에 대한 이러한 중금속 흡착 선택성은 중금속 성분의 가수분해상수와 관련이 있는 것으로 보고되었으며, Pb가 Zn보다 흡착 선택성이 높기 때문에 Zn의 안정화 효율이 낮게 나타난 것으로 판단된다. 다만 CMDS 적용 시, Zn의 경우에도 1%를 첨가를 제외한 다른 혼합비율에서 70% 이상의 안정화 효율을 나타내었는데, 이는 MMDS와 비교했을 때, CMDS 내 Zn과 Cu 함량이 상대적으로 낮기 때문인 것으로 판단된다(Table 5 참고).
Fig. 9과 10은 각각 B토양과 C토양(모두 As 오염토양)에 대하여 안정화제를 첨가하지 않은 경우 대비 MDS 첨가에 의한 As 안정화 효율을 비교한 결과이다. As의 경우 MMDS와 CMDS의 모든 혼합 비율에서 80% 이상의 높은 안정화 효율을 나타내었다(1%를 제외한 다른 첨가 비율의 경우 95% 이상). As는 수용액의 pH가 2.2-6.94일 때, H2AsO4-, pH가 6.94-11.5일 때 HAsO42-의 형태로 주로 존재하는 것으로 보고되어있다(Kim et al., 2021). B토양 및 C토양의 실험 전후 pH는 7.26-8.4로 토양에 첨가된 MDS의 표면은 음전하를 유지할 것으로 판단되었다. As는 다른 중금속과 달리 지표수에서 비산염(H2AsO4- 또는 HAsO42-)과 같은 산화 형태로 존재할 가능성이 높아, 음이온인 비산염과 음전하를 띄는 MDS 표면 사이에 전기적 반발력이 발생할 수 있으므로, 정전기적 인력만으로는 As가 MDS 표면에 고정되는 것을 설명하기는 어렵다. 따라서 MDS 표면에서의 As 안정화는 전기적인 인력보다는 MDS 표면에서 리간드 교환, 복합체 형성 및 공침에 의존해야 한다(Kim et al., 2003). 특히 수용액 내 As의 농도가 낮은 경우, As는 주로 산화철의 표면에 monodentate inner-sphere complex를 형성하며, 농도가 높은 경우, bidentate binuclear inner-sphere complex를 만들며 산화철 표면에 흡착될 수 있음이 보고되었다(Fendorf et al., 1997). 본 배치실험에서 나타난 MDS의 As 안정화는 MDS의 높은 Fe 함량으로 인해 형성된 산화철 표면의 As 흡착 과정을 통해 이루어진 것으로 판단된다(3.1. 내용 참조).
Fig. 11은 D토양에 대하여 안정화제를 첨가하지 않은 경우 대비 MDS 첨가에 의한 Zn 안정화 효율을 비교한 결과이다. Zn의 경우 모든 혼합 비율에서 78% 이상의 안정화 효율을 보였다. D토양의 실험 전후 pH는 6.15-8.37로, Zn은 실험이 진행된 pH 범위에서 ZnOH+ 및 Zn(OH)2의 형태로 존재하며, 음전하를 띄는 광산배수슬러지와의 흡착 및 CaCO3에 의한 Zn6(CO3)2(OH)6로의 침전에 의해 안정화가 가능하다(Cui et al., 2013). D토양에서는 A토양과 다르게 경쟁 흡착을 발생시키는 다른 중금속(예: Pb)의 용출이 거의 없었기 때문에, A토양 보다 높은 Zn 안정화 효율이 나타났을 것으로 판단된다.
|
Fig. 5 XRD pattern of (a) MMDS and (b) CMDS. |
|
Fig. 6 SEM images (left) and EDS analytical results (right) of (a) MMDS and (b) CMDS. |
|
Fig. 7 Results of the TCLP test for the mixture (3% MDS + contaminated (a) soil A and (b) soil B). |
|
Fig. 8 Stabilization efficiency for the Pb ((a) MMDS and (b) CMDS) and for the Zn ((c) MMDS and (d) CMDS) in soil A. |
|
Fig. 9 The As stabilization efficiency of (a) MMDS and (b) CMDS in soil B. |
|
Fig. 10 The As stabilization efficiency of (a) MMDS and (b) CMDS in soil C. |
|
Fig. 11 The Zn stabilization efficiency of (a) MMDS and (b) CMDS in soil D. |
|
Table 4 Heavy metals and As concentration of each soil sample taken at 4 sites |
* Red color: > KSPWL |
|
Table 6 Surface area, pore volume and pore diameter of the MMDS and the CMDS from the BET analysis |
|
Table 7 TCLP and SPLP results of the MMDS and the CMDS |
‘-’: no leaching tolerance limit |
국내 일부 휴폐광산에서는 As나 다양한 중금속을 포함하는 광산배수가 다량으로 발생하고 있으며, 이러한 광산배수로 인한 주변 하천이나 토양 오염이 심각하다. 현재 국내 대부분의 광산배수는 인공 또는 자연수질정화시설을 통해 처리되고 있으며, 이때 대량의 광산배수처리슬러지(MDS)가 부산물로 생성된다. 본 연구에서는 이러한 MDS를 중금속 오염토양 안정화제로 이용하여, MDS를 효과적으로 재활용하는 방안을 제시하였다. 토양 안정화제로서의 가능성을 평가하기 위하여 두 종류의 MDS를 대상으로 물리적/화학적 특성 분석, 독성용출시험, 비소-중금속 용출저감배치실험 등을 수행하였으며, 아래와 같은 결론을 도출하였다.
1. MMDS와 CMDS는 많은 미량원소를 포함하나 TCLP 및 SPLP시험 결과, 모두 폐기물 용출시험 검사기준 이하로 나타나, 중금속 용출의 관점에서 토양에 안정화제로서 적용이 가능하다는 것을 입증하였다.
2. A토양의 경우 복합오염토양으로 정전기적 인력과 CaCO3에 의한 흡착 및 침전에 의하 Pb의 안정화 효율이 90% 이상의 높은 안정화 효율을 보였으며, Zn의 경우에는 중금속 경쟁 흡착에 의해 안정화 효율이 다소 낮았지만, CMDS를 적용한 경우 70% 이상의 Zn 안정화 효율을 보였다.
3. B토양과 C토양의 경우 광산활동의 부산물인 광미에 의한 As 오염토양으로, As의 안정화 효율이 80% 이상의 안정화 효율을 보였으며(대부분 95% 이상), 이러한 As의 높은 안정화 효율은 MDS가 다량 포함하는 철산화물 표면에서 발생하는 As 리간드 교환과 복합체 형성에 의한 것으로 판단된다.
4. D토양의 경우 폭발물에 의한 중금속 오염토양으로 음전하를 띄는 광산배수슬러지 표면과의 정전기적 인력 및 CaCO3에 의한 공침과정에 의해 78% 이상의 Zn 안정화 효율을 나타내었다.
5. MMDS와 CMDS의 제조 단가를 중금속의 평균 안정화 효율을 이용하여 계산한 결과(2.4참조), MMDS와 CMDS의 중금속 안정화 효율 대비 단가는 102-141원/kg으로, 경제성과 중금속 저감 효율이 높은 것으로 나타났다.
6. 다양한 오염 시나리오를 가지는 4종류의 토양을 대상으로 수행한 용출저감배치실험 결과를 통해, MDS는 중금속 또는 As 단일오염토양뿐만 아니라 복합오염토양에서도 토양 안정화제로서 효과적으로 사용될 수 있다는 것을 입증하였다.
본 연구는 환경부 “지중환경오염∙위해관리기술개발사업; 2019002470002 ”으로 지원을 받아 연구되었습니다. 본 논문을 세심하게 심사하여 주신 심사자들께 감사드립니다.
This Article2022; 27(4): 10-21
Published on Aug 31, 2022
Services
Correspondence toMajor of Environmental Geosciences, Division of Earth Environmental System Science, Pukyong National University, Busan 48513, Korea