
Woo-Ri Lim1·Se-Yeong Hamm2·Chung-Mo Lee3*
1Research Institutes of Applied Science, Catholic University of Pusan, Busan 46252, Korea
2Institute of Environmental Studies, Pusan National University, Busan 46241, Korea
3Department of Geological Sciences, Pusan National University, Busan 46241, Korea
임우리1·함세영2·이충모3*
1부산가톨릭대학교 응용과학연구소
2부산대학교 환경연구원
3부산대학교 지질환경과학과
This article is an open access article distributed under the terms of the Creative Commons Attribution Non-Commercial License (http://creativecommons.org/licenses/by-nc/4.0) which permits unrestricted non-commercial use, distribution, and reproduction in any medium, provided the original work is properly cited.
Water resources in Jeju Island are dependent virtually entirely on groundwater. For groundwater resources, drought damage can cause environmental and economic losses because it progresses slowly and occurs for a long time in a large area. Therefore, this study quantitatively evaluated groundwater level fluctuations using principal component and cluster analyses for 42 monitoring wells in Jeju Island, and further identified the types of groundwater fluctuations caused by drought. As a result of principal component analysis for the monthly average groundwater level during 2005-2019 and the daily average groundwater level during the dry season, it was found that the first three principal components account for most of the variance 74.5-93.5% of the total data. In the cluster analysis using these three principal components, most of wells belong to Cluster 1, and seasonal characteristics have a significant impact on groundwater fluctuations. However, wells belonging to Cluster 2 with high factor loadings of components 2 and 3 affected by groundwater pumping, tide levels, and nearby surface water are mainly distributed on the west coast. Based on these results, it is expected that groundwater in the western area will be more vulnerable to saltwater intrusion and groundwater depletion caused by drought.
Keywords: Groundwater levels, Time series, Principal component analysis, Cluster analysis
제주도는 수자원의 대부분을 지하수에 의존하기 때문에 기후변화에 따른 수자원 영향에 대해 지속적인 관심과 연구가 필요한 지역이다(Song and Choi, 2012). 제주도와 같은 지하수 의존율이 높은 도서 및 해안지역은 토지이용, 기후변화 등 여러 요인들로 인해 지하수위 고갈, 수질오염, 해수침투 등의 재해에 노출되어 있기 때문에 지하수 자원 관리 대책이 새롭게 요구되고 있다. 지하수 관련 재해는 지역의 수문지질학적 특성에 따라 다른 형태로 나타날 수 있다(Werner et al., 2013). 제주도의 이상기후와 지하수 개발은 지속적으로 증가하고 있어 지하수 분포 및 환경적 영향을 고려한 지하수위 변동의 평가는 필요하며, 가뭄과 같은 극한 상황에 대비한 지하수위의 변동예측은 지하수 관리에 매우 중요하다.
선행연구에서 제주도의 지하수위 변동 특성은 다양한 인자에 의해 설명되었다. Kang et al.(2008)은 갈수기와 풍수기의 지하수위 변동을 해안선에서 이격거리와 함께 비교하였으며, Kim et al.(2011)은 시추자료와 지하수위 자료를 근거로 제주도 화산암의 수리지질과 지하수 분포 특성을 규명하였다. 또한 Kim et al.(2016)은 지하수 유동 및 수위변동 분석이 가능한 수치해석 모형을 이용하여 제주도 성산유역을 대상으로 10년 주기 양수에 따른 지하수위 하강 특성을 분석하였다. Jeong et al.(2022)은 제주도 전역에 대해 발생하고 있는 지하수위 저하 현상의 원인을 평가하기 위해 지하수위, 강수, 지하수 이용량 시계열 자료 및 토지 이용에 대한 정보를 취득하고 이들 간의 상관성을 분석하여 제주도 서부지역은 지하수 이용량, 동부지역은 광역적인 수리학적 스트레스(넓은 기저 지하수대 및 해수 침투)로 지하수위 저하 원인을 제시하였다.
한편, 지하수 시계열 자료는 주변의 환경인자에 의하여 특징적인 변동 양상을 보일 수 있고 그에 따른 유형별로 그룹화할 수 있다. 기본적으로 지하수위의 시계열은 지질, 지형 및 수리지질적 인자 등에 의하여 결정되며, 지하수 이용량 등의 인위적인 인자의 영향을 받기도 한다. 주성분분석은 인자들간의 복잡성을 해석하기 위해 차원축소의 목적으로 다양한 분야에서 사용되고 있다. 주성분분석 및 군집분석을 통한 지하수 시계열 자료의 분석은 여러 선행연구에서 수행한 바 있다. Upton and Jackson(2011)은 영국내 집수지에서 홍수로 인한 지하수 범람 예측을 위해 지하수위 시계열의 주성분분석과 군집분석을 모델링 전처리에 활용하였으며, Prakaisak and Wongchaisuwat(2022)는 태국의 수문자료 분류에 활용한 바 있다. 국내 지하수 수위 관측 자료를 활용한 사례로는, Kim et al.(2012)이 낙동강 하류 충적층 지하수 자료를 토대로 지표수의 변화가 지하수에 미치는 영향에 대한 기초적인 특성을 평가한 바 있다. 또한 Jung et al.(2021)은 주성분분석 기법을 이용하여 2017년 가뭄으로 인한 지하수위의 변동 패턴을 분류하여 지하수위의 공간적 분포를 파악하고 지하수위에 영향을 미치는 수문학적 변수(강수량, 해수위, 해안지역의 인공 양수 등)를 매핑하여 가뭄에 취약한 지표 관정을 선정했다. Lee et al.(2021)은 지하수 수질에 영향을 미치는 토지이용을 분류하기 위해 지하수 수질 자료의 차원 축소 목적으로 이용하기도 하였다. 장기간 비정상적 수분 부족현상에 의한 가뭄 피해는 홍수와 달리 진행속도가 느리고, 넓은 지역에서 장기간 발생하기 때문에 큰 경제적 손실을 유발하며, 농작물 피해 등 2차 피해로 이어질 수 있다. 지역의 가뭄 대책을 마련하기 위해서는 가뭄 특성의 정량적인 평가와 진단 과정이 선행되어야 한다. 따라서 본 연구에서는 주성분분석을 통한 1차적인 인자를 도출하였으며, 이들 인자들을 이용하여 지하수위 시계열 자료에 대한 군집분석을 실시하여 군집을 도출하고 군집별 특성을 평가하였다. 이를 통해 제주지역의 지하수위 변동을 정량적으로 비교ㆍ평가하고, 나아가 가뭄 발생에 따른 지하수위의 변동 유형을 파악하고자 한다.
제주도는 해발 1,950 m의 한라산 순상화산체를 비롯하여 단성 화산체, 용암동굴, 해안 저지대의 넓은 용암대지 등으로 이루어진 화산섬이다(Woo et al., 2013). 지표의 지질은 주로 용암류 화산암과 화성쇄설암(응회암)으로 구성되어 있다. 화산암은 현무암, 조면현무암, 현무암질조면안산암, 조면안산암 및 조면암 등으로 분류되며, 알칼리 화산암계열의 지화학적 특성을 보인다.
수문지질단위는 크게 현무암류(Basalt), 조면암류(Tra- chyte), 조면암질현무암류(Trachybasalt), 퇴적층(Sediment), 분석구(Scoria) 등 5가지로 분류된다(Fig. 1(a); Lim, 2021). 현무암류에는 다공질, 치밀질 등 각종 현무암류가 포함되며 대표 암석으로는 장석현무암, 휘석현무암, 감람석현무암 등이 있다. 조면암류 및 조면암질현무암류는 조면암질안산암, 조면암질현무암 등으로 대표되며, 치밀질로써 현무암류에 비해 투수성이 낮은 특성을 가진다. 퇴적층은 응회암, 역암, 사암 및 이암, 서귀포층, 고토양층을 포함하며 투수성이 매우 낮다. 이러한 저투수성 퇴적층은 한라산 중심부가 가장 높은 분포특성을 가지고, 동부 및 북부지역으로 진행될수록 매우 낮게 분포하고 있다(Jeju Special Self-Governing Province, 2013; Kim et al., 2015).
제주도의 대표적인 투수성 지형은 크게 숨골, 곶자왈, 용암동굴, 스코리아 등으로 분류하며, 제주도의 동부지역에 38.3%, 서부지역에 32.8%가 분포한다(Kim et al., 2019; Fig. 1(b)). 또한 제주도의 하천은 한라산을 중심으로 남북 방향으로 급한 경사를 이루며 발달하고 하천 연장이 대부분 15 km 내외로 매우 짧은 특성을 보인다(Kim, 2018). 이러한 하천 발달 특성과 높은 투수성 지질구조에 의해 호우 발생 시 짧은 기간 동안 유출이 발생하고 대부분 건천 상태로 유지된다.
|
Fig. 1 Distribution of (a) hydrogeological units by rock formations and (b) permeable terrains in Jeju Island (modified after Lim, 2021). |
연구에 사용된 지하수위 자료는 2005년 1월부터 2019년 12월까지의 자료이며, 제주특별자치도에서 설치 및 운영중인 지하수정보관리시스템(http://water.jeju.go.kr)에서 수집하였다. 또한 기상자료개방포털(http://data.kma.go.kr)의 강수량 자료, 국립해양조사원(http://www.khoa.go.kr/)의 해수위 자료, 제주도 수문지질 통합정보시스템(http://www.jejuwater.or.kr)의 지하수 이용량 자료 등을 이용하여 종합적으로 분석하였다. 지하수위의 경우, 2005년 1월부터 지하수위가 기록된 관정은 총 73개소이나, 결측값의 빈도 등을 고려하여 양호한 42개소의 자료를 이용하였다(Fig. 2(a), Table 1).
강수량 자료를 기반으로 가뭄을 평가하는 방법으로는 표준강수지수(Standardized precipitation index, SPI), Palmer 가뭄지수(Palmer drought severity index, PDSI), 물공급능력지수(Water supply capacity index, WSCI), 유효가뭄지수(Effective drought index, EDI) 등이 있다(Byun and Wilhite, 1999; Lee et al., 2006; McKee et al., 1993; Yun et al., 1997). 본 연구에서는 이 중 EDI의 연속 무강우 기간(Maximum number of consecutive days with daily precipitation < 1 mm, CDD)을 기준으로 갈수기를 판별하였다. 제주도에서 무강수일이 20일 이상 되면 농업용 지하수 이용량이 급증하게 되어 해안지역의 경우 해수침투 문제가 발생할 수 있으며, 지하수위도 지속적으로 하강하게 되어 지하수 이용측면에서 중요한 요소이다(Gwak et al., 2018; JRI, 2017). 무강수일 분석은 기상청 종관기상관측소(Automated synoptic observing system, ASOS) 강수량 자료 중 1일 1 mm 이하의 강수량이 30일 이상 연속되는 기간을 산정하였다(Table 2). 관측소에서 공통으로 관찰되는 기간은 2007년 10-12월, 2009년 10-11월, 2012년 9-10월, 2013년 10-11월, 2017년 10-11월로 나타났다. 분석에 사용된 갈수기 기간은 무강수일을 포함한 2개월로, 2007년과 2017년은 10월 1일에서 12월 31일, 2009, 2012, 2013년은 9월 1일에서 11월 30일로 선정하였다.
한편, 제주도에는 2019년 기준 4,615개소의 지하수 관정이 개발되어 있으며, 농어업용, 생활용, 공업용, 기타(먹는 샘물용) 등으로 이용되고 있다(MOE and K-water, 2020; Fig. 2(b)). 전체 지하수 관정 중 농어업용 관정이 66.2%로 높은 비중을 차지하고 있다. 제주특별자치도 보건환경연구원과 물정책과에서는 2000년부터 이용허가 및 개발허가된 개별 관정에 대해 월별 지하수 이용량 자료를 축적하고 있다.
3.1. 주성분분석
주성분분석(Principal component analysis)은 분석 대상 변수가 많은 경우 변수들 간의 상호 관련성을 이용하여 변수 속에 내재된 인자(Factor)를 찾아내고 이를 통하여 전체 자료의 특성을 설명하는 통계적 방법이다. 주성분분석은 변수들의 상관행렬 또는 공분산 행렬의 고유값과 고유벡터를 이용한 스펙트럴 분해(Spectral decomposition)를 이용하여 주성분이라는 새로운 변수를 생성하는 방법이다(Browne, 1998). 이 방법을 이용하여 관측정의 지하수위에 대한 몇 가지의 핵심 인자를 도출함으로써 관측정을 그룹으로 분류하고 지하수위 변동 패턴을 정의할 수 있다(Kim et al., 2018). 인자별 작용과 인자점수의 공간분포 특성을 검토하기 위해 인자 적재값(Factor loading)과 항목별 인자 점수(Factor score)가 이용된다. 인자 적재값은 각 변수와 인자간의 상관관계의 정도를 나타내므로 각 변수는 인자 적재값이 가장 높은 요인에 속하게 되며, 일반적으로 인자 적재값이 0.4 이상이면 유의한 변수, 0.5를 넘으면 중요한 변수라 할 수 있다. 인자 점수는 그 인자에 의해 설명되는 정도를 나타내는 것으로, 인자점수가 -1 이하의 자료들은 각 요인에 의해 설명되는 작용과는 관련이 없음을 의미하며, 1 이상일 경우 해당 인자의 영향을 많이 받았음을 의미한다. 한편, 인자 점수가 0에 가까울 경우, 해당 인자의 영향을 평균 정도 받았음을 의미한다(Dalton and Upchurch, 1978).
주성분분석은 평균과 분산의 통계적 성질을 이용한 기법으로 자료를 설명하기 위해 투영시켜 분산이 최대가 되는 기본벡터를 찾게 되고, 이때 분산의 크기는 기본 벡터가 가질 수 있는 자료의 양을 의미한다. 이들 기본벡터 중 서로 직교하는 성질을 만족하는 기본벡터를 주성분이라고 하고 이 벡터에 해당하는 성분점수를 새로운 자료로 이용하게 된다. 주성분분석은 선형모형으로 나타낼 수 있으며 일반적인 형태는 다음과 같다.

주성분점수로 이루어진 행렬 PC는 각 관측단위와 주성분들의 관계 정도를 나타낸다. X는 (p × 1)을 가지는 기존자료의 행렬, v는 고유값(Eigenvalue)에 대한 고유벡터(Eigenvector)를 의미한다. 고유값은 다음와 같이 각 PC의 분산으로부터 산정된다.

또한 주성분은 상호 독립이기 때문에 i와 k가 다를 경우 다음과 같이 공분산은 0의 값을 가지고 공분산행렬은 고유값 λ1 ≥ λ2 ··· λp ≥ 0로 이루어지게 된다.

여기서 i번째 주성분은 다음과 같은 조건 하에서 분산을 최대화하는 선형결합으로 나타낼 수 있다. 먼저, 분산은 선형결합계수로 사용되는 고유벡터 v에 따라 증가될 수 있으므로 요소들의 자승합이 1이 되도록 제한한다. 다음으로 주성분분석에서 두 개의 선형결합 관계는 서로 독립이라고 가정하기 때문에 두 주성분의 공분산은 0이 되어야 한다. 마지막으로 자료에서 최대의 고유값을 산출하기 위한 방정식은

과 같다. 여기서 A는 기존자료의 상관계수행렬 또는 표준화된 변수의 분산공분산 행렬, I는 단위행렬을 의미한다.
3.2. 군집분석
군집분석(Cluster analysis)은 N개의 개체를 대상으로 p개의 변수를 측정하였을 때 관측한 p개의 변수들을 이용하여 N개 개체들 사이의 유사성과 비유사성의 정도를 측정하여 개체들을 가까운 순서대로 군집화 하는 통계적 방법이다(Ro et al., 2017). 군집분석에서는 군집의 수 혹은 군집의 구조에 대한 가정이 없으며, 오직 데이터들 사이의 유사성에 의하여 군집을 형성하고, 형성된 군집의 특성을 파악하여 이들 사이의 관계를 분석한다. 군집분석을 수행하기 위해서는 먼저 데이터 개체에 대해 고려하고자 하는 변수를 관찰하여 자료행렬을 만든다. 그 다음에는 묶여지는 각 데이터간의 유사성의 정도를 측정하는 기준척도가 필요하다. 보통 이러한 정도를 측정할 때에는 유사성을 거리로 환산하여 거리가 가까운 대상들을 동일한 집단에 포함시키므로 어떠한 변수들을 설정할 것인가 하는 것이 먼저 해결되어야 한다. 군집분석에서는 의미 없는 변수를 제거하는 과정이 없으므로 선택된 변수들이 모두 동일한 비중을 가진다. 두 개체 사이의 거리의 종류에는 유클리드 거리(Euclidean distance), 맨해튼 거리(Manhattan distance), 민코프스키 거리 (Minkowski distance) 등이 있다. 본 연구에서는 이들 중에서 가장 보편적인 유클리드 거리를 이용하였다(Hurewicz et al., 1947).

여기서 d(A,B)는 대상 A와 B 사이의 거리, Xij는 대상 j의 변수 i의 좌표, n은 측정 변수의 개수를 의미한다. 기준 척도를 정한 후에는 실제로 대상들에 대해서 군집화한다. 군집화 방법에는 크게 계층적 군집화 방법과 비계층적 군집화 방법이 있다. 계층적 군집화 방법에는 최단 연결법(Single linkage method), 최장 연결법(Complete lin- kage method), 평균 연결법(Average linkage Method), 중심 연결법(Centroid linkage method), 중위수 연결법(Median linkage method), 그리고 와드 연결법(Ward lin- kage method) 등이 있다. 본 연구에서는 계층적 군집을 형성할 때 비교적 정확한 결과가 나오는 와드 연결법 방식을 사용하여 가장 유사한 군집들을 병합할 수 있도록 하였다. 와드 연결법은 군집 간 거리만으로 데이터를 연결하는 것이 아닌, 군집 내 편차들의 제곱합(Error sum of square)에 근거하여 병합해 나가는 방법으로써 노이즈(Noise)나 이상치(Outlier)에 덜 민감한 장점이 있다(Ward, 1963).

위 식에서 m은 군집의 평균, A, B는 군집을 나타낸다. 즉, 위의 식은 두 군집이 하나의 군집으로 형성되었을 때의 평균과 각 개체들과의 거리, 또 서로 다른 두 군집의 평균과 그에 속하는 개체들과의 거리의 차이이다. 병합된 군집의 오차 제곱 합은 병합 이전의 합 보다 커지게 되는데, 이 증가량이 작아지는 방식으로 군집화 시행하게 되기 때문에 비슷한 크기의 군집이 형성되며 계층적 군집분석에서 비교적 정확한 결과를 도출할 수 있다. 본 연구에서 적용된 주성분분석과 군집분석은 XLSTAT software (Addinsoft, New York, USA)을 이용하여 각 자료와 변수에 대한 패턴 및 군집화를 확인하였다.
|
Fig. 2 Location of (a) monitoring wells with meteorological and tidal stations and (b) wells for groundwater use in Jeju Island |
|
Table 1 Description of wells used for groundwater level analysis in Jeju Island |
|
Table 2 Period in which CCD was observed for more than 30 days from 2005 to 2019 |
4.1. 주성분분석
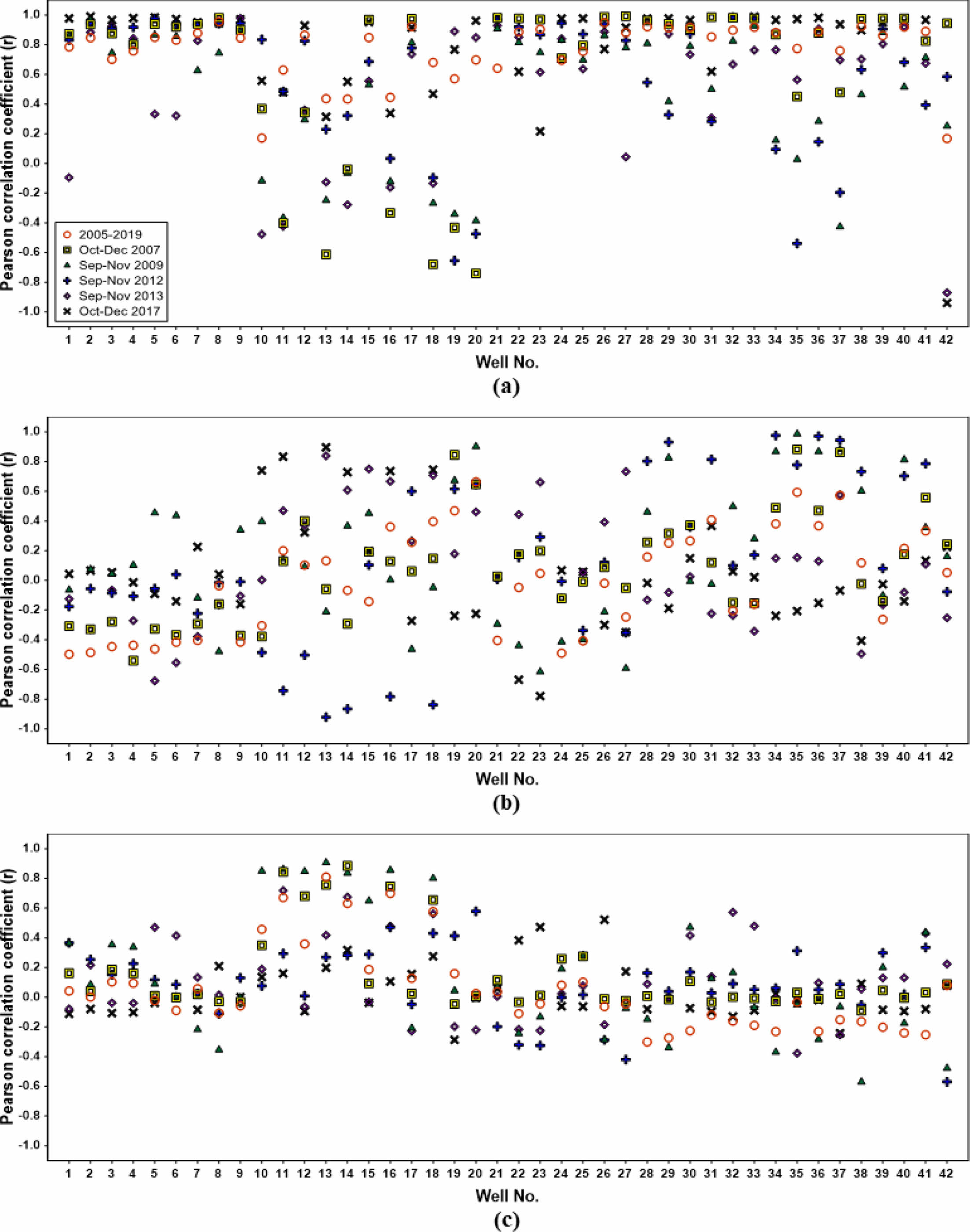
지하수위 변동을 설명할 수 있는 대표성분을 추출하기 위하여 2005년부터 2019년까지의 월평균 지하수위 및 갈수기 일평균 지하수위 자료를 대상으로 주성분 분석을 실시하였다. 주성분분석 결과, 2005년부터 2019년까지의 월평균 지하수위 및 갈수기 일평균 지하수위 모두 3개의 주성분이 전체 자료의 74.5-93.5%를 설명하는 것으로 나타났다(Table 3). 먼저 15년간의 월평균 지하수위에 대해 고유값이 1 이상인 주성분은 5개이며 전체 분산의 89% 이상을 설명해주고 있다. 한편, 일평균 지하수위에 대해서는 2007년 10-12월에서 4개의 주성분이 95.6%, 2009년 9-11월에서 5개의 주성분이 91.1%, 2012년 9-11월에서 3개의 주성분이 91.8%, 2013년 9-11월에서 5개의 주성분이 84.4%, 그리고 2017년 10-12월에서 3개의 주성분이 93.5%의 설명력을 가진다. 여기에서 주성분 1은 지하수위와의 Pearson 상관계수가 –0.94-0.99, 주성분 2는 –0.92-0.99, 주성분 3은 –0.57-0.91의 범위에서 모두 유의(유의수준 0.05)한 것으로 나타나 세 개의 주성분 모두 지하수위 변동과 관련성이 높음을 알 수 있다(Fig. 3).
이상에서 도출된 각 주성분의 그래픽 특성을 파악하기 위하여 가장 대표적인 주성분 3개를 대상으로 시계열도를 작성하였다(Fig. 4와 5). 관찰기간의 월평균 지하수위에 대한 주성분 1(Factor 1)의 그래프는 호우기와 갈수기의 지하수위의 계절적 반응이 뚜렷하며 타 주성분에 비하여 갈수기와 홍수기의 수위변동폭이 큰 것이 특징이다(Fig. 4(a)). 주성분 2는 호우기와 갈수기의 지하수위의 계절적 반응이 뚜렷하며, 주성분 1에 비하여 지하수위 상승 시 peak 형태가 줄어들었으며 완만한 형태를 보이고 있다(Fig. 4(b)). 또한, 지하수위 상승 시에는 지수함수적 형태를 보이지 않고 해수위 패턴과 유사하게 볼록한 형태를 나타내며 3차례 호우기 동안 지하수위가 약간 낮아지나, 이전 시점의 수위에 의하여 대부분 결정되는 모형을 보인다. 주성분 3의 경우, 호우기와 갈수기 모두 지하수위 강하가 발생하고 있으며, 갈수기와 홍수기의 수위변동폭이 주성분 1 및 2에 비하여 적은 것이 특징이다(Fig. 4(c)). 또한 계절에 따른 지하수위 변동패턴이 뚜렷하지 않는 것이 특징이나 갈수기에 지하수 이용량이 증가하면 peak가 급격히 감소하는 형태를 비교적 잘 보이고 있다. 이와 같은 불규칙 변동은 주변에서의 양수, 인공함양, 하천 및 저수지 수위에 의한 영향 등 다양한 원인에 의하여 발생하는 것으로 판단된다.
한편, 갈수기의 일평균 지하수위에 대한 주성분들은 대체적으로 유사한 변동 특성을 나타낸다(Fig. 5(a)-(e)). 주성분 1은 강우시 일시적인 수위상승은 발생하나 지속적으로 하강하는 시계열 특성을 가진다. 주성분 3은 주성분 1에 비해 강우에 의한 수위 변동 폭이 적고 완만한 형태를 보이며 수위 상승시 유지되는 기간이 짧은 반면 하강은 긴시간에 걸쳐 지속되는 형태를 보인다. 반면, 주성분 2는 강우에 대한 반응이 미미하고 완만한 형태를 보여 기타 인위적인 요인의 영향에 의해 변동되는 것으로 예상된다.
4.2. 군집분석
본 연구에서는 군집 간에 관측지점 특성의 상호비교를 위하여 계층적 군집화(Hierarchical clustering analysis)을 적용하였으며, 전체 월평균 및 갈수기 일평균 지하수위에 대한 3-5개의 주성분 중에서 계절변동, peak 특성, 수위변동 폭 및 추세성 등에 의하여 특성화 되어있는 3개의 주성분(Facor 1-3)의 적재값을 변수로 사용하였다. 이때 실루엣(Silhouette)은 군집 내 데이터가 어느 정도 가깝게 대응하는 것과 이웃 군집 데이터가 어느 정도 대응되는지에 대한 측도로 활용된다(Rousseeuw, 1987). 실루엣 너비는 -1부터 1까지의 값을 가지는데 1에 가까우면 관찰값은 주변 군집보다 지금 속한 군집에 더 잘 속하며, -1에 가까우면 군집이 잘 되지 않았다고 판단할 수 있다. 본 연구에서는 2-6개의 군집 중 실루엣 점수(Silhouette score)가 가장 큰 군집수를 선택하였고, 그 결과 전체 2-4개의 군집으로 분류되었다(Table 4).
Fig. 6, 7은 각 군집을 3개의 주성분을 축으로 하여 산점도로 표현한 것으로써, 전체 월평균 지하수위는 3개의 그룹으로 분류되며(Fig. 6(a)), 군집 1의 경우에는 주성분 1(인자 적재값 평균 0.835)에 의하여 강하게 설명되고 군집 2는 주성분 3(0.536)에 의하여 설명 가능하며, 군집 3은 주성분 2(0.846)에 의한 설명력이 크다는 것을 알 수 있다. 갈수기 일평균 지하수위의 경우 인자 적재값에서 보듯이 군집 1이 가장 뚜렷한 군집특성을 보이며, 전체 관측정의 과반수가 해당되어 갈수기 제주도 지하수위 변동의 가장 일반적인 형태라 할 수 있다. 군집 1에 해당되는 관측정들은 주성분 1에 0.745-0.911 범위의 높은 적재값을 나타내어, 갈수기 동안 지속적인 수위하강이 발생한 것을 알 수 있다. 반면, 군집 2에 속하는 관측정은 2007년과 2009년의 경우 주성분 3에 대해 각각 평균 0.566, 0.827의 적재값을 가지며(Fig. 6(b),(c)), 2012년, 2013년 및 2017년은 주성분 2에 대해 평균 -0.830, 0.406, 그리고 0.702의 적재값을 보여 주성분 2와 3의 작용이 크게 나타나는 것을 알 수 있다(Fig. 7(a)-(c)). 이는 갈수기에 강우의 영향보다 인근의 양수 및 해수위, 하천 및 저수지의 영향을 더 많이 받는 것으로 해석된다. 한편, 2009년의 군집 3(0.758)과 2012년의 군집 3, 4(0.814, 0.746)는 모두 주성분 2에 높은 적재값을 나타내었다.
이러한 결과를 바탕으로 각 관측정의 소속 군집의 공간적 분포를 파악하기 위하여 지도에 도시해 보았다(Fig. 8). 먼저 월평균 지하수위에서 동부와 남부 대부분의 관측정과 일부 북부 관측정이 군집 1(C1)에 포함된다(Fig. 8(a)). 반면, 서부 해안지역에 위치한 관측정들은 군집 2(C2)에 속하며, 서부 중산간 지역의 관측정과 북부 관측정들은 주로 군집 3(C3)으로 분류된다. 갈수기의 일평균 지하수위의 경우, 2007년(Fig. 8(b)), 2009년(Fig. 8(c)), 2013년(Fig. 8(e)), 2017년(Fig. 8(f))의 분포도에서 군집 3에 속하던 북부의 관측정들이 군집 1로 변화하였고, 이는 지속적인 무강우로 인한 지하수위 저하가 군집 변동에 영향을 미친 것으로 해석할 수 있다. 한편, 2012년의 갈수기 일평균 지하수위의 경우(Fig. 7(d)), 주성분 2에 의해 군집 4가 분류된 것은 관찰기간 내에 100 mm 이상의 강우가 발생하여 이로 인한 중산간 지역 관측정의 함양효과에 의한 것으로 판단된다.
군집의 경향을 종합해보았을 때, 계절적 변동과 강우의 영향이 지배적인 지하수위를 보이는 관측정들은 주로 군집 1에 속하여 월평균 지하수위의 경우 전체 47.6%, 갈수기의 경우 57.1-83.3%가 이에 해당된다. 그러나 인위적 양수 또는 해수위, 인근 하천 및 저수지 수위 등의 영향을 받는 주성분 2, 3의 적재값이 높게 산정되어 분류되는 군집 2에 속하는 관측정들은 주로 서부지역 해안에 분포하고 있다.
|
Fig. 3 Pearson correlation coefficient, r, between groundwater levels and principal components (a) F1, (b) F2, and (c) F3. |
|
Fig. 4 Time series of the factor scores for (a) factor 1, (b) factor 2, and (c) factor 3 principal components extracted from average monthly groundwater levels during 2005-2019. |
|
Fig. 5 Time series of the factor scores for factor 1-3 principal components extracted from average daily groundwater level during (a) OctDec 2007, (b) Sep-Nov 2009, (c) Sep-Nov 2012, (d) Sep-Nov 2013, and (e) Oct-Dec 2017. |
|
Fig. 6 Scatter plots for the clusters using three principal components of average monthly groundwater levels during (a) 2005-2019 and average daily groundwater level during (b) Oct-Dec 2007, (c) Sep-Nov 2009. |
|
Fig. 7 Scatter plots for the clusters using three principal components of average daily groundwater level during (a) Sep-Nov 2012, (b) Sep-Nov 2013, and (c) Oct-Dec 2017. |
|
Fig. 8 Spatial distribution for time series cluster groups of average monthly groundwater level during (a) 2005-2019 and average daily groundwater level during (b) Oct-Dec 2007, (c) Sep-Nov 2009, (d) Sep-Nov 2012, (e) Sep-Nov 2013, and (f) Oct-Dec 2017. |
|
Table 3 Total variance explained from principal component analysis for time series of groundwater levels |
|
Table 4 Results of Agglomerative hierarchical cluster analysis for groundwater levels of monitoring wells |
본 연구에서는 지하수위 변동의 주요 영향 인자라고 판단되는 지하수 이용량이 월합 자료로 산정되었기 때문에 불가피하게 월평균 지하수위 분석에 적용하였다. 이는 분석 결과에 대한 신뢰도가 일평균 및 시평균 자료에 비해 다소 떨어지는 한계가 있다. 그러나, 최근 제주특별자치도에서 운영하는 지하수정보관리시스템에서 첨단 사물인터넷 기술을 활용한 지하수 이용량 원격 모니터링을 도입하여 제주도 내 모든 지하수 이용량 통계의 신뢰성을 확보하고, 지하수 허가량 대비 실제 이용량을 분석하는 등 지하수 관리 시스템 구축하고 있다. 그러므로 본 연구의 결과를 바탕으로 일평균 및 시평균 자료를 분석에 적용한다면 신뢰도의 한계성을 보완할 수 있을 것이다.
전체기간 월평균 지하수위와 갈수기 일평균 지하수위의 주성분분석 결과, 2005년부터 2019년까지의 월평균 지하수위 및 갈수기 일평균 지하수위 모두 3개의 주성분이 전체 자료의 74.5-93.5%를 설명하는 것으로 나타났다. 이때 도출된 각 주성분의 시계열도에서 주성분 1의 그래프는 호우기와 갈수기의 지하수위의 계절적 반응이 뚜렷하며 타 주성분에 비하여 갈수기와 홍수기의 수위변동폭이 크고, 주성분 2는 지하수위의 계절적 반응이 뚜렷하나 완만한 형태를 가지고 이전 시점의 수위에 의하여 결정되는 모형을 보였다. 주성분 3의 경우, 계절에 따른 지하수위 변동패턴이 뚜렷하지 않는 것이 특징이며, 불규칙 변동이 주변에서의 양수, 인공함양, 하천 및 저수지 수위에 의한 영향 등 다양한 원인에 의하여 발생하는 것으로 판단되었다. 기존의 연구들에 의해 지하수위는 지형, 지질, 경사, 지하수 함양량 등의 영향을 받는다고 보고되고 있는데, 이 연구에서는 강우와 해수위의 영향만을 고려하였으므로 차후 연구를 통해 지형, 지질, 경사, 지하수 함양량 등이 지하수위의 시계열에 미치는 영향을 분석할 필요가 있다.
유효 주성분 3개의 인자 적재값을 이용한 군집분석 결과, 과반수의 관측정(동부 및 남부 전반의 관측정 및 일부 북부 관정)이 군집 1에 속하여 계절적 특성과 강우가 지하수위 변동에 큰 영향을 미치는 특성을 보였다. 그러나 양수 또는 해수위, 인근 하천 및 저수지 등의 외부적인 영향을 받는 주성분 2, 3의 적재값이 높은 군집 2에 속하는 관측정들은 주로 서부지역 해안에 분포하고 있어, 이는 제주도에서 무강수일이 지속되어 지하수 이용량이 급증하게 되면 서부지역의 경우 해수침투 및 지하수위 고갈의 문제가 발생할 가능성이 다른 지역에 비해 높을 것으로 해석할 수 있다. 또한 군집 2에 속하는 서부의 관측정은 해안선으로부터 최대 5.8 km 이상 위치하고 있기 때문에 해안지역뿐만 아니라 내륙에 위치한 지하수 관정의 피해도 상당할 것으로 예상된다.
이러한 지하수위의 변동 및 분포가 관측정별로 상이하게 나타나는 수문지질학적 요인으로써 지하지질구조, 대수층의 발달 심도 및 수리적 특성, 지하수 함양량의 변화, 지하수 이용량, 피압층의 존재 유무 등을 들 수 있다. 주대수층 상부에 저투수층이 존재하여 가압되는 경우 강수에 대한 지하수위의 상승 반응이 느리며 수위 하강 발생 시 회복되는 속도 또한 느리게 나타난다. 또한 저투수층인 서귀포층이 이론적 담-염수 경계면보다 하부에 분포하여 수문지질학적 방벽의 역할을 하지 못하는 경우 지하수위 하강에 따른 염수침입에 취약할 것으로 예상된다. 한편, 서부지역과 같이 이론적인 Ghyben-Herzberg 비(1:40)에 부합하는 심도에 저투수층(서귀포층)이 발달되어 이상적인 담수 렌즈 형태를 이루더라도, 갈수기에 과도한 농업용수 취수로 인해 지하수위 하강 및 담-염수 경계면의 변동으로 염수침입이 발생할 수 있다. 그러므로 효율적인 염수침입 방지를 위해서는 지속적인 지하수위 모니터링 및 관리가 필요할 것이다.
본 연구는 교육부의 한국연구재단 기초연구사업(NRF-2021R1A6A3A01086484)과 2022학년도 부산대학교 신임교수연구정착금의 지원을 받아 수행되었습니다.
This Article2022; 27(6): 22-36
Published on Dec 31, 2022
Services
Correspondence toResearch Institutes of Applied Science, Catholic University of Pusan, Busan 46252, Korea