
Kyu-Young Shim1, Kwangjin Park2, Seungwoo Lee2, Jongmin Choi2, Subin Choi2, Jinsung An1,3*, Kyoungphile Nam4
1Department of Smart City Engineering, Hanyang University, Ansan 15588, South Korea
2Daeil Engineering & Consulting Co., LTD
3Department of Civil and Environmental Engineering, Hanyang University, Ansan 15588, South Korea
4Department of Civil and Environmental Engineering, Seoul National University, Seoul 08826, South Korea
심규영1·박광진2·이승우2·최종민2·최수빈2·안진성1,3*·남경필4
1한양대학교 ERICA 스마트시티공학과
2(주)대일이앤씨
3한양대학교 ERICA 건설환경공학과
4서울대학교 건설환경공학부
This article is an open access article distributed under the terms of the Creative Commons Attribution Non-Commercial License (http://creativecommons.org/licenses/by-nc/4.0) which permits unrestricted non-commercial use, distribution, and reproduction in any medium, provided the original work is properly cited.
Diffusive gradients in thin films (DGT) are passive sampling devices used to determine the time-weighted average concentrations (TWAC) of contaminants. To ensure accurate performance in groundwater, it is crucial to identify environmental characteristics and maintain optimal operational conditions. This study examined the deployment time required to reach effective capacity, the thickness of the diffusive boundary layer (DBL) under stagnant water conditions, and biofilm formation on the DGT surface using groundwater samples. When using DGT with Chelex gel (A=3.14 cm²), the effective capacity was 0.7 mg for Cd and 250 mg for Zn, with a deployment time of 24 h. Lower Cd accumulation was due to the competition effect of coexisting ions. The DBL thickness under stagnant conditions was 0.074 cm, 93% of the diffusion gel's thickness (0.08 cm). Neglecting DBL thickness in TWAC calculations led to a 79% decrease in the determined concentration. No biofouling was observed during the 28-d DGT deployment in groundwater. In conclusion, it is essential to consider the appropriate deployment time, DBL thickness, and biofilm formation to ensure accurate DGT performance in determining contaminant levels in groundwater.
Keywords: diffusive gradients in thin films, deployment time, effective capacity, diffusive boundary layer, biofilm
지하수는 중요한 수자원으로, 식수, 농업용수, 산업용수 등으로 사용되고 있다. 그러나 지하수는 자연적 요인 및 인위적 활동으로 인한 중금속 오염으로 인해 인체 건강 및 생태계에 위협을 초래할 수 있으며(Burri et al., 2019), 이러한 이유로 지하수 내 중금속 모니터링의 중요성이 대두되고 있다. 중금속 모니터링 방법 중 전통적인 그랩 샘플링(grab sampling) 방법은 운반 과정 중 시료의 변질로 인해 측정 결과의 왜곡 가능성이 있는 반면에 diffusive gradients in thin films (DGT)는 운반 과정 없이 환경 매질에서 곧바로 확산을 통해 결합 겔에 오염물질을 축적하여 시간 가중 평균 농도(time-weighted average concentration; TWAC)를 산출함으로써 이러한 문제를 극복할 수 있다. 그에 따라 하천수, 호소수, 퇴적물, 토양을 포함한 다양한 환경 매질에서 오염물질 모니터링 기술로 주목받고 있다.
DGT는 비교적 간단한 설치와 유지보수가 가능하며, 시공간적 변동을 반영할 수 있는 장점이 있지만 지하수 내 DGT를 배치하기 위해서는 하천수, 호소수, 퇴적물, 토양 등과 달리 DGT 축적에 영향을 미칠 수 있는 인자를 확인할 필요성이 있다. 지하수와 같이 유속이 매우 느린(<2 cm/s) 환경에서 DGT를 배치할 경우, DGT 표면에 확산경계층(diffusive boundary layer; DBL)이 형성될 수 있다. Warnken et al. (2006)은 교반 속도에 따른 확산경계층의 두께를 도출하는 실험을 진행하였으며, 충분한 유속을 부여할 경우(i.e., 교반속도 1,000 rpm을 부여한 경우) 확산경계층의 두께는 0.023 cm로 도출되어 확산 겔의 두께(0.08 cm) 대비 상대적으로 작게 나타났으나, 유속이 줄어듦에 따라 확산경계층의 두께는 점차 커졌으며 유속을 부여하지 않은 경우 확산경계층의 두께가 0.15 cm까지 늘어날 수 있다고 설명했다.
현재까지 지하수에 DGT를 적용한 사례는 많지 않으며, 유속을 부여하지 않는 환경에서 생길 수 있는 확산경계층의 두께를 적용(0.15 cm)하거나, DGT shaker와 같은 기기를 통해 유속을 부여해 확산경계층의 영향을 최소화하고자 했다(Alakangas et al., 2014; Mohammadi et al., 2022). Lucas et al. (2014)은 지하수 내 DGT를 배치하기 전 실험실에서 유속을 부여하지 않고 DBL의 두께를 도출하는 실험을 진행했으며, 도출된 두께는 0.04 cm로 지하수 내 DGT를 배치할 때 산출된 두께를 사용하며 확산경계층의 영향을 반영하고자 했다. 이처럼 지하수와 같은 유속이 거의 없는 환경에서 DGT를 배치할 경우, 여과막 표면에 확산경계층이 형성되어 확산층 두께의 증가를 초래해 DGT 축적에 영향을 미칠 수 있으므로 확산경계층의 형성 여부 및 영향에 대한 고려가 필요하다.
DGT를 장기간 배치할 경우 조류, 박테리아, 곰팡이 및 세포들로 이루어진 생물막(biofilm)이 여과막 표면에 불활성 확산층을 형성하여 결합 겔 내 중금속 축적량에 유의미한 영향을 끼칠 수 있다(Wang et al., 2020). Pichette et al. (2009)은 담수 양식장에서 인산염 측정에 대한 조류 생물막의 영향을 평가했다. DGT 배치 3~4일 후 생물막이 형성되었으며, 배치 14일 후 측정한 인산염 축적량은 대조군 대비 약 80% 감소한 것을 관찰했다. Wang et al. (2020)은 폐수처리장의 유입수와 유출수에 DGT를 배치하여 생물막의 형성을 관찰했다. 폐수처리장에서 회수된 DGT를 이용해 생물막이 형성된 여과막을 분리하여 새로운 DGT에 재조립하였고, 생물막의 영향을 받지 않은 새로운 DGT와 함께 배치하여 emerging organic pollutants (EOPs)의 축적량을 평가한 결과 생물막으로 인해 EOPs 중 propylparaben의 축적량이 20% 감소하는 것을 확인했다. Uher et al. (2017)은 강에 DGT를 22일 동안 배치하여 결합 겔에 축적된 중금속의 양과 22일의 배치 기간 동안 생물막이 없을 경우의 계산된 예상 축적량을 비교하여 생물막의 영향을 평가했다. 생물막으로 인해 예상 축적량 대비 약 2배~3배 축적량이 감소하는 모습을 확인하였고, 납의 경우 7배, 아연은 4배의 차이를 보였다. 이전 연구들에서는 적용된 환경 매질에 관계없이 생물막의 형성을 최소화하기 위해 DGT의 배치 기간을 10일 이하로 권장했다(Uher et al., 2012; Uher et al., 2017; Wang et al., 2020).
본 연구에서는 현장 지하수를 이용해 평가한 유효 용량 기반 배치 기간을 결정하고자 하며, 정체 조건에서의 확산경계층의 두께를 결정하고, 이의 영향을 정량화하고자 한다. 또한 DGT를 지하수에 장기간 배치할 경우 발생할 수 있는 생물막의 영향을 파악하고자 한다. 이를 통해 지하수 내 중금속을 모니터링하기 위한 DGT의 적용 가능성을 평가하고, DGT를 배치하기 전 고려해야 할 사항을 확인하고자 한다.
2.1 DGT 구성 및 기본 원리
DGT는 Fig. 1과 같이 여과막(membrane filter), 확산 겔(diffusive gel), 결합 겔(binding gel)로 구성되어 있다. 여과막은 일반적으로 0.45 mm의 공극 크기와 0.14 mm 두께를 가졌으며, 확산 겔을 보호하고 입자상 물질을 제거하는 역할을 한다. 0.8 mm 두께의 agarose crosslinked polyacrylamide (APA 확산 겔)는 여과막을 거친 용존상의 중금속이 일정한 속도로 확산할 수 있게 제어하는 역할을 하며, 결합 겔에는 확산 겔을 통해 확산된 중금속이 축적되어 농도구배가 유지될 수 있게 한다. 본 논문에서는 비소를 분석하기 위해 Metsorb gel을 사용했으며, 카드뮴과 아연을 분석하기 위해 Chelex gel을 사용했다.
DGT의 결합 겔은 포화되기 전까지 지속적으로 중금속을 축적시키므로, 결합 겔 표면에서의 중금속 농도를 0으로 가정하여 Fick의 제 1확산 법칙을 적용한다. 지하수에 배치 후 특정 시간(t)이 지나 DGT를 회수하여 결합 겔에 축적된 중금속을 용출하는 과정을 통해 결합 겔에 축적된 중금속의 양(M)을 Eq. (1)을 통해 결정한다. 1 M HNO3 1 mL로 카드뮴과 아연을 용출하였고, 비소는 1 M NaOH 1 mL로 용출하였으며, 용출 계수(fe)는 기존 문헌에 따라 비소 0.88, 카드뮴 0.86, 아연 0.88를 이용했다(Panther et al., 2014; Devillers et al., 2017).

여기서, M은 결합 겔에 축적된 중금속의 질량(mg) 이다. Ce는 용출액 내 중금속의 농도(mg/L)로 ICP-MS와 같은 정량분석기기를 통해 얻을 수 있다. Vg는 결합 겔의 부피(mL)이며, Ve는 용출액의 부피(mL)이다. fe는 중금속의 용출 계수(dimensionless) 이다.

Eq. (1)을 통해 결정된 질량(M)을 Eq. (2)에 대입함으로써 지하수 내 중금속의 농도를 도출할 수 있다. 여기서 CDGT는 시간 가중 평균 중금속 농도(mg/L)이며, △g는 확산 겔+여과막의 두께(material diffusive layer; MDL)로 0.094 cm이다. D는 중금속의 확산계수(25oC 조건에서 비소 5.50×10-6 cm2/s, 아연 6.08×10-6 cm2/s, 카드뮴 6.09×10-6 cm2/s)이며, A는 여과막의 면적으로 3.14 cm2이다. t는 DGT 배치 시간(s)을 나타낸다.
2.2 지하수 수질 특성
지하수 내 DGT를 배치하기 위한 조건을 확인하기 위해 △△부지 지하수를 양수 관정을 이용하여 20 L 채취했다. 지하수 수질 특성 중 pH 및 산화환원전위(oxidation reduction potential; ORP)는 Thermo Scientific Orion Star A216(Thermo fisher scientific, USA)을 사용하여 측정했으며, 전기전도도(electrical conductivity; EC)는 HANNA HI9813-6(HANNA instruments, USA)을 사용하여 측정했다. 비소와 카드뮴, 아연의 농도는 inductively coupled plasma mass spectrometer(ICP-MS; 7800 ICP/MS, Agilent Technologies, USA)를 통해 측정했다.
2.3 DGT 유효 용량 평가
노출 면적(exposure area)이 3.14 cm2인 DGT를 사용할 경우, Chelex gel의 이론적 최대 축적량은 0.021 meq/disk로 알려져 있으며(Chang et al., 1998), 카드뮴 및 아연이 단독으로 존재할 경우 각각 1180 μg 및 686 mg을 축적할 수 있다(Bennet et al., 2011). 비소를 축적하기 위한 3.14 cm2 면적의 Metsorb gel의 이론적 최대 축적량은 82 mg으로 알려져 있다(Bennett et al., 2011). Jiménez-Piedrahita et al. (2017)의 연구에 따르면 DGT 내 축적되는 중금속이 평형 상태를 벗어나거나 이온 간의 경쟁 효과로 인해 이론적 최대 축적량에 비해 적게 축적될 수 있으며(i.e., 비선형적 축적이 발생할 수 있으며), 이를 방지하기 위해 대상 중금속에 대한 현장 특이적 유효 용량(effective capacity)을 결정할 필요가 있다.
2.4 확산경계층의 영향
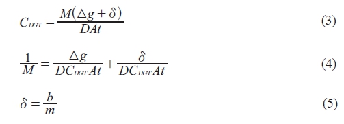
Warnken et al. (2006) 및 Turner et al. (2014)에 따르면, 유속을 부여하지 않을 경우 확산경계층의 두께는 최대 0.15 cm까지 형성될 수 있으며, 이는 중금속의 확산 거리 증가(△g +δ)로 이어져 측정 결과의 과소평가를 유발할 수 있는 것으로 알려져 있다. 본 연구에서는 확산경계층으로 인한 중금속 농도의 과소평가를 보상하기 위해서 Eq. (2)에 확산경계층의 두께(δ)를 포함하여 Eq. (3)으로 중금속 농도를 도출하고자 한다. 확산경계층의 두께(d)는 서로 다른 두께의 확산 겔을 가진 DGT를 배치함으로써 Eq. (4)를 이용해 DGT 내 결합 겔에 축적된 중금속 질량의 역수(1/M)를 y축에, 확산 겔과 멤브레인 필터의 두께의 합(MDL)을 x축에 Fig. 2와 같이 도시한 후 Eq. (5)를 이용해 도시된 그래프의 선형 회귀식 기울기(m)와 y 절편(b)을 이용하여 값을 결정할 수 있다. 본 연구에서는 0.78 mm, 1.18 mm, 1.56 mm, 1.95 mm의 두께를 가진 확산 겔을 사용하여 평가했다.
확산경계층이 형성될 경우 DGT 표면에서 측면 확산(lateral diffusion) 또한 발생할 수 있어, 여과막의 면적을 기존 3.14 cm2가 아닌 3.8 cm2로 계산해야 한다는 연구 결과 또한 존재한다(Warnken et al., 2006; Davison and Zhang, 2012). 관련 문헌에 따라 여과막 면적(A)을 3.14 cm2에서 3.8 cm2로 변경하여 적용했다.

2.5 생물막의 영향 여부 평가
수 환경에 DGT를 장기간 배치할 경우 DGT 여과막 표면에 생물막이 형성되어 결합 겔에 축적되는 중금속 질량의 과소평가를 야기할 수 있다. Uher et al. (2012)은 도시 유출수에 DGT를 1, 3, 7, 10, 14일 동안 배치한 후 회수된 DGT의 여과막을 분리해 새로운 DGT에 재조립하고 카드뮴 또는 아연 100 mg/L의 단일 원소 용액에 7시간 배치함으로써 DGT 평가에 미치는 생물막의 영향을 확인한 바 있다. 본 연구에서는 상기 실험방법을 차용하여 Fig. 3과 같이 △△부지 지하수에 Metsorb DGT를 5, 7, 10, 14, 21, 28일 동안 배치한 후 회수된 DGT의 여과막을 새로운 DGT에 재조립하고, sodium arsenate dibasic heptahydrate (HAsNa2O4·7H2O, Sigma Aldrich)를 사용하여 제조한 1 mg/L의 비소 용액에 4시간 동안 배치하여 생물막의 영향을 평가했다.
|
Fig. 1 Schematic diagram of DGT consisting of a membrane filter, diffusion gel, and binding gel. It operates on the principle that contaminants in the environmental media pass through the membrane filter, diffuse according to Fick’s first law, and accumulate in the binding gel. |
|
Fig. 2 The reciprocal of the accumulated mass (1/M) in the binding gel plotted against the material diffusion layer (MDL, defined as the sum of the diffusion gel and membrane filter thicknesses). The solid line indicates the result of linear regression, which can be used to determine the thickness of diffusive boundary layer (DBL). |
|
Fig. 3 Schematic diagram of the experiment to assess the effect of biofilm formation on the surface of DGT on the concentration of As accumulated in the binding gel. DGTs were deployed in groundwater for 5 to 28 days. After retrieval, membrane filters were recovered and inserted into new, clean DGTs. These replaced DGTs were then exposed to a solution containing As at a concentration of 1 mg/L to assess the effects of biofouling. To avoid potential underestimation of accumulated mass due to stationary flow conditions, additional DGTs with different thicknesses of diffusion layers were deployed to determine the thickness of the diffusive boundary layer (DBL). |
3.1 지하수 수질 특성 결과
△△부지 지하수 수질 특성 측정 결과 pH 6, ORP 220 mV, EC 666 mS/cm, 비소 0.048 mg/L, 카드뮴 0.12 mg/L, 아연 12.7 mg/L로 확인되었다. 특정 수준을 초과 또는 미달하는 pH는 대상물질의 확산계수의 변화를 야기해 DGT를 활용한 농도 측정 결과에 유의미한 영향을 미칠 수 있다. 카드뮴의 경우 pH 4.5~10의 범위에서, 아연의 경우 pH 4~8의 범위에서, 비소의 경우 pH 3.5~8.5의 범위에서 대상물질의 축적 성능에 유의한 변화가 없는 것으로 확인된 바 있다(Bennett et al., 2010; Gimpel et al., 2001; Panther et al., 2014; Price et al., 2013; Zhang and Davison, 1995). △△부지 지하수의 경우 pH 6으로 확인되어 DGT를 배치하기 적정한 수준으로 판단된다.
3.2 DGT 배치 기간을 결정하기 위한 결합 겔 내 유효 용량 평가
지하수 내 중금속 농도를 측정하기 위해 △△부지 지하수를 이용해 DGT Chelex gel의 유효 용량을 평가했다. Fig. 4에서 카드뮴은 24시간, 아연의 경우 48시간 동안 선형성을 보였으며, 이후 유효 용량에 도달한 것을 확인할 수 있다. 따라서 △△부지 지하수에서 DGT를 배치할 경우 최대 24시간 동안 배치할 수 있다. 카드뮴의 유효 용량은 배치 기간 동안 최대 0.7 mg으로 나타났으며, 아연은 250 mg으로 나타났다. 카드뮴의 경우 Chelex gel의 이론적 최대 축적량에 비해 현저히 낮은 유효 용량을 나타냈는데, 이는 이온 간의 경쟁 효과에 기인한 것으로 판단된다.
Davison and Zhang (2012)은 용액 내 이온 간의 결합 부위에 대한 경쟁이 결합 겔의 유효 용량을 감소시키는 것으로 보고했다. Bennett et al. (2011)은 Metsorb DGT로 해수 내 비소 농도를 평가하였고, 이론적 최대 축적량(82 μg) 대비 유효 용량(52 μg)이 최대 37% 가량 감소하는 것을 확인하였으며, 해수 내 다량의 경쟁 이온의 존재에서 그 원인을 찾았다. 본 연구에서는 지하수 시료 내 카드뮴 농도(0.12 mg/L) 대비 아연의 농도(12.7 mg/L)가 105배 높음에 따라 Chelex gel에 대한 아연의 경쟁적 흡착에 의해 카드뮴의 유효 용량이 현저히 낮게 평가된 것으로 보인다. 이와 같이 DGT의 유효 용량은 수질 특성에 따라 상이하므로, 대상 환경매질에 따른 DGT의 유효 용량을 파악하여 배치 기간을 산정할 필요가 있다.
3.3 확산경계층을 고려한 CDGT 농도 측정
Fig. 2에 도시된 그림을 통해 도출된 확산경계층의 두께는 0.074 cm로 확인되었다. 본 연구에서 도출된 확산경계층의 두께는 확산 겔 두께의 93%로, 확산경계층을 고려함에 따라 확산층(MDL+DBL)의 두께가 약 2배가량 증가한 것을 확인할 수 있다. 확산경계층의 고려 유무에 따른 중금속의 시간 가중 평균 농도의 차이를 Fig. 5에서 나타냈다. 확산경계층을 고려하지 않고 DGT를 이용해 평가된 △△부지 지하수 중금속 농도는 카드뮴 0.073±0.017 mg/L 및 아연 7.126±0.004 mg/L였으며, 확산경계층을 고려하여 평가한 중금속 농도는 카드뮴 0.125±0.030 mg/L 및 아연 12.736±0.007 mg/L였다. 확산경계층의 고려 여부에 따라 약 79%의 농도 차이가 발생했으며, 유속이 느릴 경우 나타날 수 있는 확산경계층의 두께를 고려하여 농도를 도출함으로써 이와 같은 분석 오차를 방지할 수 있다.
Table 1은 다양한 유속에서의 확산경계층의 두께를 나타낸다. 충분한 유속을 가했을 경우 확산경계층의 두께가 0.023 cm인 것에 비해, 흐름이 거의 없거나 정지 상태인 경우 최대 0.15 cm까지 형성되는 것을 확인할 수 있다. 이는 유속이 느린 환경에서는 비교적 두꺼운 확산경계층이 형성될 수 있으며, 이는 DGT 측정 결과에 유의미한 영향을 끼칠 수 있음을 의미한다. 따라서, 정확한 농도 산출을 위해서는 유속이 낮을 때 확산경계층의 두께를 고려해야 하며, 이를 통해 보다 신뢰성 있는 데이터를 얻을 수 있다.
3.4 DGT 장기 배치에 따른 생물막의 영향
△△부지의 지하수에 DGT를 5~28일 동안 배치(배양)한 후 DGT의 여과막을 확인하였을 때 육안으로 관찰되는 생물막은 존재하지 않았다. 실험 후 회수한 여과막을 새로운 DGT에 옮겨 1 mg/L 농도의 비소 용액에 4시간 동안 배치한 후 생물막 형성을 위해 배치(배양)한 기간(5~28일)에 따른 TWAC를 Fig. 6에 도시했다. CDGT는 1 mg/L 농도의 비소 용액에 DGT를 배치하여 측정된 TWAC이며, Csol은 ICP-MS로 측정한 비소 용액의 농도(1 mg/L)이다. 생물막의 영향을 받지 않을 경우 CDGT/Csol은 1에 근접한다. 5일과 28일을 비교했을 때 유의미한 차이가 나지 않는 것으로 보아 △△부지 지하수의 DGT를 이용한 중금속 농도 측정 시 생물막의 영향은 유의하지 않은 것으로 판단된다.
Wang et al. (2020)은 도시 폐수처리장의 유입수와 유출수에서 8일, 15일간 DGT를 배치했다. DGT를 회수한 후 생물막 두께를 현미경으로 측정하였으며, 오염된 여과막을 새로운 DGT에 재조립하여 추가 실험을 진행했다. 실험 결과 2주까지 형성된 생물막은 화합물 대부분을 축적하는 데 영향을 미치지 않는 것을 확인했다. Uher et al. (2012)은 낮은 유속은 생물막 발달에 유리할 것으로 예상하여 0.07 cm/s로 유속을 제한하였고, 폐수를 이용해 생물막 형성 시점을 조사했다. 배치 기간은 1일~14일 동안 진행하였으며 회수된 DGT를 이용해 배치 기간에 따른 축적량을 비교하여 10일 이후 생물막으로 인해 축적량이 과소평가 되는 것을 확인했다. 또한 Uher et al. (2017)은 후속 연구로 강에 DGT를 3일~22일 동안 배치하여 15일 이후 생물막으로 인해 중금속 축적에 영향을 받는 것을 확인했다. Diez et al. (2018)은 강에서 채취한 생물막으로 실험을 진행하였으며, 추가로 저수지에서 실험을 통해 10일 이후 생물막의 영향으로 인해 축적량이 과소평가 되는 것을 확인했다. Paller et al. (2010)은 하천과 실험실 연구를 통해 DGT 배치 기간에 따른 생물막의 영향을 평가하였고, 5일의 배치 기간을 초과하는 경우 DGT는 중금속 축적 선형성을 벗어나게 될 수 있다고 설명했다. 강과 폐수 등에서 생물막은 5일~15일 사이에 형성되었고, 유기물의 함량과 유속, 수온과 같은 환경 요인에 따라 생물막이 형성되는 시점이 달라지는 것을 확인했다. Feng et al. (2010)은 계절에 따라 배치 기간별 생물막의 형성을 조사했다. 생물막의 성장 속도는 겨울<봄<가을<여름 순으로 증가하였으며, 계절에 따라 수온이 달라지며 생물막과 수온이 양의 상관관계를 나타냈고, 6일 이후 생물막의 성장으로 인해 DGT 축적에 영향을 끼친다고 설명했다.
환경에서 필수 영양소의 가용성은 생물막의 형성에 매우 중요한 역할을 한다. 생물막은 DGT 표면에 박테리아가 부착된 후 세포 외 고분자 물질(extracellular polymeric substance; EPS)의 성장과 생산을 통해 생겨난다(Ghazay and Mamdouh, 2021). 이는 지하수 내 영양소의 공급에 따라 생물막 형성에 상당한 영향을 미칠 수 있다. 지하수는 다양한 지질층을 통과하면서 영양소가 걸러지거나 희석되고, 산소가 부족한 환경인 경우가 많아 유기물과 영양소가 지표수에 비해 적어 박테리아가 번식하거나 생물막의 형성에 오랜 시간이 걸릴 수 있다.
|
Fig. 4 Accumulated mass of metals in the binding gel of DGT plotted against deployment time: (a) Cd, and (b) Zn. |
|
Fig. 5 Time-weighted average concentrations (CDGT) of (a) Cd and (b) Zn determined using DGT with and without consideration of the diffusive boundary layer (DBL) |
|
Fig. 6 The ratio of time-weighted average concentration of As (CDGT) divided by Csol (1 mg/L As) plotted against incubation time (5 to 28 d) to assess the impact of biofilm formation. The deployment time was fixed at 4 h for all incubation times of DGT. A CDGT/Csol ratio close to 1 indicates that the impact of biofilm formation is not significant for the calculation of TWAC. |
|
Table 1 Thickness of the diffusive boundary layer (DBL) at various flow velocities obtained from previous studies |
a ‘No stirring’ in the flow velocity column indicates that the experiment was conducted in stationary water conditions in the laboratory. |
본 연구에서 지하수 내 DGT를 배치하기 위한 조건 중 유효 용량(배치 기간), 확산경계층 및 생물막의 영향에 대해 평가했다. Chelex gel (A=3.14 cm2)의 이론적 최대 축적량은 카드뮴 1180 mg 및 아연 686 mg이지만, 본 연구에서 측정된 유효 용량은 카드뮴의 경우 0.7 mg, 아연의 경우 250 mg으로 나타났다. 공존 이온 간 경쟁으로 인해 이론적 최대 축적량에 근접하지 못한 것으로 판단되며, 따라서 현장 지하수의 특성에 맞는 유효 용량 기반 배치 기간 산정이 필요함을 확인했다. 지하수 내 DGT를 배치할 경우 확산경계층이 형성되어 결합 겔 내 중금속 축적량의 과소평가가 이루어질 수 있다. 본 연구에서는 확산경계층의 두께가 0.074 cm로 결정되었으며, 이를 TWAC 계산에 반영하지 않을 경우 79%의 과소평가가 이루어질 수 있음을 확인했다. 따라서 지하수에 DGT를 배치하여 중금속을 모니터링하기 위해서는 확산경계층을 고려한 TWAC 산정이 필요하다. 기존 문헌에서 DGT를 장기간 배치할 경우 생물막의 형성으로 인해 축적량이 과소 평가될 우려가 있는 것을 확인하였지만, 본 연구에서 생물막의 형성을 유도하기 위해 지하수에 DGT를 28일간 배치했음에도 불구하고 축적량에 유의미한 변화는 관찰되지 않았다. 이는 지하수의 경우 생물막이 발달하는 데 필요한 유기물과 영양소가 생성되기 힘든 환경을 가지고 있기 때문으로 판단된다. 그럼에도 불구하고 지하수 내 중금속의 ‘장기’ 모니터링을 위해 DGT를 적용할 경우, 생물막의 형성 및 그 영향에 관한 지속적인 관찰이 필요하다.
This research was supported by the Korea Environmental Industry & Technology Institute (KEITI) through Subsurface Environment Management (SEM) Projects (RS-2023-00220406) funded by the Korea Ministry of Environment.
This Article2024; 29(4): 12-20
Published on Aug 30, 2024
Services
Correspondence to1Department of Smart City Engineering, Hanyang University, Ansan 15588, South Korea
3Department of Civil and Environmental Engineering, Hanyang University, Ansan 15588, South Korea