
Soonyoung Yu·Jaehoon Jung·Jize Piao·Hee Sun Moon·Heejun Suk·Yongcheol Kim*·Dong-Chan Koh·Kyung-Seok Ko·Hyoung-Chan Kim·Sang-Ho Moon·Jehyun Shin·Byoung Ohan Shim·Hanna Choi·Kyoochul Ha
Korea Institute of Geoscience and Mineral Resources (KIGAM), Daejeon 34132, Korea
유순영·정재훈·박길택·문희선·석희준·김용철*·고동찬·고경석·김형찬
한국지질자원연구원
This article is an open access article distributed under the terms of the Creative Commons Attribution Non-Commercial License (http://creativecommons.org/licenses/by-nc/4.0) which permits unrestricted non-commercial use, distribution, and reproduction in any medium, provided the original work is properly cited.
A groundwater potential map (GPM) was built for the Nakdonggang River Basin based on ten variables, including hydrogeologic unit, fault-line density, depth to groundwater, distance to surface water, lineament density, slope, stream drainage density, soil drainage, land cover, and annual rainfall. To integrate the thematic layers for GPM, the criteria were first weighted using the Analytic Hierarchical Process (AHP) and then overlaid using the Technique for Ordering Preferences by Similarity to Ideal Solution (TOPSIS) model. Finally, the groundwater potential was categorized into five classes (very high (VH), high (H), moderate (M), low (L), very low (VL)) and verified by examining the specific capacity of individual wells on each class. The wells in the area categorized as VH showed the highest median specific capacity (5.2 m3/day/m), while the wells with specific capacity < 1.39 m3/day/m were distributed in the areas categorized as L or VL. The accuracy of GPM generated in the work looked acceptable, although the specific capacity data were not enough to verify GPM in the studied large watershed. To create GPMs for the determination of high-yield well locations, the resolution and reliability of thematic maps should be improved. Criterion values for groundwater potential should be established when machine learning or statistical models are used in the GPM evaluation process.
Keywords: Nakdonggang River Basin, Groundwater potential map, AHP, TOPSIS, Validation
물 수요의 증가와 함께 기후변화가 심각해지면서 전 세계적으로 지하수 자원에 대한 관심이 증가하고 있다(Taylor et al., 2013; Ravenscroft and Lytton, 2022). 지하수는 지표수에 비해 부존량이 많고, 토지이용변화 및 기후변화와 같은 지표환경변화에 비교적 덜 영향을 받기 때문에 지속가능한 수자원 공급원으로 활용될 수 있기 때문이다. 지표수 중심의 물 공급 시스템이 주를 이루는 우리나라도 극한 가뭄 시 물이용취약지역을 중심으로 물 수요에 대응하기 어려워지고 있다. 예를 들면, 2023년 광주·전남 지역의 경우, 50년 만의 가뭄으로 동복댐 등 주요 상수원의 저수율이 10%대까지 떨어져 150만 광주시민의 물 공급에 어려움을 겪은 바 있다. 이에 지하수를 대체수원으로 활용하여 물 부족을 해소하고 가뭄에 대한 대처 역량을 제고할 필요성이 부각되고 있다(Lee et al., 2018). 그러나 대용량 관정 개발에는 비용이 많이 소요되고 지하 환경의 불균질성 및 불확실성으로 인하여 관정 개발에 실패할 가능성이 있어, 대체수원으로 널리 활용되지 못하고 있는 실정이다.
지하수 개발의 성공률을 높이고자 지하수 산출 유망도(Groundwater Potential Map, GPM)가 활용되고 있다(Gómez-Escalonilla et al., 2022). GPM은 지하수 산출성(groundwater potential)과 상관관계가 있다고 판단되는 기존 자료(예: 지질도) 또는 원격탐사자료(예: lineament density, land use/land cover(LULC))를 활용하여 지하수 산출성을 평가한 지도로, 넓은 범위의 유역을 빠르게 탐사 가능하고, 비용 효율적이며, 분석 절차가 신속하여, 지하수 탐사를 위한 현장 조사의 한계를 극복할 수 있다는 장점이 있다(Rahmati et al., 2015; Díaz-Alcaide and Martínez-Santos, 2019). 여기서 지하수 산출성은 지하수 산출에 대한 확률적인 개념으로 현실화될 수도 있고 그렇지 않을 수도 있는 최적 추정을 의미하며, 산출량(yield)과 구분된다. 일반적으로 GPM은 지하수 개발 최적 부지 선정에 초점을 두지만, 가뭄 또는 수질 문제를 해결하기 위한 지하수 조사에도 활용된다(예: Rasool et al., 2022).
GPM은 지하수 산출성과 상관관계가 있다고 판단되는 공간 자료를 주제도(Thematic map) 형식으로 구축한 후 지리정보시스템(GIS) 기술을 이용하여 지하수 산출 가능성을 평가한 것이다. Díaz-Alcaide and Martínez-Santos (2019)는 200개 이상의 GPM 관련 연구 결과물을 검토하고 자주 사용되는 20개의 변수(variable)를 정리하였으며, 이 중 지질, 선구조, 지형, 토양, 토지이용도, 강우, 배수밀도, 경사도의 8개 변수가 GPM 평가에 가장 자주 사용되는 것을 확인하였다.
여러 가지 주제도를 통합 해석하여 GPM을 평가하는 방법은 크게 3가지로 구분된다. 첫째, 가중치, 평가점수 등을 결정하는 데 있어 전문가의 판단에 의존하는 다기준의사결정(Multiple-criteria decision-making, MCDM) 방법으로, 계층분석법(Analytic Hierarchy Process, AHP)이 가장 많이 사용되고 있으며, TOPSIS(Technique for Order Preference by Similarity to Ideal Solution)를 사용한 사례도 있다(Table 1). 둘째, 랜덤 포레스트(Random Forest, RF), 서포트 벡터 머신(Support Vector Machine, SVM), 신경망(Neural Network, NN) 등의 기계학습을 활용하는 방법으로 사용 빈도가 높아지고 있는 추세이다(Table 2). 셋째, 통계기반모형이 활용되고 있는데, 특히 빈도비 분석(Frequency ratio; FR)이 GPM 평가에 자주 사용된다(Table 3). 최근 GPM 평가에 있어 이들 세 가지 방법의 장단점을 비교하는 연구가 다수 진행 중이다(예: Razandi et al., 2015; Lee et al., 2019; Das, 2019, Hasanuzzaman et al., 2022).
국내의 경우, 한국지질자원연구원에서 MCDM, 통계기반모델, 기계학습방법을 활용하여 지하수 산출 유망지 평가 연구를 수행한 바 있다. AHP와 TOPSIS를 이용하여 2021년과 2023년 각각 금강권역 및 낙동강권역의 GPM을 제시하였으며(KIGAM, 2021; 2032), 이외에도 통계기반모델(예: FR) 및 기계학습방법(예: SVR, Convolutional Neural Networks (CNN))을 이용하여 지하수산출가능성도를 구축하고 환경 빅데이터 플랫폼(https://www.bigdata-environment.kr/)에 공개하였다. GPM의 검증에는 기존 관정의 비양수량 또는 투수량계수가 이용되었다. 이외에도 환경부의 ‘통합 지하수 기초조사 및 지하수지도 제작 관리 지침’은 지하수 기초조사 시 지하수 개발유망지점을 평가 및 검토하도록 하고 있으나, 주제도 선정 및 개발유망지점 평가 방법 등에 관한 가이드라인은 부재한 실정이다.
이 논문은 한국지질자원연구원이 2023년 발간한 낙동강권역 지하수 정보 지도집에 수록된 낙동강권역의 GPM 산출과정을 소개하고, 향후 물이용취약지역에서 지하수를 이용하여 물 수요를 충당하는데 있어 GPM을 활용하기 위해 필요한 연구 과제를 제시하고자 하였다.
|
Table 1 Examples of Groundwater Potential Mapping (GPM) based on Multiple-criteria decision-making (MCDM) |
|
Table 2 Examples of Groundwater Potential Mapping (GPM) based on Machine-learning techniques |
|
Table 3 Examples of Groundwater Potential Mapping (GPM) based on Statistical models |
1) a machine learning technique used for comparison or ensemble with FR |
2.1. 연구지역
낙동강권역을 대상으로 지하수 산출 유망도(GPM)를 평가하고자 하였다. 수계가 분리되어 있고 자료의 불확실성이 큰 섬 지역은 GPM 평가에서 제외하였다. 그 결과, 연구지역의 총 면적은 30,735 km2으로, 남북 방향으로 266 km, 동서 방향으로 189 km에 걸쳐 분포하며, 6개 대유역(낙동강, 형산강, 태화강, 회야·수영, 낙동강동해, 낙동강남해) 및 31개 중유역으로 구성되어 있다(Fig. 1a). 행정구역상으로 볼 때, 부산, 대구, 울산의 3개 광역시 및 경남과 경북 내 38개 시군이 포함되어 있으며, 강원도와 전라도에 속한 시군(예: 태백, 구례, 남원)도 일부 포함되어 있다.
2.2. 지하수 산출성 평가에 활용된 주제도
낙동강권역의 GPM 평가를 위해 총 10개의 변수를 선정하고, 상용소프트웨어인 ArcGIS Pro 3.1.0을 사용하여 주제도를 구축하였다(Fig. 2). Díaz-Alcaide and Martínez- Santos(2019)에 의해 GPM 평가에 있어 가장 빈도 높게 활용되는 것으로 확인된 8개의 변수(지질, 선구조, 지형, 토양, 토지이용도, 강우, 배수밀도, 경사도)가 모두 고려된 것을 알 수 있다. 주제도의 격자 크기는 30 m × 30 m로 통일하였으며, 점(point) 정보(등수심, 연평균 강수량)는 역거리가중법(Inverse Distance Weighting, IDW)으로 보간하였다. 연속형 자료의 경우(Figs. 2b, 2c, 2d, 2e, 2f, 2g, 2j), Jenks natural breaks를 이용하여 등급을 구분하였다. Jenks natural breaks는 등급 내 분산은 줄이고, 등급 간 분산은 최대화하는 방법으로 등급을 구분한다.
10개의 주제도는 지질, 수리지질, 지형, 함양 특성을 대표하는 4개 그룹으로 대분될 수 있다(Table 4). 지질 특성은 수문지질단위(Hydrogeologic unit)와 단층선밀도(Fault-line density)를 활용하여 반영하였다. 수문지질단위는 지층의 층서적 특징, 암석의 종류와 형태 등의 특징이 지하수 산출성에 미치는 영향을 반영한다. ‘1:250,000 안동, 부산 지질도폭’에 도시된 암층 단위들의 지질시대, 암상, 산상 등을 기본으로 활용하고, ‘1:1,000,000 한국지질도’를 참조하여 지질시대를 보정한 후 낙동강권역 수문지질단위를 12개(미고결 쇄설성 퇴적층, 다공질 화산암, 반고결 쇄설성 퇴적암, 비다공질 화산암, 백악기-고신기 관입화성암, 쥐라기 관입화성암, 페름기-트라이아스기 관입화성암, 쇄설성 퇴적암, 탄산염암, 변성퇴적암류, 편암 및 준편마암류, 정편마암류)로 분류하였다(KIGAM, 2023). 단층선밀도는 단층, 습곡, 지층 경계, 절리 등의 불연속면 지질 구조가 지하수의 이동 통로로써 지하수 산출성을 미치는 영향을 반영한다. 한국지질자원연구원의 1:1,000,000 수치지질도의 단층 정보를 이용해 단층 선밀도(km/km2)를 계산하였다(Table 5).
수리지질 특성의 경우, 등수심(Depth to groundwater)과 지표수까지의 거리(Distance to surface water)를 이용하여 반영하였다. 등수심도(m)는 한국수자원공사에서 구축한 지하수 등수심선 자료를 국가공간정보포털(www. nsdi.go.kr/)에서 다운받아 점(point) 정보로 변환한 후 보간하여 생성하였다. 지표수까지의 거리(km)는 통계청의 해안 위치 정보 및 국가수자원관리종합정보시스템(www. wamis.go.kr)에서 제공하는 국가 하천, 지방 1급 하천, 지방 2급 하천 정보를 이용하여 계산하였다.
지형 특성은 선형구조밀도(Lineament density), 경사도(Slope), 하천 배수밀도(Drainage density)를 이용하여 반영하였다. 선형구조밀도는 단위면적 당 선구조의 밀도를 보여주는 것으로 지하수 산출성을 간접적으로 지시한다. 한국지질자원연구원이 보유한 항공사진과 인공위성 영상을 이용하여 선구조도를 작성한 후, 선형구조밀도(km/km2)를 계산하였다. 경사도와 같은 지형 특성은 지하수의 흐름을 조절할 뿐만 아니라 수리지질학적 특성(침투능, 토양 수분 등)의 공간적 분포를 결정한다. 국토지리정보원이 제공하는 1:5,000 수치지형도의 등고선과 표고점을 이용하여 TIN(Triangulated Irregular Network)과 DEM(Digi- tal Elevation Model)을 만들어 경사도(°)를 계산하였다. 암석 혹은 대수층의 투수율이 낮을수록 강우의 지하 침투가 적어지면서 하천 채널을 형성하기 때문에 하천 채널 밀도와 지하수의 산출성은 반비례하게 된다. 국가수자원관리종합정보시스템(www.wamis.go.kr)에서 하천차수도 정보를 획득하여 하천 배수밀도(km/km2)를 계산하였다.
함양 특성은 토양배수도(Soil drainage), 토지이용도(Land cover), 연평균 강수량(Annual rainfall) 정보를 이용하여 반영하였다. 토양 투수성은 유효 공극율, 입자 모양 및 크기, 공극비와 직접적으로 관련이 있고 이들은 침투에 중요한 요소이다. 따라서 토양 배수능은 지하수 산출성과 관련이 있을 것으로 판단된다. 국립농업과학원(NIAS)에서 구축한 토양특성 자료 중 배수등급도를 확보해 토양배수도를 구축하였다. 토지피복 특성은 직접유출량과 증발산량에 영향을 미친다. 일반적으로 주거지역, 나지와 같은 지역은 지하수 함양량이 낮고, 산지, 농지와 같은 지역에서는 높은 편이다. 환경부에서 2019년 구축한 대분류 토지피복지도(해상도 30 m급)를 환경공간정보서비스(https://egis.me.go.kr/)에서 제공받아 토지이용/피복도를 구축하였다. 이외에도 강우량이 함양량을 결정하는 주요 요인으로, 일반적으로 강우가 많을수록 지하수 함양량이 커지고 지하수 부존 가능성을 증가시킨다. 종관기상관측소(Automated Synoptic Observing System, ASOS) 31개소의 20년 (2003~2022년) 평균을 이용하여 강수량(mm) 분포도를 작성하였다.
2.2. 지하수 산출성 평가 방법
낙동강권역의 GPM는 Shabani et al.(2022)와 유사하게 AHP를 이용하여 선정된 가중치를 TOPSIS에 적용하여 평가하였다.
2.2.1.계층분석법(Analytical Hierarchy Process; AHP)
계층분석법은 쌍대 비교를 통해 평가 항목들의 상대적 중요도(가중치)와 각 평가 항목 하에서 대상들의 상대적 선호도를 도출한 후, 이를 계층구조에 따라 종합화하여 평가 대상들의 평가 순위와 종합적 선호도를 구하는 방법이다(Saaty, 1980; Bae et al., 2015). 일반적으로 가중치 산정에 빈번하게 사용된다(Shabani et al., 2022). 중요도 산출 결과에 있어 평가자들이 내린 판단에 논리적 모순이 있는지 검증하기 위해 일관성지수(Consistency Index, CI)와 일관성비율(Consistency Ratio, CR)이 활용된다. 일관성비율(CR)은 일관성지수(CI)를 무작위 지수(Random Index, RI)로 나눈 비율로, 이 비율이 10% 이내일 경우, 평가자가 내린 판단에 일관성이 있다고 볼 수 있다.
한국지질자원연구원은 10개의 주제도에 대한 쌍대 비교를 통해 가중치를 산정한 바 있다(KIGAM, 2021). 총 50명의 지하수 전문가가 설문 조사에 참여하였고, 일관성 검정 결과, 일관성지수(CR)가 10% 미만인 것으로 나타나 설문 결과에는 일관성이 있는 것으로 판단되었다. 이에 도출된 가중치(Table 4)를 GPM 평가에 이용하였다.
2.2.2. Technique for Order of Preference by Simil-arity to Ideal Solution (TOPSIS)
Hwang and Yoon(1981)이 개발한 TOPSIS 기법은 MCDM 방법 중 하나로, 양의 이상적인 해(Positive Ideal Solution, PIS)에 가깝고, 부의 이상적인 해(Negative Ideal Solution, NIS)에서 먼 해를 최종 해로 선택한다. 유클리디언 거리(Euclidean distance)를 통해 이상적인 해를 찾는 방법으로써, 기후변화에 따른 다양한 문제 해결에 활용되고 있으며(Kim and Chung, 2013; Chung et al., 2014; Won et al., 2014), GPM 평가에도 활용된 바 있다(Patidar et al., 2022; Shabani et al., 2022).
TOPSIS를 수행하는 과정은 다음과 같다. 첫째, 표준화된 의사 행렬(decision matrix) A를 계산한다.

여기서 xij는 j번째 기준(이 연구에서는 주제도; n=10)에 대한 i번째 대안값으로, 평가점수(rating)로 부여될 수 있다. 둘째, 가중 행렬(vij)를 구성한다.

여기서 wj 는 j번째 기준에 대한 가중치(weights)로, 이 연구에서는 AHP를 통해 선정된 가중치를 이용하였다(Table 4). 셋째, 가중화된 표준값(vij)로부터 양의 이상적인 해(PIS, A*)와 부의 이상적인 해(NIS, A-)를 결정한다.

넷째, 양의 이상적인 해와의 거리(Si*) 및 부의 이상적인 해와의 거리(Si–
)를 결정한다.

마지막으로 양의 이상적인 해와 부의 이상적인 해를 통해 상대적 근접도 (Ci*
)를 결정한 후, 상대적 근접도를 통해 대상들의 순위를 결정한다.

Ci*는 0과 1 사이의 값을 가지는데, Ci*가 1에 가까울수록 양의 이상적인 해에 가까운 것을 의미한다. 이 연구의 경우, 산출성이 크다는 것을 의미한다.
2.2.3.비양수량 및 지하수위 자료
낙동강권역 지하수 산출 유망도를 검증하기 위해 지하수기초조사 보고서, 수맥조사 보고서, 지하수영향조사 보고서, 가뭄대비나눔지하수 보고서 등에 보고된 암반 관정의 비양수량 자료를 확보하였다. 비양수량은 단위수위강하량에 대한 양수량을 표현한 것이다. 양수정의 산출 능력을 판단할 수 있는 수리상수로써 양수시험을 통해 얻어진다. 그러나 대부분의 양수시험 시 일정량을 양수하지 않으며, 시간에 따른 양수량 변화를 측정하는 조사자도 거의 없다. 또한 양수 시간도 조사자마다 다르고, Theis법, Cooper-Jacob법, Theis recovery법, Hantush-Jacob법, Neu- man-Witherspoon법, Moench법 등의 다양한 수리상수 산출 방법이 적용되고 있어 비양수량의 산출에는 일관성이 없는 실정이다. 이에 지하수기초조사 보고서에 수록된 양수일보를 확보하여 Cooper-Jacob법 수위강하식을 이용하고 하루(1440분) 기준으로 수위 강하를 평가하여 비양수량을 재계산하였다. 양수일보가 없는 경우, 해석 그래프를 복사해 재산출하였다.
비양수량 자료를 구축하는 동안, 암반공의 지하수위 자료도 함께 수집되었는데, 이는 한국수자원공사에서 제공하는 지하수 등수심선(Fig. 2c)와 비교하는 용도로 활용되었다.
|
Fig. 1 Study area: (a) Large watersheds and medium-sized watersheds on the topographic map in the Nakdonggang River Basin. (b) The distribution of specific capacity (m3 /day/m) in bedrock wells on the shaded relief map (n=2014). The specific capacity data were logtransformed and then classified using the Jenks natural breaks. |
|
Fig. 2 Ten thematic layers for a groundwater potential map: (a) Hydrogeologic unit, (b) Fault-line density, (c) Depth to groundwater, (d) Distance to surface water, (e) Lineament density, (f) Slope, (g) Drainage density, (h) Soil drainage, (i) Land cover, (j) Annual rainfall. |
낙동강권역 지하수 산출 유망도(GPM)를 작성하기 위해 주제도별 해상도 차이 및 계산 속도를 고려하여 전체 지역을 300 × 300 m 크기의 약 34만개 격자(식 (1)의 m)로 구분한 후 격자별로 상대적 근접도(Ci*
)를 평가하고 순위를 결정하였다.
3.1. 평가점수 부여
TOPSIS를 이용하여 대상(격자 i)들의 상대적 근접도를 계산하기 위해서는 주제도( j) 별로 대안값(식(1)의 xij)을 부여할 필요가 있다. 이 연구에서는 주제도의 특성에 따라 주제도를 5~12개의 등급(k)으로 나눈 후 Kumar et al. (2014)와 유사하게 1부터 5의 평가점수를 부여하였다(Table 6). 점수가 높을수록 높은 지하수 산출 가능성을 의미한다.
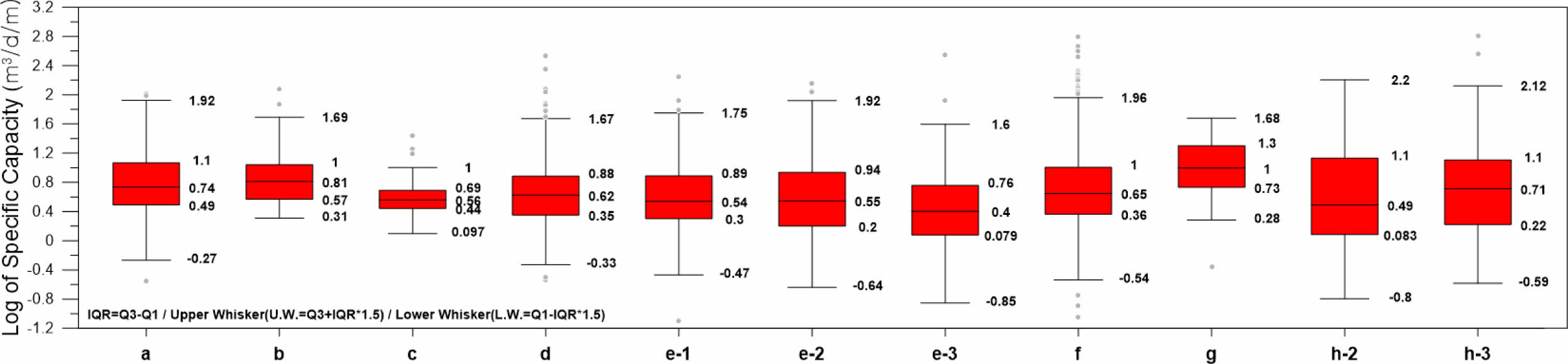
수문지질도의 경우, 수문지질단위별 암반지하수의 비양수량 중앙값을 참고하여(Fig. 3), 중앙값이 증가함에 따라 1부터 5의 평가점수를 부여하였다. 그 결과, 탄산염암(g)의 경우, 5점이 부과되었으며, 페름기-트라이아스기 관입화성암(e-3)과 편암 및 준편마암(h-2)의 경우, 1점이 부과되었다. 문경시 일부 지역(연구지역 전체 면적의 0.06%)에 분포하는 변성퇴적암류의 경우, 암반지하수 관정이 존재하지 않아, 주변에 분포하는 수문지질단위의 점수(예: 백악기-고신기 관입화성암류(e-1)의 2점, 정편마암(h-3)의 4점)를 참고하여 3점을 부여하였다. 하천이나 호수(댐) 등의 수류지역은 평가에서 제외하였다.
토양배수도, 토지이용도와 같은 범주형 자료는 함양 특성을 대변하는 자료로, 이들 변수가 지하수 함양에 미치는 영향에 대해 알려진 사실을 가지고 점수를 부여하였다. 즉, 토양배수능의 경우, 배수가 양호할수록 높은 점수를 부여했다. 토지이용도의 경우, 일반적으로 주거지역, 나지와 같은 지역은 지하수 함양량이 낮고, 산지, 농지와 같은 지역에서는 높은 편으로(KMOE, 2019), 이를 참고하여 점수를 부여하였다.
단층 선밀도, 등수심선도, 지표수 거리, 선형구조 밀도, 경사도, 하천 배수밀도, 연평균 강수량과 같은 연속형 자료의 경우, Jenks natural breaks를 이용하여 5개 구간으로 구분하였다. 단층 선밀도, 선형구조 밀도, 연평균 강수량의 경우, 값이 증가함에 따라 1부터 5의 평가점수를 부여하였고, 등수심도, 지표수 거리, 경사도, 하천배수밀도의 경우, 값이 증가함에 따라 5부터 1의 평가점수를 부여하였다.
3.2. 지하수 산출 유망도
TOPSIS로 계산된 상대적 근접도의 순위를 동일한 비율(20%)로 5개 등급(very high(VH), high(H), moderate(M), low(L), very low(VL))으로 구분하여 지하수 산출 유망 등급을 나누고, 이를 이용하여 산출성이 높을 것으로 예상되는 지역과 낮을 것으로 예상되는 지역을 구분해 보았다(Fig. 4a). 낙동강권역의 중심부와 동해안을 따라 높은 산출성이 나타나는데, 이는 가중치가 큰 단층 선밀도(19%)의 영향을 받은 것으로 판단된다(Fig. 2). 반면 낙동강권역의 중서부에서는 지하수 산출성이 낮은 것으로 나타나는데, 이는 앞서 언급한 단층 선밀도의 등급이 작고, 세 번째로 가중치가 큰 수문지질도(16.8%)의 등급이 작은 관입화성암(e-1, e-2, e-3)의 영향으로 판단된다.
지하수 산출 유망 등급을 비양수량 자료를 이용하여 검증하였다. 비양수량 자료의 이상치를 확인하기 위해 3분위수(Q3)와 1분위수(Q1)의 차이를 IQR(Inter-Quartile Range)로 설정하였다(Fig. 5). 이 경우, Q1-1.5×IQR 보다 작거나 Q3+1.5×IQR 보다 큰 관측값을 이상치(outlier)라고 하고, Q1-3×IQR 보다 작거나 Q3+3×IQR 보다 큰 관측값을 극단이상치(extreme outlier)라고 할 수 있다. 낙동강권역에서 획득된 암반 관정의 비양수량 자료에서는 이상치는 관찰되나, 극단적 이상치는 관찰되지 않아 모든 값을 GPM 검증에 활용하였다. 낙동강권역 암반 관정(n= 2014)의 비양수량 평균은 12.33 m3/day/m이고, 중앙값은 4.16 m3/day/m이었다. 경주시, 대구광역시 등의 지역에서는 자료가 부족하고, 봉화군, 울진군 등의 지역에서는 자료의 공간적 분포가 고르지 못하는 것을 고려할 때, 공간 보간 시 불확실성이 클 것으로 판단되어, 공간 보간하지 않고 분포를 도시하면 Fig. 1b와 같다. 비록 관정의 공간 분포가 고르지 못하여 지역 간 비양수량 분포 특성을 해석하는 데는 무리가 있으나, 합천군, 창녕군 지역에서 낮은 비양수량 값이 나타냈다(Fig. 1b). 합천군, 창녕군 지역으로 산출 유망 등급이 낮게 평가된 것을 볼 때(Fig. 4a), 이 지역을 중심으로 정성적으로 만족할 만한 평가 결과를 얻었다고 할 수 있다.
각 산출 유망 등급에 해당하는 암반 관정의 비양수량 중앙값을 살펴보면(Fig. 6a), 산출 유망도가 가장 높은 것으로 예상된 VH 그룹의 중앙값이 가장 크다. 그러나 H 그룹의 중앙값은 M, L, VL 그룹의 중앙값보다 작은 것을 알 수 있다. 이는 비양수량 자료가 낙동강권역의 불균질성을 반영하기에는 충분하지 않았기 때문일 수도 있고, 평가에 활용된 주제도의 정확도 문제 때문일 수도 있다. 이와 관련하여서는 4절에 더 논의할 예정이다.
한편, AHP나 TOPSIS와 같은 MCDM을 이용하여 GPM를 평가할 경우, Fig. 6과 같이 정량적으로 검증하지 않고, 대부분 일정 양수량 이상의 관정 유무로 GPM을 검증한다(Table 1). 이 연구와 동일하게 AHP와 TOPSIS를 사용한 Shabani et al. (2022)은 GPM 위에 양수량이 큰(Q> 40 l/s) 관정들의 공간 분포를 중첩시켜, GPM을 검증하였으며, 일부 지점에서는 지구물리탐사(전기비저항탐사 및 유도분극) 결과를 수행하여 GPM을 검증하였다.
|
Fig. 3 Box plot of specific capacity (m3 /day/m) in bedrock aquifers (on a logarithmic scale) depending on hydrogeological units: a. Unconsolidated clastic sediments (n=154), b. Porous volcanic rocks (n=31), c. Semi-consolidated clastic sedimentary rocks (n=36), d. Non-porous volcanic rocks (n=170), e-1. Cretaceous-Paleogene intrusive igneous rocks (n=174), e-2. Jurassic intrusive igneous rocks (n=344), e-3. Permian-Triassic intrusive igneous rocks (n=100), f. Clastic sedimentary rocks (n=787), g. Carbonate rocks (n=26), h-2. Schists & Paragneisses (n=75), h-3. Orthogneisses (n=111). |
|
Fig. 4 Groundwater potential map (GPM) using AHP and TOPSIS: (a) Grouping based on quantiles; (b) Grouping based on Jenks natural breaks. |
|
Fig. 5 Box plot (left) and relative frequency distribution (right) of specific capacity (on a logarithmic scale) in bedrock aquifers on the the Nakdonggang River Basin (n=2014). |
|
Fig. 6 Box plot of specific capacity (m3 /day/m) (on a logarithmic scale) for each potential level (VH: Very high, H: High, M: Moderate, L: Low, VL: Very low). The values within the box indicate the number of specific capacity data for the box plot. |
|
Table 6 Scores of each class in 10 thematic layers. Frequency ratios provided for comparison |
물이용취약지역에서 지하수 개발 최적지를 선정하고, 관정 개발의 실패 확률을 낮추기 위해서는 정확한 GPM이 요구된다. GPM의 정확도에 영향을 미치는 요인들을 살펴보고, 정확한 GPM 구축을 위해 필요한 연구 과제를 논의해 보았다.
4.1. 주제도
300 m × 300 m의 해상도는 지하수 개발 최적지 선정에 활용되기에는 해상도가 낮을 수 있다. 이에 지하수 개발이 시급히 필요한 지역(예: 가뭄취약지역)을 대상으로 고해상도의 GPM을 구축할 필요가 있다. 지금까지 구축된 자료를 활용할 경우(Fig. 2), 30 m × 30 m의 GPM 작성은 가능할 것으로 보인다. 그러나 일부 주제도의 경우, 해상도에 한계가 존재한다. 예를 들어, 강우량 자료의 경우, 95개의 종관기상관측장비(ASOS)를 기반으로 남한 규모의 강우량 분포를 예측하게 된다. 이는 날씨 예보에 있어서는 문제가 없을 수 있으나, 표준유역 규모의 GPM 산정에는 문제가 될 수 있다. 향후 고해상도 GPM 개발을 위해서는 지역별상세관측자료(Automatic Weather System, AWS)를 활용할 필요가 있다. Lee et al.(2019)는 경기도 고양시의 GPM 평가를 위해 경기도 소재 14개소 AWS의 2008-2014 연평균 자료를 이용한 바 있다.
또한 일부 주제도의 경우, 시간변화로 인하여 평가에 활용된 정보와 실제 상황 간 차이가 있을 수 있다. 예를 들면, 도시화와 같은 국토 개발은 토지이용도 및 토양배수도에 영향을 미칠 수 있는데, 현재 낙동강권역 GPM 작성에 이용된 토양배수등급은 1970~1979년 조사하여 1979년 발간된 자료이다(Table 5). 향후 물이용취약지역에서 지하수 개발 유망지를 선정하는 데 있어 GPM을 활용하기 위해서는 주제도의 해상도를 높이고 시간변화 특성을 반영할 수 있는 방안을 고안할 필요가 있다.
이외에도 공공기관에서 획득된 자료일지라도 신뢰도를 검토한 후 사용할 필요가 있다. 예를 들면, 낙동강권역에서 획득된 주제도 중 지하수심은 경사도가 높은 북동쪽 지역에서 수심이 낮은 반면, 남동쪽 해안지역에서는 수심이 깊은 특징을 보이는데(Fig. 2c), 이는 산지에서 수심이 깊고, 지표수 쪽으로 갈수록 수심이 얕아지는 일반적인 현상과 배치된다. AHP를 통해 얻어진 가중치에 따르면 지하수심은 GPM 평가에서 매우 큰 비중(18.9%)을 차지하는 요소로, 좀 더 신뢰할 만한 지하수심 자료가 필요한 것으로 보인다.
지하수심 자료의 변화가 GPM 평가 결과에 미치는 영향을 확인해 보기 위해, 낙동강권역에서 획득된 지표수까지의 거리(Fig. 2d)를 보조변수로 활용하여 지하수심 자료를 보간하고, GPM을 재평가해 보았다(Fig. 7). Fig. 7a의 등수심도는 Fig. 2c와 달리 공간 변화를 상세히 보여주고 있고, 이에 따라 GPM의 공간 변화가 더 상세히 평가된 것을 알 수 있다. 산출 등급별 비양수량 분포의 경우(Fig. 6b), M 그룹을 제외하면, VL에서 VH로 갈수록 비양수량의 중앙값이 커지는 것으로 나타나, 정확도도 개선된 것을 알 수 있다.
4.2. 평가 방법
이 연구에서는 AHP의 가중치와 TOPSIS의 순위 결정 방법을 이용하여 GPM을 평가하였다. 이 때, 가중치(Table 4)과 평가점수(Table 6)는 전문가의 의견에 따라 달라질 수 있다. 가중치 및 평가점수를 결정하는 과정에서 발생하는 주관성을 제거하기 위해 통계모델 또는 기계학습방법이 GPM 평가에 활용되고 있다(예: Table 2 and Table 3). 기계학습 또는 통계모델을 활용할 경우, 가중치 선정의 어려움이 없으며, 주제도의 중요도가 객관적으로 평가 가능하다는 장점이 있으나, 모델을 학습시키기 위해 지하수 산출성을 대변하는 자료(예: 비양수량, 투수량계수, 관정 또는 샘물의 존재 여부)가 필요하며, 높은 산출성에 대한 정량적 기준이 요구된다. 예를 들어, Razandi et al. (2015)은 FR 및 확신도(certainty factor, CF)와 같은 확률 모형을 이용하여 GPM을 평가하기 위해 40 m3/h 이상의 양수량을 높은 산출성의 지시자로 사용하였다. Gómez-Escalonilla et al.(2022)은 착정된 관정의 50%가 개발에 성공한 지역 또는 적어도 하나 이상의 관정이 10 m3/h의 양수능력을 보이는 지역에 “positive”를 부여하고 모델을 학습시켰다. Rasool et al.(2022)는 6가지 기계학습방법(ANN, RF, SVM, KNN, NB, XGBoost in Table 2)을 이용하여 GPM를 평가한 후 성능을 비교하기 위해, 지난 5년 동안 적어도 3-4 gallons/minute를 생산한 관정을 산출 능력을 갖춘 관정으로 판단하고 모델을 학습시켰다. 이외에도 지하수 관정 또는 샘물의 존재 여부로 0(산출성 없음)과 1(산출성 있음)로 모델을 학습 경우도 있다(Prasad et al., 2020, Hasanuzzaman et al., 2022).
국내에서는 Lee and Lee (2015)가 결정 트리(Decision tree)를 이용하여 보령시와 포항시의 지하수 산출 유망도를 작성하는 과정에서, 평균 관정 심도(mean depth of wells)와 양수량(well yield) 간의 관계로부터 보령시와 포항시에서 각각 4.55 m3/day/m 및 6.25 m3/day/m의 비양수량을 산출성이 높은 관정의 기준(SPC)으로 도출하였다. 유사하게 Lee et al.(2012)도 굴착 심도의 2/3를 수위 하강으로 가정하고, 기준(SPC)을 도출하였는데, 양수량(Well yield)을 500 m3/d 또는 300 m3/d로 달리하여, 2개의 서로 다른 SPC를 적용할 경우, GPM의 정확도가 달라질 수 있다는 것을 보여주었다.
이외에도 KIGAM(2023)이 Fig. 4a와의 비교를 목적으로 FR을 이용하여 낙동강권역의 GPM을 평가하기 위해(Fig. 8a), 비양수량 자료의 3분위수(9.84 m3/day/m)를 산출량이 큰 관정의 기준으로 활용한 바 있다. FR은 주제도 j에서 등급별(k)로 산출량이 큰(예: 비양수량 9.84 m3/day/m 이상) 관정의 빈도비(FRjk)를 계산한 후 격자 i 에서 모든 주제도의 빈도비를 합하여 산출 능력(FRi)을 비교하는 방법이다.

여기서 Tw와 Wjk는 각각 산출량이 큰 관정의 총 개수(또는 총 면적)와 주제도 j의 등급 k 지역에 속한 관정의 개수(또는 면적)이고, Tp와 Pjk는 각각 평가 지역의 총 격자수(또는 면적)와 주제도 j의 등급 k 지역에 속한 격자의 수(또는 면적)이다. FRjk 은 TOPSIS에서 사용한 주제도 j의 등급별(k) 평가점수(xjk)와 AHP 가중치(wj)가 중첩된 의미로써, FRjk 를 wj × xjk 와 비교하면 Table 6과 같다. 여기서 FRjk 은 산출량이 큰 관정의 70%를 훈련 자료(Fig. 8a의 train data)로 임의로 뽑은 후 평가한 결과이다.
수문지질단위, 지표수와의 거리, 선형구조 밀도, 경사도의 경우, FRjk 와 wj × xjk 가 같은 경향을 보였다. 예를 들면, 경사도의 경우, 경사도가 증가하면서 wj × xjk 와 FRjk 이 모두 감소하였다. 그러나 하천 배수밀도, 토양배수도는 반대 경향을 보이고 있다. 단층 선밀도, 등수심선도, 토지이용/피복도, 연평균 강수량은 일정한 경향을 보이지 않았다. 학습 자료(비양수량이 9.84 m3/day/m보다 큰 관정)가 낙동강권역의 불균질성을 반영하기에 충분하지 못했던 것으로 보인다. 이는 학습 자료가 불충분할 경우, 통계기반 모형이 설명하기 어려운 빈도비 패턴을 보일 수 있다는 것을 보여준다. 유사하게 기계학습의 경우, 높은 예측 정확도의 원리를 물리적으로 이해할 수 없다는 단점이 있으며, 이외에도 학습 자료의 특성에서 벗어나는 상황은 예측하기 어렵다는 단점이 있다.
평가 방법의 특성 차이로 인해 Fig. 4a의 산출 등급에는 단층 선밀도가 큰 영향을 미쳤으나, Fig. 8a에서는 미비한 영향을 미쳤다(Table 6의 낮은 FRjk). 반면 Fig. 8a에서는 경사도와 토지이용/피복도가 큰 영향을 미쳤는데, 이와 같은 차이로 인해 Fig. 4a와 Fig. 8a의 GPM이 서로 다른 분포 특성을 보이고 있다. 동일한 주제도를 사용했음에도 불구하고 평가 방법에 따라 결과가 달라질 수 있다는 것을 보여준다.
향후 GPM 평가 방법의 선정 절차에 관한 기준이 마련될 필요가 있다. 또한 통계 및 기계학습 모델을 이용할 경우, 모델을 학습시키기 위해 높은 산출성의 기준에 관한 연구가 필요하다. Abesser and Lewis(2015)은 반정량적인(semi-quantitative) 방법으로 영국 잉글랜드 웨일스(England and Wales)에서 암반 대수층의 산출 능력(po- tential aquifer productivity)을 평가하였는데, 대수층의 산출 능력을 등급으로 구분하기 위해, 양수량의 누적빈도분포(cumulative frequency distributions)를 도시하고, 중앙값과 분위값을 활용하여, 양수량이 크고(>6 L/s) 작음(<1 L/s)을 평가할 수 있는 기준을 설정하였다. 유사한 방법을 비양수량 또는 투수량계수에 적용할 수 있을 것으로 보인다.
한편, 지금까지 언급한 방법들은 GPM을 산출 등급(예: 높음, 중간, 낮음)으로 평가한다. 만약 양수량, 비양수량, 투수량계수 등 산출 능력을 대변해 주는 물리적 변수가 공간적으로 예측된다면, 더 유용한 GPM으로 활용될 수 있을 것으로 보인다. 예를 들면, Fig. 2의 주제도를 보조변수로 활용하여 비양수량 자료의 공간 분포를 정확히 예측할 수 있다면, 물리적으로 의미(m3/day/m)를 가지는 GPM을 얻을 수 있을 것으로 보인다. 그러나 이 경우, 비이상적으로 높거나 낮은 관측치(이상치) 처리의 어려움이 있으며, 예측하고자 하는 물리적 변수가 공간적으로 불균질하게 존재할 경우, 예측의 신뢰도가 낮아질 수 있다.
4.3. 평가 결과의 해석
GPM 평가 결과를 3-5개의 등급으로 나누는 방법에 따라, 평가 결과(예: 산출 가능성이 높은 지역)가 달라질 수도 있다. 연속형 자료의 등급 구분에는 등분위(Quantile), 등간격(equal interval), Jenks natural breaks 등이 자주 활용된다. GPM에 등분위가 자주 사용된다는 것을 고려하여(Razandi et al., 2015), TOPSIS 결과(상대적 근접도 (Ci*))를 등분위를 이용하여 5개의 등급으로 구분한 것이 Fig. 4a의 GPM이다. VH, H, M, L, VL 그룹의 면적 비율이 동일하게 20%가 된다. Jenks natural breaks도 GPM 평가에 종종 사용되는 편인데(Chaudhry et al., 2021; Rasool et al., 2022; Jenifer and Jha, 2017), 이를 적용할 경우 결과가 달라지는 것을 알 수 있다(Figs. 4b and 6c). Fig. 4b의 경우, VH, H, M, L, VL 그룹에 속하는 면적이 각각 14%, 28%, 26%, 19%, 13%가 되며, L그룹을 제외할 경우, VH에서 VL로 갈수록 비양수량의 중앙값이 줄어들었다(Fig. 6c). GPM을 평가하는 방법 뿐만 아니라 평가 결과의 등급을 구분하는 방법에 대한 주의도 요구되는 것을 알 수 있다.
현재 등급 구분 방법에는 정해진 규칙이 없으며 연구자의 선호도에 따라 달리 사용되고 있다. Lee and Lee (2015)는 결정 트리(Decision tree) 모델 결과를 지도상에서 육안으로 해석하기 쉽도록 3개의 등급으로 나누었다. Tolche(2021)은 가중치 부여 방식으로 지하수 산출 지수를 평가한 후, 이를 등간격으로 구분하여 5개 등급(very good, good, moderate, poor, very poor)으로 나누었다. Lee et al.(2019)는 FR과 BCT(boosted classification tree) 결과를 quantile classification technique을 이용하여 5개 등급으로 구분하였으며, Razandi et al.(2015)은 AHP, FR, CF 결과를 quantile classification technique을 이용하여 4개 등급으로 구분하였다. Rasool et al.(2022)는 6가지 기계학습방법의 결과를 natural breaks를 이용하여 4개의 등급(excellent, good, moderate, poor)으로 구분하였다. Naghibi et al.(2020), Prasad et al.(2020), Shabani et al.(2022) 등은 등급 부여 방식을 상세히 설명하지 않았다.
4.4. 평가 결과의 검증
신뢰성 높은 GPM을 얻기 위해서는 평가와 아울러 검증이 중요하나, 검증의 어려움으로 인해 대부분의 연구에서 검증이 제대로 이루어지지 못하고 있다(Díaz-Alcaide and Martínez-Santos, 2019). Das(2019)에 따르면, receiver operating characteristics(ROC) analysis, area under curve (AUC), 현장 조사를 통한 지하수 양수량의 평가 등이 GPM 검증에 널리 활용된다.
AUC는 ROC 곡선 아래 영역으로, AUC가 높다는 것은 클래스(예: 산출 등급)를 구분하는 모델의 성능이 뛰어나다는 것을 의미한다. Das (2019)은 IF, FR, AHP의 성능을 검증하기 위해 등급별 누적 면적(cumulative areas)과 누적 관정 수(cumulative number of wells)를 도시하여 AUC를 계산한 후, FR(75%)이 IF(71%)와 AHP (70%)와 비교하여 뛰어난 성능을 보이는 것을 확인하였다. 유사하게, Razandi et al.(2015)은 AHP, FR, CF를 통해 얻어진 GPM 결과에 대해 ROC 곡선을 구성하고, AUC를 계산한 후 성능을 비교하였다. FR 모델 결과(77.55%)가 AHP(73.47%) 및 CF (65.08%) 모델 결과보다 성능이 우수한 것으로 나타났다. Hasanuzzaman et al. (2022)의 경우, AUC를 이용하여, 기계학습방법(RF(85.3%)와 NB (Naïve Bayes; 85.5%))이 AHP(78.8%)와 FR(81%)와 비교하여 성능이 뛰어나다는 결론을 내렸다. 낙동강권역에서도 FR은 유사한 AUC(79%)를 보였다(Fig. 8b). 여기서 AUC는 훈련 자료로 사용되지 않은 비양수량 자료(Fig. 8a의 test data)를 이용하여 평가한 결과이다.
AHP나 TOPSIS와 같은 MCDM을 이용하여 GPM를 평가할 경우, 검증에 이용되는 정보(예: 비양수량, 투수량계수)를 GPM 평가에 이용하지 않는다. 반면 통계기반(예: FR) 또는 기계학습 모델의 경우, 모델 검증에 활용될 정보를 훈련 자료(train data)와 평가 자료(test data)로 구분한 후, 훈련 자료를 이용하여 예측 모델을 만들고 평가 자료를 이용하여 성능을 평가한다. 따라서 통계기반(예: FR) 또는 기계학습 모델의 경우 AUC를 통해 평가하는 성능이 MCDM보다 높을 수 있다.
한편, Jenifer and Jha (2017)은 관정의 양수량 자료를 이용하여 GPM을 검증하는 것은 과학적으로 합리적이지 않을 뿐만 아니라, 대부분의 지역에는 GPM 검증에 이용할 관정이 없다고 주장하며, 새로운 검증 방법(Dynamic Groundwater Potential, DGWP)을 고안하였다. DGWP은 지하수위 변동 구간에서 이용가능한 지하수량으로, 해마다 충진되는 양이다. 개발가능한 부존량(exploitable groundwater reserve)으로도 불리며 식(10)과 같이 평가 가능하다.

여기서 Sy, A, Dh은 각각 비산출량(specific yield), 폴리곤의 면적, 지하수위 변동폭이다. Jenifer and Jha(2017)은 DGWP를 계산한 후 natural break를 이용하여 5개의 등급으로 구분한 후 MCDM으로 얻어진 GPM 검증에 활용하였다.
이 연구에서는 Shabani et al.(2022)과 유사하게 GPM (Fig. 4a)과 비양수량 분포(Fig. 1b)를 비교하며 정성적으로 검증하였으며, 정량적 검증을 위해 등급별 비양수량의 중앙값을 비교하였다(Fig. 6a). 지금까지 살펴본 해외 사례를 참고할 경우, 비양수량 대신 양수량을 GPM 검증에 활용할 수도 있다(Tables 1 to 3). 아일랜드 지질조사국(Geological Survey Ireland, 2023)은 광역적으로 중요한 대수층의 경우 400 m3/d 이상의 양수량을 제공할 수 있어야 하고, 지역적으로 중요한 대수층의 경우, 100-400 m3/d의 양수량을 제공할 수 있어야 한다고 제시하고 있다.
|
Fig. 7 Revised depth to groundwater (a) and GPM (b). The depth to groundwater was estimated by using Co-kriging with the distance to surface water in Fig. 2d as a supplementary data. |
|
Fig. 8 Groundwater potential map (GPM) using frequency ratio analysis. (a) Grouping based on quantiles, (b) Normalized cumulative number of wells vs. normalized cumulative area from VH to VL. In (a), the train data (70%) were used for estimating frequency ratios, while the test data (30%) were used for evaluating the FR model in (b). |
낙동강권역 지하수 산출 유망도(groundwater potential map, GPM)를 작성하기 위해서 연구 지역을 300 × 300 m 크기의 약 34만개 격자로 구분하였다. 지하수 산출성에 영향을 미치는 것으로 알려진 수문지질단위, 단층선밀도, 등수심, 지표수까지의 거리, 선형구조밀도, 경사도, 하천배수밀도, 토양배수도, 토지이용도, 연평균 강수량의 정보를 주제도 형식으로 구축하였으며, 10개의 주제도를 연계하여 GPM을 작성하기 위해 AHP를 이용하여 각 주제도의 가중치를 결정하였다. 이후 AHP를 통해 계산된 가중치를 TOPSIS에 적용하여 격자들의 산출 유망 순위를 결정하고, 동일한 비율(20%)로 5개 등급(Very high(VH), High(H), Moderate(M), Low(L), Very low(VL))으로 구분하였다. 산출 유망도가 가장 높을 것으로 예상된 그룹(VH)의 비양수량 중앙값(5.2 m3/day/m)이 가장 크고, 공간적으로 비양수량이 낮은 곳에서 산출 유망 등급이 낮게 평가되어, GPM은 비교적 합리적이라고 판단되었다. 그러나 낙동강권역에 걸쳐 비양수량 자료가 공간적으로 골고루 분포하지 않아 충분한 검증은 이루어지지 못하였다.
물이용취약지역에서 지하수 개발 유망지를 선정하고 대용량 관정 개발의 성공률을 높이는데 GPM을 활용하기 위해서는 다음과 같은 연구가 추가적으로 필요한 것으로 보인다. 우선, 주제도의 해상도와 신뢰도를 향상시킬 필요가 있다. 둘째, 전문가의 주관적 의견에 의존하는 다기준의사결정방법을 대신하여 비교적 객관적인 통계기반모형 및 기계학습방법을 활용하여 GPM을 작성할 필요가 있는데, 이 경우 모델을 학습시키기 위해 지하수 산출 능력을 대표할 만한 자료가 필요하다. 마지막으로 평가 결과를 해석(예: 등급 구분) 및 검증하는 방법에 대한 연구도 필요하다.
본 연구는 한국지질자원연구원의 주요사업(23-3411)의 지원으로 수행되었으며, 이에 감사드립니다.
This Article2023; 28(6): 71-89
Published on Dec 31, 2023
Services
Correspondence toKorea Institute of Geoscience and Mineral Resources (KIGAM), Daejeon 34132, Korea