
Seung-Hyun Lee1·Jong-Hwan Lee1·Woo-Chun Lee2·Sang-Woo Lee2·Soon-Oh Kim1*
1Department of Geology and Research Institute of Natural Science (RINS), Gyeongsang National University, Jinju 52828, Korea
2HS Environmental Technology Research Center, Hosung Inc., Jinju 52818, Korea
이승현1·이종환1·이우춘2·이상우2·김순오1*
1경상대학교 지질과학과 및 기초과학연구소(RINS)
2(주)호성 HS환경기연구소
This article is an open access article distributed under the terms of the Creative Commons Attribution Non-Commercial License (http://creativecommons.org/licenses/by-nc/4.0) which permits unrestricted non-commercial use, distribution, and reproduction in any medium, provided the original work is properly cited.
Soil health can deteriorate through both contamination and remediation. Accordingly, revitalization processes are needed to reuse or recycle the remediated soil. The study was conducted to assess the changes in soil health parameters of heavy metals-contaminated soil during soil washing process. In addition, unit processes were proposed to improve the quality of the remediated soil relevant to its reclamation purposes, such as agricultural and forest lands. A total of 21 indicators were used to determine whether the soil health was degraded or recovered. The performance of 6 amendments in improving soil health was quantitatively evaluated according to their dosage and application duration. Finally, the experimental results were assessed by simple regression analyses to determine the statistical significance and relative performance of each amendment. The results indicated that 18 health indicators out of 21 deteriorated through the soil washing process. Based on the results, it is recommended that several effective amendments be complementarily combined and applied in real applications because use of single amendment does not likely improve the quality of remediated soils.
Keywords: Heavy metal contaminated soil, Soil washing, Soil health, Recycling, Reuse
깨끗한 물, 좋은 작물과 같은 인간에게 필수적인 자원을 얻기 위해서는 건강한 토양이 필요하다. 토양은 식물의 성장과 물의 저장 및 정화, 영양소 순환 등과 같은 중요한 생태학적 기능을 수행한다. 따라서 건강한 토양은 인간이 건강한 삶을 영위하는데 있어 필수적이다(Muñoz-Rojas, 2018; Pereira et al., 2018). 하지만 오늘날 무분별한 경작 및 산업 활동, 도시화 같은 인위적인 활동으로 인하여 토양 오염이 발생하고 토양 건강성의 저하가 발생하는 문제가 대두되고 있으며, 이에 따라 토양의 생산기능 등과 같은 주요한 기능이 상실되거나 저하되고 있다(Wienhold et al., 2004; Sharma and Raju, 2013; Obiri- Nyarko et al., 2021). 또한 토양 내 오염물질은 지하수로 유출되거나 농작물에 유입되어 먹이사슬을 통하여 인체에 위해를 가할 수 있다(Jaishankar et al., 2014). 오염에 따른 위해성의 증가, 토양 기능 저하 등과 같은 문제를 해결하기 위하여 다양한 정화기술의 개발과 더불어 개량제 첨가 등을 통한 토양 건강성 회복을 위한 연구가 이루어져 왔다(Shi et al., 2009; Awasthi et al., 2022).
지금까지 개발된 오염토양 처리기술들은 처리원리에 따라 물리화학적, 생물학적, 열적 기술 등으로 구분할 수 있다. 다양한 토양오염물질 중 한 종류인 중금속은 낮은 농도로도 위해를 끼치며, 자연적으로 생분해되지 않아 토양 내 오랫동안 잔류하며 부정적인 영향을 미칠 수 있다(Jiang et al., 2017; Alaboudi et al., 2020). 중금속으로 오염된 토양의 처리는 중금속 오염물질의 이동성을 감소시켜 오염의 확산을 막거나, 토양에서 오염물질을 분리해 영구적으로 제거하는 등의 방법이 사용된다(Li et al., 2019). 고형화/안정화와 같은 중금속의 이동을 차단하는 방법으로 처리된 토양은 재사용(본 논문에서 재사용이란 재이용 및 재활용을 포괄한 용어임)에 제한적이지만, 토양 세척 등과 같은 기술을 이용하여 오염물질을 제거시킨 정화토는 좀 더 폭넓게 재사용될 수 있다(Raffa et al., 2021). 하지만 이러한 정화 공정을 거치면서 오염물질은 제거될 수 있지만 토양 건강성은 오염되기 이전 수준으로 회복되기는 힘들다. 특히 토양 세척 등과 같은 몇몇 기술은 정화과정을 거치면서 토양 건강성의 극심한 저하가 발생할 수 있다(Yang and Hodson, 2019; Zhang et al., 2022). 일반적으로 중금속 오염토양의 정화를 위하여 토양 세척 공정에서는 염산 등과 같은 산을 이용하기 때문에 정화 이후 토양 pH 감소, 토양 효소 활성도 저하, 토성의 변화, 영양소 손실 등과 같은 토양 건강성 지표들의 열화 현상이 발생할 수 있다고 알려져 있다(Yi and Sung, 2015; Liu et al., 2018). 따라서 토양 건강성은 오염과정뿐만 아니라 정화과정에서도 저하될 수 있다. 이렇게 토양 건강성이 저하되면 재사용 용도의 범위가 제한되며, 특히 농경지와 같은 생산적인 기능의 토양으로 재사용되기는 힘들다. 최근에는 토양 세척에 비해 토양 건강성의 저하를 최소화하는 친환경적인 정화 방법도 연구되고 있지만(Chibuike and Obiora, 2014; Wang et al., 2021), 빠른 처리 속도와 높은 효율성으로 인해 토양 건강성 저하에도 불구하고 토양 세척 등과 같은 기존의 정화기술이 여전히 많이 적용되고 있는 실정이다. 따라서 토양 세척 등과 같은 기술을 이용하여 정화된 토양의 재사용의 효용성을 증진시키기 위해서 정화토의 건강성 회복을 위한 기술개발이 필요할 것으로 판단된다.
본 연구에서는 토양 세척 정화토의 건강성을 증진시켜 다양한 용도로 재사용하기 위한 요소 회복기술을 개발하고자 수행되었다. 본 연구에서 정의한 요소 회복기술이란 토양의 건강성 회복을 위한 다양한 제제의 성능을 평가하기 위하여 각 제제별 투여량과 회복 기간에 따른 토양 건강성의 회복 수준을 정량화하는 기술이다. 연구대상 제제로는 토양 개량제로 많이 사용되는 제제 중 세척 후 저하된 건강성 회복에 효과적이라고 예상된 6종을 선정하였으며, 제제의 기원에 따라 크게 유기질 제제(퇴비, 바이오차), 무기질 제제(제올라이트, 석회고토), 생물학적 제제(분변토, 클로렐라)로 분류하였다. 토양 세척 처리 후 토양에 6종의 제제를 투여하여 토양 건강성 지표별 회복 효과를 정량적으로 평가하였으며, 각 제제의 효과를 종합적으로 평가하여 회복성능이 우수한 제제를 선정하였다.
2.1. 오염토양 및 토양 세척 공정
본 연구에서 사용된 토양은 경기도 D시 소재의 폐사격장 부지에서 채취하였으며, 토양 내 존재하는 탄환(탄두와 탄피)이 오염원으로 작용하여 이로부터 기인한 중금속 오염이 발생한 것으로 확인하였다(Lee et al., 2021). 또한 오염으로 인한 토양 건강성 변화를 관찰하기 위해 오염토양 채취 지점 근처의 오염되지 않은 토양을 채취하였다. 채취된 토양 시료는 왕수를 이용하여 추출한 다음 유도결합 플라즈마 분광 분석기(ICP-OES, iCAP7400, Thermo Fisher)를 통해 중금속의 농도를 측정하였다. 측정 결과 납은 1,034 mg/kg으로 토양환경보전법에 명시된 1지역 대책기준(600 mg/kg)을 초과하였고, 구리 또한 170 mg/kg으로 1지역 우려기준(150 mg/kg)을 초과하였다.
중금속 제거를 위해 토양 세척 공정을 적용하였으며, 다음과 같이 진행되었다. 먼저 토양의 점토질(clay) 함량이 높은 경우 토양의 표면적이 넓고 투과성이 낮아 중금속의 효과적인 분리가 어렵기 때문에 0.075-2 mm 크기의 입자만을 선별하였다. 세척 용액은 3% 염산을 사용하여 중금속의 이동성을 증가시켜 분리하였다(Liu et al., 2022). 12시간 동안 세척한 후 염산으로 인해 극도로 낮아진 pH의 중화를 위해 청수를 이용하여 3회 세척하였다.
2.2. 토양 건강성 평가 지표 및 평가 기준
토양 건강성의 저하 및 회복 여부를 정량화하기 위해선 적합한 평가 지표가 필요하다. 본 연구에서는 물리화학적 지표 10항목, 비옥도 지표 4항목, 토양 효소 지표 7항목으로 총 21항목을 선정하여 분석하였다. 물리화학적 지표로서 수분보유력(water holding capacity, WHC), 토성(texture), 입단 안정도(aggregate stability), pH, 전기 전도도(electrical conductivity, EC), 치환성 Na+, K+, Mg2+, Ca2+(exchangeable (Ex-) Na+, K+, Mg2+, Ca2+), 양이온 교환능(cation exchange capacity, CEC) 등의 항목이 분석되었다. 비옥도 지표는 토양 유기물(soil organic matter, SOM), 총질소(total nitrogen, T-N), 질산태 질소(nitrate nitrogen, NO3-N), 유효인산(available phosphate, Av. P) 등의 항목이 분석되었으며, 토양 효소 지표는 β-gluco- sidase (BG), N-acetyl-β-glucosaminidase (NAG), urease (URE), acid phosphatase (ACP), alkaline phosphatase (ALP), arylsulfatase (ARS), dehydrogenase (DHA) 등의 항목을 포함하였다. 이러한 21개 항목에 대한 분석 방법을 Table 1에 제시하였다.
토양 건강성의 저하 여부에 대한 판단은 토양의 용도에 따라 상이하므로, 본 연구에서는 농경지와 임야 용도에 대한 건강성 적합여부를 판단하였다. 농촌진흥청(RDA)과 국립산림과학원(NiFoS)에서 제시한 농경지와 임야 용도에 대한 토양 특성 권고치를 판단기준으로 사용하였으며(Table 2), 권고치가 없는 항목은 비오염토의 특성값을 판단기준으로 하였다.
2.3. 요소 회복기술 적용
앞서 제시하였듯이, 본 연구에서 요소 회복기술이란 저하된 토양 건강성의 회복을 위해 단일 제제를 투여하여 투여량과 회복 기간에 따른 회복 수준을 평가하는 기술로 정의하였다. 연구대상 제제를 선정하기 위하여 농업분야에서 주로 사용하여 구하기 쉽고 생태 독성이 낮은 제제들을 우선적으로 고려하였다. 선정된 제제는 총 6종으로 각 제제의 기원에 따라 유기질 제제(2종), 무기질 제제(2종), 생물학적 제제(2종) 등으로 구분하였다. 유기질 제제는 유기물 증대와 영양분 공급 목적으로 사용하였으며, 퇴비와 바이오차가 여기에 속하였다. 적용된 퇴비는 돈분(40%), 계분(15%), 톱밥(37%)등으로 이루어져 있으며, 바이오차는 왕겨를 사용하여 만들어졌다. 무기질 제제로는 제올라이트와 석회고토를 사용하였으며, 물리화학적 특성의 증대에 효과가 높을 것으로 예상하였다. 제올라이트는 100% 천연제올라이트가 사용되었으며, 석회고토는 가용성 고토(51%)와 알칼리분(14%)으로 이루어진 제제를 적용하였다. 생물학적 제제로 분변토와 클로렐라를 선정하였으며, 유기물과 토양 효소 활성도의 향상을 기대하였다. 분변토는 지렁이의 먹이로 유기물을 사용해 제조되었으며, 클로렐라 원료분말 99%로 이루어진 클로렐라가 적용되었다. 각 제제별 기본 특성을 Table 3에 제시하였다.
각 제제의 투여량에 따른 회복 수준을 확인하기 위해 각 제제의 투여량을 1.0, 2.5, 5.0, 7.5, 10.0% 등으로 구분하였으며, 투여한 후 토양 최대 수분보유력의 50%의 수분함량을 유지하였다. 따라서 시료는 대조군을 포함하여 총 31개로 제제 투여 후 2, 6, 10주의 회복 기간이 지난 뒤 3회에 걸쳐 토양시료를 채취하여 오븐에서 건조한 후 각 토양 건강성 지표별 항목들을 분석하였다. 이때 각 제제별로 기대되는 회복 효과가 다르기 때문에 제제별 분석 항목이 상이하였다. 총 21가지 항목 중 유기질 제제와 생물학적 제제는 토성을 제외한 모든 항목을 분석하였고, 무기질 제제의 경우에는 물리화학적 지표(10항목)과 토양 유기물 등 총 11항목만을 분석하였다. 모든 분석은 삼중 시료를 이용하여 수행되었고, 이에 따른 모든 분석 결과는 평균값과 표준편차로 제시하였다.
2.4. 통계 분석
요소 회복기술 적용 결과를 바탕으로 각 제제별 회복 수준을 비교하기 위해 단순회귀분석(simple regression analysis)을 진행하였다. 단순회귀분석이란 독립변수 및 종속변수 간의 선형관계에 대한 분석을 말하며, 식 (1)에 따라 통계를 진행하였다.

이 식에서 독립변수 xi는 투여량을, 종속변수 yi는 토양 특성값을, β1는 회귀식의 기울기(회귀계수)를 나타낸다. 통계분석 이후 특성별 회복 수준의 판단 방법은 우선 기울기가 유의미한지 확인해야 한다. p-value ≤ 0.05일 경우 유의미하다고 판단하였으며, 즉, 제제 투여에 따른 회복 효과가 있다고 판단하였다. 이러한 유의미한 기울기를 나타내는 제제 중 기울기 값이 클수록 제제의 회복 효과가 크다고 판단하였으며, 기울기 값에 따라 회복 효과에 대한 제제별 순위를 산출하였다.
|
Table 2 The criteria of soil quality standards for agricultural and landscape (forest field) uses |
3.1. 토양세척 공정 이후 토양의 특성 변화
3.1.1. 중금속 농도의 변화
토양 세척 적용 이후 토양 내 중금속 농도는 효과적으로 감소하였다. 납의 경우 정화 전 초기농도인 1,034 mg/kg에서 1지역 우려기준(200 mg/kg) 이하인 194 mg/kg으로 감소하였고, 구리 또한 세척 후 74 mg/kg으로 1지역 우려기준(150 mg/kg)보다 낮은 농도임을 확인하였다. 따라서 토양 내 중금속의 농도는 토양의 재사용이 가능한 수준으로 보인다. 효율적인 중금속 제거가 이루어진 이유는 pH가 낮은 세척 용액의 사용으로 흡착된 중금속의 이동성이 증가하여 중금속이 탈착되었기 때문이다(Zhai et al., 2018).
3.1.2. 물리화학적 지표의 변화
중금속으로 오염되기 전의 비오염토(non-contaminated soil, NS), 중금속 오염토(contaminated soil, CS), 토양 세척 정화토(remediated soil, RS)의 각 특성값을 Table 4에 정리하였다. 2.2절에서 언급하였듯이, Table 4에서 제시한 회복의 필요성은 정화토(CS)의 각 특성이 Table 2의 농촌진흥청과 국립산림과학원에서 제안한 농경지와 임야 용도의 토양 특성 권고치를 기준으로 판단하였다. 기준이 없는 특성에 대하여는 비오염토(NS)의 값을 기준으로 회복 필요성을 판단하였다. 물리화학적 지표의 경우 10항목 중 입단 안정도와 전기 전도도를 제외한 8항목 특성이 저하되어 회복이 필요한 것으로 판단하였다. 입단 안정도는 세척 이후 감소하였지만 비오염토에 비해 높은 값을 보여 회복이 필요하지 않다고 판단하였으며, 전기 전도도는 비오염토 및 오염토와 비교하여 세척 이후 크게 증가하였지만 농경지 및 임야 권고기준을 만족하기 때문에 마찬가지로 회복이 필요하지 않는 것으로 판단하였다. 주목할 만한 토양 건강성 저하로는, 첫 번째 염산 사용에 따른 토양 pH의 극심한 저하이다(Yang and Hodson, 2019). pH는 비오염토와 오염토를 비교하였을 때 큰 변화가 나타나지 않았지만, 세척 과정으로 인해 토양이 산성화되어 건강성 회복이 필요한 것으로 판단된다. 두 번째로는 토양 세척 공정으로 중금속 제거 효율을 증가시키기 위한 세립질(75 μm 이하) 토양을 제거한 것이며, 이로 인해 비오염토 및 오염토의 토성인 사양토(sandy loam)에서 세척 이후 양질사토(loamy sand)로 변하면서 모래 함량이 증가한 것으로 확인된다. 이러한 토성의 변화와 연계하여 수분보유력 및 양이온 교환능 등 다른 특성들도 변화를 보였다(Arthur et al., 2011). 수분보유력은 오염 및 정화과정을 거쳐 지속적으로 감소하였으며, 치환성 양이온 및 양이온 교환능은 비오염토와 비교하였을 때 오염 이후 증가하거나 유지하였으나 세척 이후에는 모두 감소하여 회복이 필요하다.
3.1.3. 비옥도 지표의 변화
토양 세척 이후 비옥도 지표에 속하는 4항목 모두 회복이 필요한 것으로 확인되었다(Table 4). 토양 유기물은 비오염토에 비해 오염토에서 함량이 급격하게 감소하였으며, 토양 세척 공정 동안의 추가적인 감소도 관찰되었다. 토양 세척 이후 토양 유기물의 감소가 나타난 이유는 세척 과정 동안 토양 내 유기물이 용해되어 분리되었기 때문이며, 다른 연구에서도 유사한 결과가 보고되었다(Yi and Sung, 2015). 토양 내에 존재하는 질소(N)와 인(P)은 작물의 성장을 돕는 필수적인 영양소 중 하나로 알려져 있다(Assefa and Tadesse, 2019). 총질소와 유효인산은 오염 과정과 세척 공정을 거치며 함량이 계속해서 감소하여 권고기준을 만족하지 못하였기 때문에 재사용을 위해서는 증진이 필요한 것으로 판단된다. 반면에 토양에서 식물이 직접적으로 사용할 수 있는 질소의 형태인 질산태 질소의 경우에는 오염토 대비 토양 세척 후 19.6 mg/kg 정도의 농도가 증가하였다. 하지만 비오염토와 비교하면 정화 이후에도 250 mg/kg 정도 감소하여 비오염토의 수준에는 훨씬 미치지 못하여 회복이 필요한 것으로 판단하였다.
3.1.4. 토양 효소 지표의 변화
토양 효소란 토양 내에서 영양소 순환 등의 중요한 역할을 수행하는 촉매제로, 미생물에서 분비된다고 알려져 있다(Xian et al., 2015). 토양 효소 지표는 세척 이후 arylsulfatase(ARS)를 제외한 6항목이 재사용을 위해서는 회복이 필요한 것으로 확인되었다(Table 4). Arylsulfatase는 세척 이후 활성도가 감소하였지만 판단기준인 비오염토와 비교하여 큰 변화가 없기 때문에 회복이 필요하지 않는 것으로 판단하였다. Arylsulfatase 이외의 효소는 모두 비오염토와 비교하여 중금속 오염 이후 활성도가 감소하였다. 이 중 dehydrogenase를 제외한 효소는 세척 과정을 거치며 활성도가 지속적으로 감소하여 회복기술의 적용이 필요한 것으로 보인다. Dehydrogenase는 세척 이후 활성도가 증가하였지만 판단기준인 비오염토에는 미치지 않아 회복이 필요한 것으로 판단하였다. 세척 이후 많은 효소에서 활성도 감소가 나타난 것은 토양의 낮은 pH가 원인이 되었을 것으로 판단된다. 극도로 낮은 pH는 미생물에 부정적인 영향을 미치며, 이는 토양 효소 활성도의 감소로 이어진다고 보고되었다(Puissant et al., 2019). 따라서 토양 효소 지표의 회복을 위해서는 pH 회복도 함께 이루어져야 할 것으로 판단하였다.
3.2. 요소 회복기술 적용 결과
3.2.1. 회복기술 적용 후 물리화학적 지표의 개선 효과
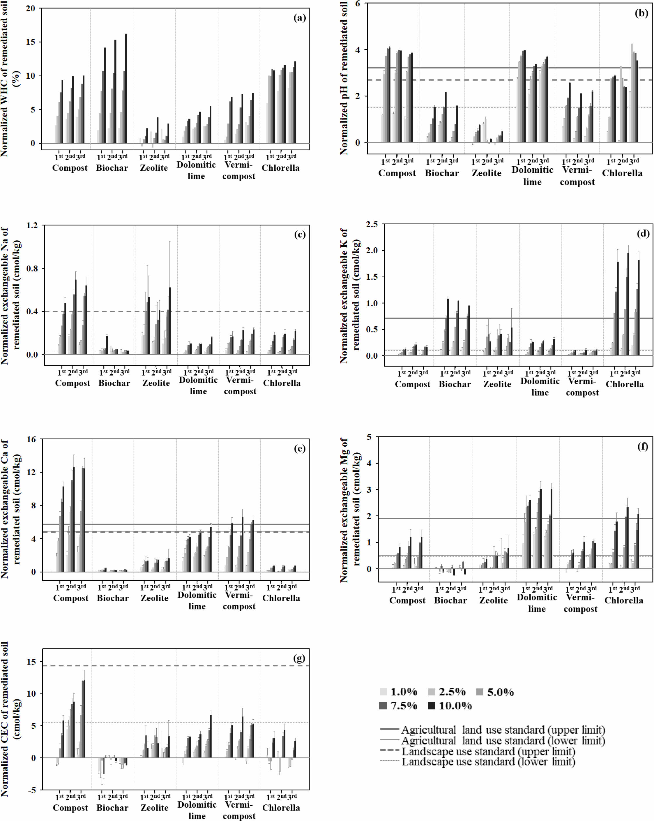
요소 회복기술 적용 후 회복이 필요한 물리화학적 지표에 속하는 항목들로는 수분보유력, 토성, pH, 치환성 양이온 4항목, 양이온 교환능으로 총 8항목이었다. 토성을 제외한 특성은 대조군을 기준으로 증감율을 그래프로 나타내 Fig. 1에 도시하였으며, 토성은 삼각도표에 표시하여 Fig. 2에 도시하였다.
수분보유력은 식물 성장에 있어 필수적인 물의 보유와 관련된 특성이다. 수분보유력의 증가는 퇴비, 바이오차, 클로렐라의 효과가 높은 것으로 보인다(Fig. 1a). 퇴비와 바이오차를 투여하였을 때 높은 수분보유력의 증가를 보이는 것은 제제 자체의 높은 수분보유력이 영향을 미친 것으로 판단되며, 클로렐라의 경우 높은 유기물 함량에 의한 것으로 예상된다. 특히 퇴비와 바이오차는 큰 공극률에 의해 수분보유력의 증가에 효과적인 것으로 다양한 문헌에서 보고되었다(Khorram et al., 2019; Cooper et al., 2020; Kranz et al., 2020). pH는 토양 내에서 영양소 순환, 식물 성장, 미생물 활동 등 많은 영향을 미치는 인자로 적절한 범위를 유지하는 것이 중요하다(Neina, 2019). 토양 세척 공정을 거치면서 산성화된 토양의 pH 증가에는 석회고토, 퇴비, 클로렐라 순으로 효과가 높은 것을 확인하였다(Fig. 1b). 특히 석회고토는 토양의 pH 증진 효과가 큰 것으로 나타났다. 이러한 이유 때문에 석회고토는 산성화된 토양의 개량을 위하여 흔히 사용된다(Higgins et al., 2012; Altland and Jeong, 2016; Bos- solani et al., 2020; Serrano et al., 2020). 토양 내의 치환성 양이온은 제제 내에 존재하는 양이온의 종류에 따라 회복 양상이 다양하게 나타났다(Figs. 1c-f). 제제 자체의 이온 함량이 높으면 토양에 적용하였을 때 해당 이온의 증가가 높게 나타났으며, 특정 경우에는 과도하게 투여하면 기준의 상한을 초과할 우려가 있는 것이 확인되었다. 양이온 교환능의 경우 퇴비가 가장 효과적이고 분변토와 석회고토의 효능이 유사한 것으로 나타난다(Fig. 1g). 제제 자체의 양이온 교환능 특성을 살펴보면, 분변토가 가장 큰 양이온 교환능을 보이는 것으로 조사되었으나(Table 3), 정화토의 개선효과는 상대적으로 양이온 교환능이 더 작은 석회고토가 우수한 것으로 나타났다. 이는 제제 자체의 양이온 교환능뿐만 아니라 제제 투여 후 제제와 토양과의 상호반응이 개선 효과에 영향을 미치는 것으로 추정된다.
토성의 경우 제올라이트와 석회고토 모두 세립질 토양의 비율 증가에 미미한 영향을 미쳤다(Fig. 2). 두 제제 적용 결과 점토 함량의 증가는 거의 없었으며 모두 1% 미만에 머무른 것으로 나타났다. 실트 함량의 경우 석회고토는 함량의 변화가 크게 나타나지 않았으며, 제올라이트를 투여하였을 때 최소 15%에서 최대 23% 정도까지 증가한 것으로 나타났지만 토성의 유의미한 변화로 이어지진 않았다. 이는 사용된 제제의 세립질 입자 함량이 크지 않았기 때문으로 판단된다(Table 3). 실제 현장 적용에 있어서는 쉽게 구할 수 있고 세립질 함량이 높은 깨끗한 실트질 내지 점토질 토양을 활용하여 정화토의 토성을 개선하는 것이 경제적이고 효과적일 것으로 판단된다.
3.2.2. 회복기술 적용 후 비옥도 지표의 개선 효과
요소 회복기술 적용에 따른 토양 비옥도 지표 4항목의 증감율을 Fig. 3에 도시하였다. 토양 유기물은 식물의 성장, 수분보유력 증가, 토양의 구조 개선 등 다양한 역할을 수행하기 때문에 중요하다(Karami et al., 2012). 토양 유기물 함량의 증진을 위해 각 제제를 투여한 결과, 클로렐라와 퇴비의 효과가 높은 것으로 나타났다(Fig. 3a). 이는 제제 자체의 높은 유기물 함량을 반영한 것으로 보인다(Table 3). 질소와 인은 작물의 생산에 필수적인 영양소로 토양 비옥도에 영향은 미치는 주요한 인자이다(Demir, 2019; Zhu et al., 2020). 총질소는 토양 내 모든 형태의 질소의 함량을 나타낸다. 총질소는 클로렐라를 투여하였을 때 가장 큰 폭으로 증가하였다(Fig. 3b). 이는 다른 제제에 비해 상대적으로 높은 클로렐라의 총질소 함량이 반영된 것이며, 클로렐라 다음으로 퇴비와 분변토의 증가율이 높고 바이오차의 효과가 가장 낮았다. 질산태 질소는 식물이 바로 사용할 수 있는 NO3 형태의 무기태 질소로 식물의 줄기, 잎 부분의 성장과 관련되어 있다(Assefa and Tadesse, 2019). 질산태 질소의 증가는 클로렐라, 퇴비 순으로 높게 나타났다(Fig. 3c). 유효인산은 식물이 직접적으로 이용 가능한 인을 나타내며, 클로렐라, 분변토, 퇴비를 적용하였을 때 개선 효과가 큰 것으로 조사되었다. 이때 제제의 투여량이 증가할수록 유효인산 함량의 증가 폭이 커지며 농경지 기준의 상한값을 초과하기도 하는 것으로 나타났다. 총질소 및 유효인산의 경우 퇴비, 분변토, 클로렐라 등을 과다하게 투여하게 되면 주변 수계환경으로의 유출을 통한 부영양화 등과 같은 악영향을 초래할 수 있기 때문에 이러한 사항을 고려해서 사용량을 제한할 필요가 있을 것으로 판단된다. 종합적으로 살펴볼 때 비옥도 지표의 개선 효과는 클로렐라가 가장 크게 나타났으며, 바이오차의 효과는 상대적으로 미미한 것으로 확인되었다. 이는 바이오차가 토양 비옥도 증진에 효과적이라는 이전의 연구 결과와는 상반된 결과이다(Bai et al., 2015; Glaser et al., 2015). 이러한 이유는 바이오차는 여러 종류의 바이오매스를 다양한 조건으로 열분해하여 만들어지기 때문에 종류별로 특성의 차이가 크기 때문인 것으로 판단된다. 본 연구에서 사용된 바이오차는 다른 제제에 비해 상대적으로 질소와 인과 같은 영양소 함량이 낮기 때문에(Table 3), 이와 같이 비옥도 지표의 개선에 저조한 효과가 나타난 것으로 판단된다.
3.2.3. 회복기술 적용 후 토양 효소 지표의 개선 효과
토양 효소의 활성도는 영양소 순환에 중요한 역할을 하며, 많은 효소들이 유기물 분해와 무기화 과정에 영향을 미치는 것으로 알려져 있다(Alkorta et al., 2003; Dindar et al., 2015; Xian et al., 2015). 유기질 제제와 생물학적 제제 등 총 4종의 토양 효소 지표의 회복 효과를 비교 평가하였다(Fig. 4). b-glucosidase와 N-acetyl-b-glu- cosaminidase는 탄소와 질소 순환에 영향을 미치는 효소들이며(Ekenler and Tabatabai, 2004; Sinsabaugh and Follstad Shah, 2012), 클로렐라의 회복 효과가 타 제제에 비해 월등한 것으로 나타났으며, 그 외 퇴비의 개선 효과가 확인되었다(Figs. 4a and b). Urease는 요소(urea)를 분해하는 효소로 질소 순환과 관련되어 있으며(Sinsabaugh and Follstad Shah, 2012), 클로렐라와 퇴비의 효과가 타 제제에 비해 두드러지게 나타났다(Fig. 4c). 동위효소인 acid phosphatase와 alkaline phosphatase는 모두 인의 무기화에 기여하는 효소이며(Dick, 1984; Eivazi and Tabatabai, 1997), 클로렐라, 퇴비, 분변토 모두 효과가 높게 나타났다(Figs. 4d and e). Dehydrogenase는 토양환경에서의 미생물 활성도 및 산화성 대사 작용에 대한 지표로 사용되는 효소로 클로렐라의 효과가 가장 높게 나타났다(Fig. 4f). 종합적으로 토양 효소의 활성도를 회복시키는데 클로렐라와 퇴비가 효과적인 것으로 나타났으며(Skujins, 1978; Nannipieri et al., 1990), 제제 자체의 높은 영양소와 유기물 함량이 효소 활성도 증가에 도움을 준 것으로 보인다(Karami et al., 2012).
3.3. 통계분석 결과
요소 회복기술 적용 결과를 바탕으로 물리화학적 특성 6항목(수분보유력, 양이온 교환능, 치환성 Na+, K+, Mg2+, Ca2+), 비옥도 특성 4항목(토양 유기물, 총질소, 질산태 질소, 유효인산), 토양 효소 특성 6항목(BG, NAG, URE, ACP, ALP, DHA)에 대해 회귀분석 적용 결과를 Table 5에 나타내었다. 특성별로 p-value가 0.05 이상인 유의성이 없는 제제를 제외하고 기울기 값이 큰 순서대로 회복 효과가 높다고 판단하였다.
수분보유력(WHC)의 경우 바이오차의 효과가 유의성 있게 가장 높게 나타났으며, 다음으로 퇴비와 클로렐라의 효과가 높은 것으로 확인되었다. 양이온 교환능의 경우 퇴비, 분변토, 석회고토 순으로 기울기 값이 크게 나타나 효과가 높은 것으로 판단되었다. 치환성 Na의 경우 퇴비, 제올라이트 분변토 순으로 효과가 좋았으며, 치환성 K는 클로렐라, 바이오차, 제올라이트 순으로 기울기 값과 유의성이 높았다. 치환성 Mg는 석회고토, 클로렐라, 퇴비 순으로 효과적이었으며, 치환성 Ca는 퇴비, 분변토, 석회고토 순으로 효과 및 유의성이 높게 나타났다. 종합적으로 물리화학적 특성의 회복에는 퇴비, 석회고토, 분변토의 효과가 높은 것으로 판단된다.
토양 유기물의 경우 클로렐라, 퇴비, 분변토 순으로 기울기가 컸으며, 유의성도 높았다. 이외의 비옥도 인자인 총질소와 유효인산 또한 클로렐라의 효과가 가장 높았으며, 퇴비와 분변토 또한 회복수준이 높은 것으로 확인되었다. 마지막으로 질산태 질소의 경우 유의성이 없는 제제를 제외하면, 분변토만이 유의성이 있는 것으로 나타났다. 종합적으로 비옥도 특성에 클로렐라가 가장 효과가 높은 것으로 보이며, 이에 반해 바이오차는 효과가 미미한 것으로 확인되었다.
토양 효소 특성의 경우 종합적으로 보았을 때 클로렐라의 회복 효과가 가장 높게 나타났다. Urease와 alkaline phosphatase를 제외한 특성은 클로렐라, 퇴비, 분변토 순으로 효과가 좋았으며, urease와 alkaline phosphatase는 퇴비, 클로렐라, 분변토 순으로 효과적이었다. 따라서 클로렐라, 퇴비, 분변토 순으로 효소 활성도 회복에 효과가 좋았으며, 바이오차는 모든 토양 효소에 적용되었을 때 유의성이 없는 것으로 나타났다.
결과적으로 토양 세척 후 저하된 토양 건강성의 회복에 가장 효과적인 제제는 클로렐라로 판단된다. 클로렐라가 효과가 높았던 이유는 자체적으로 높은 유기물 함량을 가지고 있는 것이 큰 영향을 미쳤을 것이라고 예상된다. 이로 인해 토양세척 정화과정을 거치면서 토양으로부터 손실된 영양소를 공급해 주고 효소 활성도 증진에 크게 기여한 것으로 나타났다. 클로렐라 다음으로 퇴비와 분변토 순으로 효과가 높았으며, 상대적으로 무기질 제제의 경우 회복 효과가 높지 않았는데, 제제 자체의 낮은 유기물이나 영양분 함량에 기인한 것으로 판단된다.
|
Fig. 1 The rate of increase or decrease of physicochemical properties according to dosage and recovery period after application of the amendment. (a) Water holding capacity (WHC), (b) pH, (c) exchangeable Na (Ex-Na), (d) exchangeable K (Ex-K), (e) exchangeable Mg (Ex-Mg), (f) exchangeable Ca (Ex-Ca), (g) cation exchange capacity (CEC). In x-axis, the first, second, and third periods mean after 2, 6, 10 weeks of treatment. |
|
Fig. 2 Changes in soil texture according to dosage and recovery period after application of the amendment. 2 (a), 6 (b), and 10 (c) weeks after zeolite application and 2 (d), 6 (e), and 10 (f) weeks after dolomitic lime application. |
|
Fig. 3 The rate of increase or decrease of fertility properties according to dosage and recovery period after application of the amendment. (a) Soil organic matter (SOM), (b) total nitrogen (T-N), (c) nitrate nitrogen (NO3-N), (d) available phosphate (Av.P). In x-axis, the first, second, and third periods mean after 2, 6, 10 weeks of treatment. |
|
Fig. 4 he rate of increase or decrease of soil enzyme properties according to dosage and recovery period after application of the amendment. (a) β-glucosidase (BG), (b) N-acetyl-β-glucosaminidase (NAG), (c) urease (URE), (d) acid phosphatase (ACP), (e) alkaline phosphatase (ALP), (f) dehydrogenase (DHA). |
|
Table 4 Properties of non-contaminated soil (NS), contaminated soil (CS), remediated soil (RS) and the determination of deteriorated properties to be recovered, based on the criteria of soil quality standards and the properties of NS |
* The criteria of soil quality standards for agricultural uses (RDA, 2022) |
|
Table 5 The significance and slope for each amendment estimated by the simple regression analysis according to soil property to be improved |
** p-value≤0.01, * p-value≤0.05 |
중금속 오염이 발생한 토양은 토양 세척공정을 통해 중금속을 효과적으로 제거할 수 있으나 이후 극심한 열화가 발생한다. 본 연구에서는 21항목의 특성을 사용하여 토양 건강성의 저하 여부를 확인하였으며, 그 결과 18항목의 특성에서 저하가 발생하였다. 이러한 극심한 건강성 저하가 발생한 토양을 재사용하기 위해서는 회복 기술을 적용하여 토양 건강성을 회복하는 과정이 필요하다. 따라서 요소 회복기술 적용 후 각 특성의 회복수준을 평가하였다. 퇴비와 바이오차 같은 유기질 제제는 유기물 증대와 영양소 공급의 목적으로 투여 되었으며, 투여 후 수분보유력 향상에 효과가 있는 것을 확인하였다. 또한 퇴비는 유기물 증대와 영양분 공급에 효과적이었으나, 바이오차는 큰 효과가 없는 것으로 확인되었다. 무기질 제제는 물리화학적 효과(토성, pH 등)의 증대를 위해 투여하였으나, 입상 형태의 제제를 투여하였기 때문에 토성의 큰 변화는 나타나지 않았다. pH의 증가는 석회고토가 가장 효과적인 것으로 나타났다. 생물학적 제제는 영양소 공급 및 토양 효소 활성도 증가 등의 목적으로 투여되었으며, 클로렐라 투여 후 유기물, 토양 효소 활성도 증대 등에 효과적인 것이 확인되었다.
이후 요소 회복기술 적용 결과를 바탕으로 단순회귀분석을 적용해 각 특성별로 어떠한 제제의 회복 효과가 높은지 수치로 확인하였다. 그 결과 물리화학적 특성은 퇴비, 석회고토, 분변토 순으로 효과적이었으며, 비옥도 특성과 토양 효소 활성도 증대에는 클로렐라, 퇴비, 분변토 순으로 효과가 높았다. 전반적으로 단일 제제로는 클로렐라가 가장 우수한 것으로 나타났지만, 모든 건강성 지표에 효과적이진 않았다. 따라서, 정화토의 건강성을 효과적으로 회복시키기 위해서는 각 건강성 지표의 증진에 우수한 제제들을 적절하게 조합하여 상호 보완적으로 적용하는 것이 바람직할 것으로 판단된다. 본 연구결과를 바탕으로 비옥도와 토양 효소 활성도 지표 증진에 우수한 클로렐라와 물리화학적 지표 회복에 우수한 퇴비, 석회고토 등을 적절한 투여량으로 조합하여 적용한다면 정화토의 건강성을 효과적으로 회복하여 생산적인 용도로의 재사용이 가능할 것으로 기대된다.
본 연구는 환경부의 재원으로 환경산업기술원(KEITI)의 사업 지원을 받아 연구되었다(과제번호: 2020002480002).
This Article2023; 28(5): 36-50
Published on Oct 31, 2023
Services
Correspondence to1Department of Geology and Research Institute of Natural Science (RINS), Gyeongsang National University, Jinju 52828, Korea