
Kim Naeun1·Lee Heuiyun2·Kwon Gihoon1·Song Hocheol1*
1Department of Earth Resources and Environmental Engineering, Hanyang University, Seoul 04763, Republic of Korea
2Department of Environment and energy, Sejong University, Seoul 05006, Republic of Korea
김나은1·이희연2·권기훈1·송호철1*
1한양대학교 자원환경공학과
2세종대학교 환경에너지융합학과
This article is an open access article distributed under the terms of the Creative Commons Attribution Non-Commercial License (http://creativecommons.org/licenses/by-nc/4.0) which permits unrestricted non-commercial use, distribution, and reproduction in any medium, provided the original work is properly cited.
Continuous increase of domestic meat consumption has inevitably increased generation of livestock manure and caused severe environmental impacts on ecosystem and human beings. This work produced biochar from cattle manure samples with different composting aging stages and investigated the properties of the produced biochar. The result of thermogravimetric analysis showed that thermal decomposition of the manure initiated at <600oC. The biochar yield was higher for the manure with a longer pre-composting period due to the elimination of microbially metabolized carbons during composting process. The result of FT-IR analysis showed that the number of surface functional groups were reduced during pyrolysis while enhancing the graphitic structures of the carbon framework. Manure samples tended to leach out N and P in leaching tests, with its amount higher for aged one than fresh one. However, their leaching was substantially suppressed when the manure was produced into biochar. In XPS spectra, it was found that N and P in the manure incorporated into biochar surface to form N-doped graphitic carbon and P-N-moieties, respectively. The findings of this work suggest that the thermochemical process can be of a viable option to valorize into biochar for potential environmental applications as well as to alleviate undesired nutrients loading to the environment.
Keywords: 가축분뇨, 바이오차, 부영양화, 열분해, N-doped graphitic carbon
한국 육류 수요가 증가함에 따라 국내 가축사육 두수 또한 증가하고 있다(축산물품질평가원 2021). 2022년 농축산부 주요통계에 따르면 2021년 기준 국내 가축사육 두수는 1억 9천만 마리 이상이며, 1990년 대비 한우는 약 2.8배, 돼지 2.5배, 닭 2.4배 증가하였다(농림축산식품부 2022). 축산업 성장은 환경오염을 유발하는 가축분뇨 발생 증가를 수반하며, 이를 처리하기 위한 효과적인 방안을 요구하고 있다. 기존에는 가축분뇨 퇴∙액비화 공정을 통해 화학비료를 대체할 수 있는 비료로 자원화 하는 방법이 널리 사용되었다. 실제로 현재 국내 가축분뇨 89.6%를 퇴∙액비화 공정을 통해 처리하고 있다(이용건 2022). 하지만, 이러한 공정은 특정지역에서 부영양화, 악취관련 문제를 일으켜 지역사회의 문제가 되고 있고, 가축분뇨가 호기성 미생물에 의해 부숙되는 과정에서 발생하는 암모니아와 이산화탄소 또한 암모늄 이온으로 남거나 공기중으로 배출되어 환경적 문제를 일으키고 있다(박백균 2000; Chang 1971). 조사에 따르면, 국내 암모니아 배출 중 79.2%가 농업분야에서 발생하고 있으며, 그 중 92.7%가 가축분뇨 처리과정에서 발생하고 있다(박소연 et al., 2022). 이는 가축분뇨의 자원화 공정이 개방식/부분 개방식 시스템인 점, 암모니아가 2차 초미세먼지(PM2.5) 전구체로 작용한다는 점 등을 고려하였을 때 암모니아 배출을 저감하기 위한 새로운 기술이 필요하다는 것을 의미한다(Lehtipalo et al., 2018).
한편, 매년 증가하는 가축분뇨 유래 비료 공급을 받쳐줄 국내 경작지가 2013년 17만 헥타르에서 2019년 15만 헥타르로 점차 감소하고 있어 비료 수요는 점차 감소할 것으로 예상된다(농림축산식품부 2023). 지속적인 가축분뇨 생산 증가와 비료 수요 감소, 퇴∙액비화의 환경적인 문제들을 고려하였을 때 가축분뇨 처리과정에서 퇴∙액비화 과정을 줄이고 정화 처리하는 방식을 확대하거나, 바이오차, 바이오가스 등과 같은 고부가가치 물질로 전환하는 기술이 필요하다. 현재 가축분뇨를 생물학적 공정을 통해 바이오가스로 전환하는 기술이 연구되고 있으며 2021년 기준, 가축분뇨를 처리할 수 있는 56개소 시설에서 바이오가스 생산 실증 연구를 수행하고 있다(환경부 2021). 하지만, 바이오가스 생산 산업은 초기 시설투자비용이 높고 낮은 매전단가 등으로 어려움을 겪고 있다(배우근 2012). 생물학적 공정을 통한 바이오가스 생산 중 가축분뇨 내 탄소가 미생물 생장, 이산화탄소 발생 등으로 소모되어 자원 전환율이 낮다는 것 또한 문제가 되고 있다(하상욱 2009).
최근, 가축분뇨를 가스화, 열분해를 포함한 열화학공정(Thermochemical process)을 통해 합성가스, 바이오오일, 바이오차 등 고부가가치 물질로 전환하는 방법이 주목을 받고 있다(Sohi et al., 2010; Yoon et al., 2023; Kwon et al., 2022). 특히, 열분해 공정을 통해 생산할 수 있는 고형 탄소물질인 바이오차에 대한 연구가 활발히 수행되고 있다(Yoon et al., 2022; Woolf et al., 2010). 바이오차는 영양염류를 함유하고 있는 다공성 물질로 비료나 토양개량제로 사용할 수 있으며, 광산 토양 중금속 안정화, 산성화된 토양 중화, 수중 오염물질 저감, 활성탄 대체물질 등 활용범위가 넓어 매년 증가하는 가축분뇨 공급에 맞춘 수요처를 확보할 수 있을 것으로 기대된다(Wang and Wang 2019). 열분해 과정에서 바이오차와 함께 생산되는 합성가스(H2, CO)와 바이오오일은 화석연료를 대체하거나 화학산업 원료로 사용할 수 있어 흡열반응인 열분해의 단점을 보완하거나 추가적인 수익을 기대할 수 있다. 하지만 바이오차를 활용할 때 주변환경에 부영양화와 같은 문제를 일으킬 수 있는 질소, 인과 같은 영양염류 유출에 대한 연구가 미흡한 실정이다(Singh et al., 2010). 따라서, 가축분뇨 유래 바이오차 상용화를 위해 가축분뇨 및 바이오차에서 유출되는 영양염류를 조사하고 최적화된 바이오차 생산을 위한 열분해 조건을 연구할 필요가 있다. 특히, 소규모 축사가 많은 한국 특성상 열분해 플랜트는 마을단위 규모로 설치하는 것이 바람직할 것으로 보이며, 우분을 수집하여 보관하는 과정에서 일부 부숙이 일어날 것으로 예상된다.
이를 위해 본 연구에서는 부숙화 정도에 따른 3개 우분 시료를 서로 다른 온도에서 열분해하여 그 특성을 분석하고 질소와 인 침출정도를 측정하는 연구를 수행하였다. 열 중량분석(Thermogravimetric analysis)을 통해 부숙화 정도가 우분 열분해에 미치는 영향을 확인하였으며, 원소분석(Elemental analyzer)과 푸리에변환적외선분광법(Fourier-transform infrared spectroscopy, FT-IR)을 통해 바이오차 내 원소 결합상태를 분석하였다. 최종적으로, 침출 실험을 통해 바이오차 생산조건에 따른 질소, 인 침출량을 측정하였고, X선 광전자 분광법(X-ray Photoelectron Spectro- scopy, XPS)을 통해 침출량 차이의 원인을 규명하고자 하였다.
2.1. 연구 방법
2.1.1.연구 재료
우분 시료는 국립축산과학원에서 채취한 축사 분뇨, 축사 퇴비 그리고 퇴비사퇴비를 활용하였다. 축사분뇨는 우분 발생 직후(1일 이내) 80oC 오븐에서 24시간 동안 건조 후 시료로 활용하였다. 축사 퇴비는 6개월 미만, 퇴비사퇴비는 1년 이상 개방된 환경에서 부숙을 진행한 시료로, 두 시료 모두 열분해 전 80oC에서 24시간 건조한 후 사용하였다. 질소(N2 > 99.999%)가스는 ㈜그린가스(한국)에서 구매하였다. 총 질소(Total Nitrogen, TN)와 총 인(Totla Phosphorus, TP)은 키트를 활용하여 측정하였으며 HACH사의 측정키트(Total Nitrogen Reagent Set-HR, Total Phosphorus Reagent Set-HR)를 사용하였다. 우분 시료는 부숙도에 따라 M, M-6, M-12로 명명하였다.
2.1.2.열 중량분석(TGA)
우분 열분해 특성을 확인하기 위해 Thermo-gravimetric analyzer(STA449 F5 Jupiter, NETZSCH, Germany)를 사용하여 열 중량분석을 수행하였다. 우분 10 ± 0.01 mg을 열 중량분석계에 내장된 알루미나 용기에 넣고 무산소 환경에서 진행되는 열분해 환경을 조성하기 위해 N2 환경에서 분석을 수행하였다. N2는 유량조절기를 통해 100 mL min-1의 유량으로 공급하였다. 열 중량분석은 35oC에서 900oC까지 10oC min-1 으로 승온하여 수행하였다.
2.1.3.열분해 및 바이오차 생산
우분 3종 시료를 열분해하여 바이오차를 제작하였다. 석영관(지름*길이 = 2.4 cm × 60 cm) 중앙에 위치한 2개의 알루미나 재질 도가니에 각각 시료 0.8 g을 적재하였으며 100 mL min-1의 유량으로 N2를 공급하였다. 석영관 내 산소가 모두 제거된 것을 micro-GC(Micro GC Fusion, INFICON, Swiss)를 이용해 확인한 후 전기로를 이용해 열분해를 진행하였다. 열분해는 3개 시료를 각각 300, 400, 500, 600, 700oC에서 2시간 동안 진행하였다.
2.1.4.가축분 바이오차 특성분석
제작한 바이오차 내 원소조성을 확인하기 위해 Elemental Analyzer(EA3100, EuroVector, Italy)로 원시료와 500, 700oC로 제작한 바이오차 내 C, N, S, H, O 함량을 측정하였다. 원시료 및 바이오차 표면 작용기를 확인하기 위해 FT-IR(Nicolet iN50, Thermo Fisher Scien- tific, US) 분석을 수행하였다.
2.1.5. N, P 침출 실험
시료 및 바이오차 0.5 g과 증류수 10 mL를 20 mL 바이알에 담아 1주일 간 250 rpm으로 교반하였다. 교반 용액은 syringe filter(SmartPor-II PVDF, 0.45 um)로 시료와 분리하였다. 분리한 용액의 TN, TP 농도는 Method 10071, 8190로 추출 후 UV/Vis spectrophotometer (OPTIZEN POP QX, Mecasys, Korea)로 분석하였다. 열분해에 따른 원소 거동을 확인하기 위해 XPS(K-alpha+, ThermoFisher scient, US)분석을 수행하였다.
2.2. 연구 결과
2.2.1.가축분뇨 열분해 특성 평가
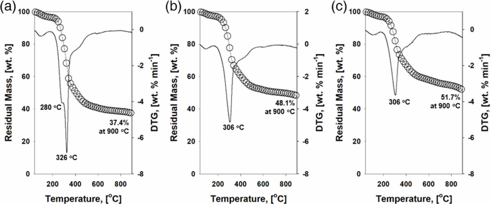
부숙도에 따른 가축분뇨 열분해 특성을 확인하기 위해 열분해환경에서 TGA 분석을 수행하였으며, 질량감소곡선(TG)과 그 변화율곡선(DTG)을 Fig. 1에 나타냈다. 부숙도가 가장 낮은 M 시료는 280, 326oC, 부숙이 진행된 M-6, M-12 시료는 306oC에서 DTG 피크가 확인되었다. 또한, 부숙이 진행됨에 따라 900oC에서 최종 질량이 늘어난 것을 확인하였다. 모든 시료에서 340oC 이전에 질량이 크게 감소하였고, 500oC 이후부터 추가적인 질량감소가 나타났다. 340oC 이전 질량감소는 Cellulose, hemicellu- lose, lignin으로 구성된 가축분뇨 내 휘발성 성분이 분해되며 나타난 결과로 보이며, 그 이상 온도에서 나타난 질량 감소는 탈수소반응을 통한 탄화구조 형성 과정에서 수소가 이탈하며 나타난 결과로 보인다(Robbins, Armold, and Weiel 1983; Kwon et al., 2019).
2.2.2.바이오차 특성분석 결과
우분 시료와 이를 이용해 제작한 바이오차(500, 700oC) 원소분석 결과를 Table 1에 나타냈다. 원시료는 시료가 부숙됨에 따라 질소의 함량이 2.036%에서 2.496%로 증가하였으며 C 함량은 35.31%에서 30.85%로 감소하는 경향을 나타냈다. 바이오차는 모든 시료에서 열분해 온도가 증가할수록 N, C, O 함량이 줄어들고 C 함량이 증가하는 경향을 보였다.
제작한 바이오차 탄화도, 친수성, 극성도를 확인하기 위해 H/C와 O/C, (O+N)/C 지표를 함께 제시하였다. H/C 탄화도(Carbonization) 및 O/C 소수성(Hydrophobicity), (O+N)/C 극성도(Polarity)와 같은 지표는 열분해로 제작된 바이오차 성상을 파악하기 위해 주로 사용된다. 주로 H/C 지수가 낮으면 탄화도가 높다는 것을 의미하며 O/C와 (O+N)/C 지수가 높으면 각각 소수성과 극성도가 높다는 것을 의미한다(Cely et al., 2014; Sun et al., 2013; Hammes et al., 2006). 원시료에서 열분해 온도가 증가함에 따라 시료 H/C 비율이 0.138-0.141에서 0.026-0.027로 점차 감소하였으며, 이는 바이오차 제작 온도 증가에 따라 탄화도가 높아지는 것을 의미한다. 열분해 온도가 증가함에 따라 소수성은 증가하였으며 극성도는 낮아지는 경향을 보였다. 이는 열분해 과정에서 시료 내 C와 N이 결정 구조를 이루며 π-π결합을 이루었기 때문으로 보인다(Cheng et al., 2023).
가축분뇨 유래 바이오차 내 원소 결합구조를 확인하기 위해 FT-IR 분석을 수행하였다. 원시료 3종(M, M-6, M-12) 및 바이오차 FT-IR 분석결과를 Fig. 2에 나타냈다. 빨간색과 파란색 스펙트럼은 원시료를 각각 500, 700oC에서 열분해하여 생산한 바이오차 분석결과를 나타낸다. 원시료에서 1032, 1545, 2925, 3423 cm-1 부근에서 피크가 관찰되었으며 이는 각각 C-N, N-H, C-H, -OH 작용기를 나타낸다(Paneque et al., 2017; Wang et al., 2011). 추가적으로, 원시료에서 부숙이 진행됨에 따라 2925와 3423 cm-1에서 피크가 사라지는 것을 확인하였다. 이는 부숙이 진행됨에 따라 C와 O 관련 작용기가 휘발되었기 때문으로 보인다. M과 M-6 유래 바이오차는 생산 온도가 증가함에 따라 작용기가 사라지는 경향을 보였으나 M-12 시료의 경우 작용기가 사라지는 정도가 낮은 것을 확인하였다. 이는 우분 부숙 과정에서 작용기가 일부 휘발되었기 때문으로 판단된다. 모든 시료에서 열분해를 통해 바이오차를 생산함에 따라 2000-2300 cm-1 부근에서 피크 강도가 증가하는 것을 확인하였다. 이 피크는 Allene(C= C=C)와 Alkyne(C≡C)을 나타내는 피크로 열분해 과정에서 우분 탄화로 인해 결정화 구조를 형성하였기 때문으로 보인다(Sigma-aldirich 2023).
2.2.3. N, P 침출실험 결과
원분뇨 및 바이오차를 토양 및 수중 환경에 적용했을 때 N, P가 유출되는 정도를 파악하기 위한 침출실험 결과 중 N 침출실험은 Fig. 3(a), (b), (c)에, P 침출실험은 Fig. 3(d), (e), (f)에 도시하였다. 추가적으로 N, P 결합 구조를 확인하기 위해 XPS 분석을 수행하였으며, 그 결과를 Fig. 4에 나타냈다. 원분뇨 시료의 경우 M, M-6, M-12 시료에서 침출된 N은 각각 0.23, 2.8, 3.0 mg-N g-biochar-1로, 부숙이 진행됨에 따라 N 침출량이 높아지는 것을 확인하였다. 이는 XPS 분석 결과, 부숙으로 인해 Secondary amine이 Primary amine으로 변형되면서 질소와 탄소기반 시료간 결합력이 약해졌기 때문으로 보인다(Fig. 4a). 모든 시료에서 열분해를 통해 생산한 바이오차가 원분뇨 대비 적은 N 침출량을 보였으며, 이는 XPS 결과에서 관찰된 N-doped graphitic carbon 형성에 따른 결과로 보인다. 자세히 말하자면, 열분해 과정에서 질소가 탄소와 함께 결정화된 구조를 형성하며 강한 결합을 형성하기 때문이라 할 수 있다(Tang, Zanli, and Chen 2021). 부숙 정도에 상관없이 400oC 이상 온도에서 생산한 바이오차는 N 침출량이 일정하게 유지되었다.
P 침출실험 결과는 N 침출실험과 유사한 결과를 나타냈다. 부숙이 진행됨에 따라 보다 높은 P 침출량을 보였으며, 600oC 이상 온도에서 열분해한 경우 침출량이 일정하게 유지되었다. 이는 XPS 결과에서 보이는 것과 같이 인이 탄소, 질소로 이루어진 바이오차 구조체와 강한 결합을 형성한 결과라 할 수 있다(Fig. 4c). 따라서, 가축분뇨를 이용해 바이오차를 생산할 경우 400-600oC의 온도로 열분해하는 것이 적합할 것으로 판단된다.
N 1s 스펙트럼 중 M 시료에서는 Secondary amine 피크(400.2 eV)가 확인되었으며 M-6, M-12 시료에서는 Primary amine 피크(398.6 eV)가 확인되었다(Fig. 4a) (Ravi et al., 2018). Primary amine은 질소가 탄소 한 개와 연결되어 R-NH2 결합을 이루며, Secondary amine은 질소가 탄소 두 개와 연결되어 R-NH-R 결합을 이루는 것을 지칭한다. 이는 부숙이 진행됨에 따라 질소와 탄소 간 결합이 일부 손실되었다는 것을 의미한다. 바이오차 시료에서는 398.4 eV와 400.0 eV 부근에서 피크가 관측되었으며 이는 각각 Pyridinic-N과 Pyrrolic-N 구조를 나타낸다(Osadchii et al., 2017). Pyridinic-N은 graphene 구조에서 두개의 C 원자와 함께 p 전자 1개를 공유하며 가장자리에 존재하는 N을 지칭하며 Pyrrolic-N은 2개의 C 원자와 함께 p 전자 2개를 공유하는 N을 지칭한다(Ejaz and Jeon 2018). 이는 열분해를 통한 바이오차 생산 과정에서 우분 내 N 성분이 탄소와 함께 결정화되어 N-doped graphitic carbon 형태를 이룬다는 것을 나타낸다. N-doped graphitic carbon은 탄소성 재료 분야에서 활발히 연구되고 있으며 전자 이동성을 높여 물질의 활용성을 크게 늘릴 수 있다고 알려져 있어 본 실험 결과는 추후 가축분뇨 유래 바이오차를 다양한 분아에 활용하는데 도움이 될 수 있다(Huang et al., 2022; Tang, Zanli, and Chen 2021).
C 1s 스펙트럼에서는 각각 C-C/C-H(sp2), C-N, C-O, C=O, COOH를 나타내는 284.6, 285.2, 284.8, 287.3, 289.0 eV에서 피크가 관측되었다(Fig. 4b) (Yuksel et al., 2018; Wang et al., 2014). 모든 시료에서 열분해 온도가 증가할수록 C-C 피크(sp2)를 제외한 다른 피크 강도가 줄어드는 것을 확인하였다. 고온 조건에서 열분해가 진행된 후 탄소와 결합된 N과 O가 휘발되어 사라진 것을 확인하였다. 284.6 eV에서 나타난 C-C 피크는 sp2 결합에 가까우며 이는 graphitic한 탄소 구조를 나타낸다(Jerng et al., 2011). 이는 탄소가 열분해 과정에서 sp2 결합으로 결정화 된 것을 의미한다.
P 2p 스펙트럼에서는 각각 P-C, P-N, P-O를 나타내는 132.4, 133.0, 134.0 eV에서 피크가 관찰되었다(Fig. 4c) (Chen et al., 2018; Lin et al., 2021). 부숙되지 않은 시료에서 P-N, P-O를 나타내는 피크가 관측되었으나 부숙이 진행됨에 따라 P-O 피크가 없어지면서 P-C 피크가 생성되는 것을 확인하였다. 이는 FT-IR 결과에서 확인한 바와 같이 부숙에 따라 O 작용기가 감소하면서 O와 결합되었던 P가 C와 결합하였기 때문인 것으로 보인다. 부숙 정도와 관계없이 바이오차 시료에서는 모두 P-C와 P-N 피크가 관측되었으며, 이는 휘발성 원소와 결합하고 있던 P가 탄소와 결합하였기 때문으로 보인다(Hendrix et al., 1970). 위 실험 결과를 통해 P가 N과 유사하게 바이오차 내 결정화된 탄소고리와 결합하여 침출량이 적어진 다는 것을 확인하였다.
|
Fig. 1 Results from TGA of 3 types of cattle manure (a) M, (b) M-6, (c) M-12. |
|
Fig. 2 FT-IR spectra of 3 types of cattle manure and biochar fabricated at different temperatures (a) M, (b) M-6, (c) M-12. |
|
Fig. 3 Results from nitrogen leaching test of (a) M, (b) M-6, (c) M-12, and that of phosphorus leaching test from (d) M, (e) M-6, (f) M-12. |
|
Fig. 4 XPS spectra of 3 types of cattle manure and biochar fabricated at different temperatures, (a) N 1s, (b) C 1s, (c) P 2p |
본 연구에서 서로 다른 부숙도(>1일, >6개월, <1년)를 가진 우분 시료를 이용해 바이오차를 생산하였으며 그 특성분석과 N, P 침출 실험을 수행하였다. 열 중량분석 결과, 질소 조건에서 열분해가 진행될 시 300-600oC 구간에 휘발성 탄소가 휘발되었으며, 부숙 기간이 늘어날수록 잔존하는 질량이 늘어나는 것을 확인하였다. 원소분석 결과, 부숙도가 증가할수록 탄소 함량이 줄어들었으며 열분해 온도가 증가할수록 탄화도가 증가하는 것을 확인하였다. FT-IR 분석 결과, 우분이 부숙되며 작용기가 줄어드는 경향을 나타냈으며 탄화가 진행됨에 따라 C=C, C=C=C 를 나타내는 피크가 생성되는 것을 알 수 있었다. 침출 실험 결과, 부숙 기간이 길어질수록 N, P 침출량이 증가하였으며 열분해 과정에서 탄화됨에 따라 침출량이 감소하는 경향을 보였다. 이는 XPS 분석결과 원분뇨가 부숙됨에 따라 secondary amine에서 primary amine으로 형상이 변화하여 질소와 탄소기반 시료간 결합력이 약해진 결과로 보인다. 우분이 탄화됨에 따라 N 성분이 탄소 결정구조에 포함되어 N-doped graphitic carbon을 형성하였으며 이에 따라 침출량이 감소하는 것을 확인하였다. P 또한 질소와 같이 탄화됨에 따라 C, N과 결합하며 침출량이 적어지는 것을 확인하였다. 본 연구 결과는 열분해를 통한 바이오차 생산이 부영영화를 유발하는 영양염류 유출을 저감할 수 있을 뿐 아니라 수처리 및 산업 분야에서 촉매 성능을 개선하는데 뛰어난 성능을 보이고 있는 N-doped graphitic carbon을 형성함으로써 추후 다양한 분야에 활용될 수 있다.
본 논문은 농촌진흥청 연구사업(과제명: 암모니아 저감형 가축분뇨 열분해 기술 개발, 과제번호: RS-2022-RD 010000)의 지원에 의해 이루어진 것임.
This Article2023; 28(6): 24-32
Published on Dec 31, 2023
Services
Correspondence toDepartment of Earth Resources and Environmental Engineering, Hanyang University, Seoul 04763, Republic of Korea