
Suyeong Noh1 ㆍJin-Ho Choi2 ㆍJiyoung Kang1 ㆍSung-Wook Jeen1,2*
1Department of Environment and Energy, Jeonbuk National University
2Department of Earth and Environmental Sciences & The Earth Environmental System Research Center, Jeonbuk National University
노수영1 ㆍ최진호2 ㆍ강지영1 ㆍ진성욱1,2*
1전북대학교 환경에너지융합학과,
2전북대학교 지구환경과학과 & 지구환경시스템 연구소
This article is an open access article distributed under the terms of the Creative Commons Attribution Non-Commercial License (http://creativecommons.org/licenses/by-nc/4.0) which permits unrestricted non-commercial use, distribution, and reproduction in any medium, provided the original work is properly cited.
This study aimed to investigate seasonal changes in water quality and eutrophication indices in small-scale water bodies, focusing on Osongji and Deokjin Pond, located in Jeonju-si, Korea. Water quality was examined seven times between November 2022 and September 2023 at both locations. In the field, pH, Eh, electrical conductivity (EC), dissolved oxygen (DO), and water temperature were measured, while alkalinity, chemical oxygen demand (COD), chlorophyll-a, T-P, T-N, and anions (PO43--P, NO3--N, and SO42-) were measured in the laboratory. COD and T-N values increased in the summer due to precipitation, and T-P, a key factor influencing algal growth, showed similar trends to chlorophyll-a. Nutrients carried by summer precipitation also increased PO43--P, NO3--N, and SO42- levels. For eutrophication assessment, the TSIKO, a modified version of Carlson’s Trophic State Index (TSI) adapted for Korea, indicated hypereutrophic conditions in Osongji during heavy rainfall in June and July 2023, reflecting typical seasonal variations of algal growth. In contrast, Deokjin Pond showed no significant changes, attributable to its artificial nature. This suggests that small water bodies in natural settings are more susceptible to seasonal fluctuations and multiple factors should be considered in water quality management.
Keywords: Eutrophication, Water quality, Algae, Seasonal change, Surface water
산업화와 도시화로 인해 발생한 다양한 중금속, 유기 오염물질, 영양염류는 수질오염을 발생시킨다(Mozeto et al., 2014). 이 중 영양염류는 동식물의 성장과 생존에 필요한 화학적 요소이지만 과도하게 수계에 유입될 경우 수질오염의 주요 원인물질이 된다. 특히, 질소와 인은 부영양화를 일으키는 주요한 원인이 된다(Bhagowati and Ahamad, 2019; USGS, https://www.usgs.gov).
부영양화는 수체에 인과 질소 등의 영양염류가 과도하게 축적되어 식물성 플랑크톤이 과도하게 증식하는 현상이다(Vinçon-Leite and Casenave, 2019; Zhang et al., 2021). 이 때 조류의 증가는 산소 고갈, 독소 발생, 건강 위험 등의 피해를 가져오며 호소에서의 생태계와 수자원에 위험을 초래하는 가장 중요한 요인이다(Marchi et al., 2012; NIER, 2006). 이는 결국 생물 다양성의 감소와 생태계 붕괴를 초래할 수 있다(Bhagowati and Ahamad, 2019).
부영양화는 지하수와도 밀접한 연관이 있다. 농경지와 도심에서 발생한 오수는 지하수로 유입되고, 이 지하수는 주변 유역과 수체를 오염시킬 수 있다. 지하수에 인이 많이 포함될 경우, 지표수에 부영양화를 유발하거나 더 지속되게 만든다(Holman et al., 2008). 또한, 질산염이 지하수에 유입되면 황이나 철과의 상호작용을 통해 지하수가 공급되는 수체에서 인 부영양화가 발생할 수 있다(Smolders et al., 2010). 지하수에 유입된 질산염 또한 지표수에 유입되어 부영양화를 일으킬 수 있는데, 지하수에 유입된 질산염은 자연적 지질 매체와의 반응보다는 인위적인 오염으로 인한 유입이 주 원인이다(Lee et al., 2007). 따라서, 지하수는 지표수와 밀접한 관계를 갖고 있어 수계 유역의 지하수 오염 관리 또한 지표수 오염을 관리하고 대책을 수립하는 데 중요한 역할을 한다.
한국은 여름철 장마로 인한 집중 호우로 인해 육상에서 유래한 영양염류가 한꺼번에 수계로 유입되기 쉬운 기후적 특징을 가지고 있으며, 상대적으로 좁은 국토와 높은 인구 밀도로 인해 수질 오염에 취약하다. 또한, 한국의 호소는 대부분 인공적으로 조성된 수체로서, 산간 지역에 위치하며 주로 농업용수로 활용되고 있다. 이러한 수체들은 10 m 이하로 수심이 얕고 오래되어 조류가 크게 번성하고 부영양화 되어 깊은 유기물 퇴적층을 가지는 특성을 갖는다(Hwang et al., 2003). 국내에서는 지금까지 큰 규모에서의 호소의 연구는 비교적 많이 수행되었지만 소규모의 수체에 대한 연구는 많이 부족하며, 계절적 변화에 따른 부영양화 특성 변화에 대한 연구 또한 부족한 상황이다. 이전 연구 사례로서, Kim et al.(2012)은 환경부 수질측정망을 이용하여 금강 유역의 대규모 저수지 6개소에 대해 한국형 부영양화 지수를 이용한 수질 변화를 평가하였다. Hong and No(2022)는 농촌연구종합정보시스템에서 제공하는 611개의 농업용 저수지에 대하여 30년간의 월별 데이터를 수집하고 부영양화 지수를 이용하여 한국 호소의 부영양화 변화를 연구하였다. 이처럼 농업용 저수지의 수질 자체에 대한 연구는 수행된 바 있지만 소규모 수체에서 주변 지역 특성 고려 및 지하수-지표수 연계 관점에서의 부영양화 변화를 비교한 연구는 별로 없어 이에 대한 연구가 필요한 상황이다. 이러한 연구의 부재는 수질 오염 및 부영양화에 영향을 끼치는 요인을 파악하여 수질 오염에 대응하는 데 있어 제한 요소로 작용할 수 있다.
본 연구는 지역적으로 인접한 소규모의 두 수체에서 주변 지역 영향과 계절적 변화로 인한 지표수 수질의 변화와 부영양화 정도를 평가하고자 수행되었다. 연구지역으로는 전북특별자치도 전주시에 위치한 오송지와 덕진연못을 선정하였으며, 2022년 11월부터 2023년 9월까지 총 11개월간 계절에 따른 수질 오염 지표의 변화 및 수질오염 지표를 바탕으로 Carlson(1977)의 부영양화 지수(Trophic State Index; TSI)와 국립환경과학원(NIER, 2006)의 한국형 부영양화 지수(TSIKO)를 평가하였다. 이를 통해 한국에 위치한 소규모 저수지에서 발생하는 수질 오염의 특징을 파악하고 이에 영향을 주는 환경적 특징에 따른 수질 변화를 평가하고자 하였다. 이 연구는 계절에 따른 수질 변화를 파악하여 수질 관리 방안을 수립하는데 있어 기초적인 자료가 될 수 있으며, 수자원 보호와 수질 관리를 위한 정책 마련에 기여할 수 있을 것으로 생각된다.
2.1. 연구지역
연구지역으로는 소규모의 수계를 대표할 수 있으면서 주변 환경의 차이에 의해 지표수 수질의 영향이 다르게 나타날 수 있는 소규모 저수지 두 곳을 선정하였다. 연구지역으로 선정된 오송지와 덕진연못은 전북특별자치도 전주시 덕진구에 위치하고 있는 소규모의 수계이다(Fig. 1). 오송지는 완만한 구릉으로 둘러싸여 있고 그 주변에는 과수원이 위치하고 있다(Lee et al., 2019). 반면, 덕진연못은 전북대학교 내에 위치하고 있고 자연속에 위치한 오송지에 비해 도심에 둘러싸여 있다. 이러한 위치의 차이로 인해 두 수계는 주변 환경과 지표수의 유입과 유출의 형태가 다르다.
두 지역 모두 선행 연구에서 지하수와 지표수의 특성이 일부 연구된 바 있다. 오송지의 경우 시피지미터를 이용한 지하수의 유출입량(Lee et al., 2019)과 지하수가 지표수에 기여하는 시간적인 변화(Kim et al., 2020)를 평가한 연구가 있었다. 하지만, 지표수의 계절적인 변화와 부영양화에 대해 연구된 바는 없다. 덕진연못의 경우, 수생태 복원에 초점을 맞춘 연구(Choi et al., 2015), 시피지미터를 이용한 지하수와 지표수의 상호유동량에 대한 연구(Jo and Jeen, 2018), 그리고 덕진연못 주변 관정에서 동위원소를 이용한 하수에서의 지하수와 우수의 함량을 조사한 연구(Choi et al., 2016)가 있었지만, 마찬가지로 시간에 따른 지표수의 수질 변화에 대한 연구는 없었다.
오송지의 물은 남쪽에서 북쪽으로 흘러 북쪽 끝에 위치한 배출구로 빠져나가고, 그 아래 위치한 농업용수를 비축하기 위해 설치된 소규모의 댐에 저장된다(Kim et al., 2020). 오송지의 집수구역은 농경지가 전체의 70% 이상을 차지한다(Choi et al., 2015). 그리하여 주변 농경지로부터 유역에서 사용되는 비료에 포함된 영양염류가 지하수로 유입되거나 지표로 흘러들 수 있다. 오송지의 집수 구역 면적은 535,000 m2, 저수량은 47,200 m2으로 덕진연못의 반 정도의 저수량을 가지고 있다(Choi et al., 2015). 오송지는 주변에 유입이 될 수 있는 하천은 없으며, 강수와 지하수의 유입으로만 수위가 유지된다.
덕진연못의 경우, 과거에는 동북쪽에 위치한 전북대학교 내로부터 흘러 드는 소규모 하수로에서 유입이 있었고 서북쪽에 위치한 하천으로 물이 흘러 나갔다. 하지만 도시 공사로 인해 현재 지표수 유입은 모두 막힌 상태이다. 덕진연못 집수 구역 면적은 3,770,000 m2이며, 덕진연못의 전체 수면적은 99,174 m2이고, 저수량은 88,741 m3이다(Choi et al., 2015). 덕진공원의 인근 1 km 이내에는 오송지가 위치한 건지산과 천마산이 위치하고 있고, 덕진연못을 둘러싸고 있는 공원이 도심에 위치해 있다. 이러한 탓에 전주시 도심 지역에 비해 유역 내 불투수면의 비율이 낮은 편이다(Choi et al., 2015). 하지만 덕진연못은 전적으로 강수의 유입과 지하수 유입에 의존하고 있으며(Choi et al., 2015), 수질오염이 심한 탓에 주변 관정에서 지하수를 양수하여 공급받고 있다.
한국지질자원연구원이 발간한 삼례지질도폭(Hong and Kim, 1969)에 따르면, 오송지와 덕진연못 수계의 기반암은 시대 미상의 옥천계에 해당하는 전주층군 신동층 및 기린봉층을 중생대 백악기의 경상계 불국사층군 편상화강암이 관입하고 있다. 이 기반암을 현생퇴적층이 부정합으로 덮고 있다. 옥천계 전주층군 신동층은 석영편암, 천매암, 석회암으로 구성되어 있으며, 기린봉층은 천매암, 석영편암 협층으로 구성되어 있다. 이들 기반암은 심한 풍화로 인해 비교적 완만한 지형을 형성한다(Choi et al., 2015).
오송지와 덕진연못이 위치해 있는 전주시의 조사 기간 동안의 강수량 및 기상자료는 기상자료 개방포털(data.kma.go.kr)에서 제공하는 데이터를 이용하였다(Fig. 2). 조사 기간인 2022년 11월-2023년 9월 동안 평균기온은 14.4°C, 최고기온은 35.5oC, 최저기온은 -10.5°C였다. 장마기간은 2023년 6월 25일부터 7월 26까지 32일간 이어졌다. 일조율은 2023년 7월 34.9%의 최저치를 보였다. 이 연구에서 직접 측정한 지표수 수온의 경우, 계절에 따라 최저 7°C에서 최고 28.5°C까지 변화하였다.
2.2. 조사방법
덕진연못과 오송지의 수질 측정은 2022년 11월부터 2023년 9월까지 총 7회 실시하였다. 2022년 11월부터 2023년 6월까지는 두 달 간격으로 측정하였으며, 2023년 7월부터는 한 달에 한 번씩 측정하였다. 조사를 진행한 수질 기준 항목은 총 15 항목이며, 분석을 통해 얻은 결과 값을 이용하여 부영양화를 평가하기 위한 지수인 Tropic State Index (TSI) (Carlson, 1977)와 한국형 부영양화지수(TSIKO) (NIER, 2006)를 계산하였다.
현장에서는 pH, 수온, 산화-환원 전위(oxidation-reduction potential; ORP (Eh로 변환)), 전기전도도(electrical conductivity; EC), 용존산소(dissolved oxygen; DO)를 측정하였다. pH와 수온 측정에는 Orion STAR A215 (Thermo Fisher Scientific, 미국), Orion ROSS Ultra pH/ATC Triode electrode (Thermo Fisher Scientific, 미국)을 사용하였으며, ORP는 Orion STAR A215 pH/conductivity meter (Thermo Fisher Scientific, 미국)와 Orion Redox/ORP SJ Sure-Flow probe (Thermo Fisher Scientific, 미국)를 이용하여 측정하였다. 전기전도도는 Orion STAR A325 pH/conductivity meter (Thermo Fisher Scientific, 미국)와 Orion 013005MD conductivity cell probe (Thermo Fisher Scientific, 미국)를 사용하였다. 용존산소는 Orion Star A326 pH/Dissolved Oxygen Meter (Thermo Fisher Scientific, 미국)와 Orion RDO Dissolved Oxygen Probe (Thermo Fisher Scientific, 미국)를 이용하여 측정하였다.
물 시료는 1 L 멸균 채수병으로 매 조사마다 3병씩 채수하였고, 실험실로 옮겨와 알칼리도(alkalinity), 화학적산소요구량(chemical oxygen demand; COD), chlorophyll-a, 총인(total phosphate; T-P), 총질소(total-nitrate; T-N)를 분석하였다. 알칼리도 분석에는 0.45 μm cellulose acetate (CA) syringe filter (현대마이크로, 한국), 브로모크레솔 그린-메틸 레드 시약 (Hach Co., USA), 0.16 N H2SO4, Hach digital titrator (Hach Co., USA)를 사용하여 측정 후 mg/L CaCO3 농도로 환산하였다. COD, chlorophyll-a, T-P, T-N은 국립환경과학원고시 수질오염공정시험기준(NIER, 2022)에 따라 분석하였다. COD는 시료에 과망간산칼륨용액을 첨가하여 30분간 중탕한 후 옥살산나트륨용액을 첨가하고 과망간산칼륨 용액으로 엷은 홍색이 나타날 때까지 적정하였다. 적정에 소비된 과망간산칼륨용액의 양과 시료의 양으로부터 COD를 계산하였다. Chlorophyll-a는 0.45 μm CA membrane filter (현대마이크로, 한국)을 사용하여 여과한 후 아세톤에 마쇄하였다. 24시간 후 원심분리하여 자외선-가시광선 분광광도계(PG instruments, UK)를 이용하여 흡광도를 측정 후 농도를 계산하였다. T-P는 120°C에서 30분간 고압멸균기(원일테크, 한국)로 처리 후, 발색 시약을 넣고 15분 뒤 자외선-가시광선 분광광도계(PG instruments, UK)를 이용하여 흡광도를 측정한 후 농도 값으로 환산하였다. 방법 검출 한계(method detection limit; MDL)는 0.008 mg/L, 정량한계(limit of quantitation; LOQ)는 0.03 mg/L이다. T-N은 120°C에서 30분간 고압멸균기(원일테크, 한국)에서 처리한 후, 0.45 μm CA membrane filter를 사용하여 여과하였다. 이 후, 염산 시약을 첨가하여 자외선-가시광선 분광광도계(PG instruments, UK)를 이용하여 흡광도를 측정한 후 농도 값으로 환산하였다. 방법 검출 한계는 0.1 mg/L, 정량한계는 0.5 mg/L이다.
음이온 분석을 위해서는 ion chromatography (IC) (Dionex Aquion; Thermo Fisher Scientific, 미국)와 CHROMELEON 프로그램(Thermo Fisher Scientific, 미국)을 이용하여 NO3-(질산염), PO43-(인산염) 및 SO42-(황산염) 농도를 분석하였다. 표준시료로는 Dionex AS14 Eluent concentrate (Thermo Fisher Scientific, 미국)와 Dionex Seven Anion Standard II (Thermo Fisher Scientific, 미국)를 사용하였다. NO3-, PO43- 및 SO42-의 방법 검출 한계는 각각 0.1 mg/L, 0.2 mg/L, 0.08 mg/L이며, 정량한계는 각각 0.4 mg/L, 0.5 mg/L, 0.3 mg/L이다.
2.3. 부영양화 지수(Tropic State Index; TSI)
수질을 평가하기 위해 사용되는 개별 오염 지표들은 대체적인 오염 수준을 평가하는데 사용된다. 국내에서는 먹는물, 호소, 하천 등의 조건을 나누어 항목 별 농도에 따른 수질 오염 정도를 규정하고 있다(ME, 2020). 하지만, 각 항목만으로는 부영양화의 진행 정도와 위험성을 구체적으로 알기에는 한계가 있다. 따라서 부영양화에 관련이 큰 지표 항목을 모아 변수들간의 상관관계를 분석하여 종합한 부영양화 평가지표를 부영양화 평가에 사용하는 것이 필요하다.
Carlson(1977)은 호소의 영양상태를 정의하고 부영양화를 분류하기 위한 방법으로 Trophic State Index(TSI)를 제시하였는데, 본 연구에서도 이 지수를 사용하였다. TSI는 아래와 같이 chlorophyll-a, T-P, 투명도(Secchi disk; SD)를 고려하며, 조류를 제한하거나 변수에 영향을 미치는 요인과 관련된 변수 간의 상호 관계를 이용한다(Carlson and Simpson, 1996). Chlorophyll-a와 SD는 조류의 생물량을 추정할 수 있으며, T-P와 T-N은 영양염류의 부하와 영양상태와 연관이 있어 변수들은 서로 연관성을 가지고 있다(Carlson, 2007). 영양상태를 0부터 100까지의 수치로 나타내고 이 지수가 10씩 증가함에 따라 투명도가 1/2로 감소하여 투명도가 64일 때 TSI가 0인 것으로 한다(Carlson, 1977). Chlorophyll-a, T-P, SD를 적용한 TSI는 계산한 변수가 30 이하일 때 빈영양호(oligotrophic)로 하며, 30 초과 60 이하를 중영양호(mesotrophic), 60 초과 70 이하를 (eutrophic)로 한다. 그리고 70을 초과하는 TSI는 과영양호(hypereutrophic)라고 한다(Table 1).

위 식에서 SD는 투명도(m), Chl-a는 chlorophyll-a (mg/m3)이며, T-P는 총인(mg/m3)이다.
하지만, 이 지표는 자연호를 대상으로 만들어져 인공호가 대부분인 한국의 자연에 적합하지 않다(NIER, 2006). 인공호는 외부기원 유기물의 기여도가 매우 크고 무기부유물질로 인한 빛 흡수도가 크다는 특성을 고려하여 국립환경과학원은 한국의 호소에 맞는 부영양화 평가 기법인 한국형 부영양화 지수(TSIKO)를 제시하였다(NIER, 2006). COD는 수체에 유입된 오염물질로 인한 수질오염을 평가하는데 핵심적인 지표가 된다(Sperling, 2007). 따라서 외부기원 유기물의 지표인 COD에 50%의 가중치를 주고, 내부기원 유기물의 지표인 chlorophyll-a와 조류의 밀도를 좌우하는 T-P에 각각 25%씩 가중치를 두어 종합하여 부영양화 지수를 도출하였다. 도출한 부영양화 지수에 따라 세 가지의 지표를 종합한 결과가 30 이하일 때 빈영양호(oligotrophic)로 하며, 30 초과 및 50 이하일 때를 중영양호(mesotrophic)으로 한다. 그리고 50 초과 70 이하일 때를 부영양호(eutrophic)라고 하며, TSI가 70을 초과할 때를 과영양호(hypereutrophic)로 한다.

위 식에서 COD는 COD (mg/L), Chl-a는 chlorophyll-a (mg/m3)이며 T-P는 총인(mg/L)이다.
|
Fig. 1 Location and sampling points of Osongji and Deokjin Pond. The red and blue circles represent the points where the samples were collected. |
|
Fig. 2 Weather data for Jeonju-si from the Korea Meteorological Administration (KMA) Weather Data Service (data.kma.go.kr) and water temperature measured during the investigation period as part of this study: (a) air temperature, (b) precipitation, (c) percentage of sunshine, and (d) water temperature. |
|
Table 1 Classification criteria of the Trophic State Index (adapted from Carlson, 2007) |
3.1. 현장 수질 측정 항목
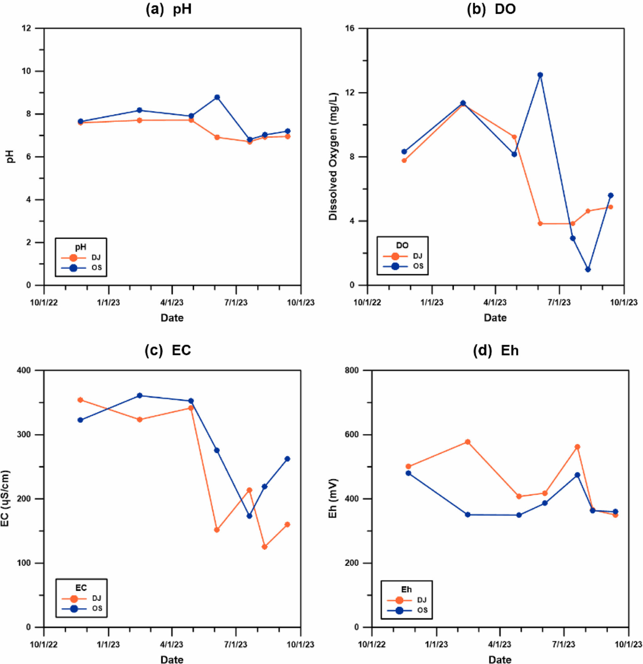
조사기간 동안 오송지와 덕진연못의 pH는 평균적으로 각각 7.6과 7.2의 값을 보였다(Fig. 3a). 이는 두 연못의 pH 조건이 조류의 생명활동에 적합한 6~8 정도의 범위임을 나타낸다. 수온에 민감한 영향을 받는 DO의 경우 수온이 상승하면 낮아진다. 또한 장기간의 강수는 영양염류와 조류를 희석시키고 산소의 생산을 제한한다(Luo et al., 2024). 이에 따라 겨울철과 봄철에 8~12 mg/L 정도까지 높았던 DO가 여름철 지속된 강수와 상승한 수온으로 인해 오송지는 1.0 mg/L, 덕진연못은 3.8 mg/L까지 감소하였다(Fig. 3b). 물속에 녹은 이온의 총량을 나타내는 지표인 EC는 오송지와 덕진연못 모두 겨울에 비해 강수량이 많은 여름철 값이 낮아지는 경향성을 보였다(Fig. 3c). 오송지의 EC는 겨울철 최대 361 μS/cm에서 여름철 최소 173 μS/cm의 값을 보였다. 덕진연못의 EC 또한 겨울철 최대 355 μS/cm에서 여름철 최소 126 μS/cm의 값을 보였다. EC 값은 알칼리도(Fig 4h)와도 시간적인 농도의 변화와 그래프의 증감 형태가 매우 비슷하게 나타났으며, 이는 알칼리도와 관계된 인자가 계절에 따른 수질 변화를 나타낼 수 있음을 보여준다. 알칼리도는 산을 중화할 수 있는 능력을 나타내는 지표로, 주로 물 속의 탄산염(CO32-) 및 중탄산염(HCO3-)의 농도로 결정된다. 알칼리도와 EC는 강수량이 증가하는 5-7월의 기간동안 희석 작용으로 인해 감소한 것으로 보인다. Eh는 300 mV에서 600 mV 사이의 값을 보이며 전반적으로 산화환경을 지시하였다(Fig. 3d). 오송지와 덕진연못의 현장 수질 측정 항목은 일부 편차가 있기는 하지만 두 호소가 비교적 비슷한 계절적 변화의 경향성을 보여주었다.
3.2. 부영양화 관련 수질 항목
Fig. 4는 채취한 물 시료를 이용하여 실험실에서 측정한 주요 수질 지표들의 분석 결과를 보여준다. COD의 경우 외부에서 비롯된 유기물의 유입을 나타내는 수질 오염 지표이며, T-N 또한 외부에서 유입이 커질수록 값이 커질 수 있다. COD는 오송지의 경우 여름철 강수량 증가로 인해 유입이 증가하였으며 강수량이 적을 때는 상대적으로 낮은 값을 보였다(Fig. 4a). 덕진연못은 겨울철 COD의 값이 매우 높았고, 여름철에도 그 값이 높아지는 것 같이 보였으나 강수량이 줄어든 9월에도 오송지와는 반대로 측정값이 높아졌다. 인공적인 지하수 공급을 받으며 유기퇴적물이 많이 축적된 덕진연못(Choi et al., 2015)의 특성상 외부물질의 유입을 의미하는 COD 값의 편차가 매우 크게 나타났다. 하지만 오송지는 겨울철 보다 여름철에 그 값이 증가하고, 강수량이 적어지는 가을에 그 값이 낮아져 계절에 따른 변화가 뚜렷하게 나타났다. T-N의 경우 오송지와 덕진연못 모두 여름철 COD와 증감의 형태가 비슷했다(Fig. 4b). 이는 강수량의 증가로 인해 외부 물질이 쓸려 유입되어 여름철에 값이 증가한 것으로 추측할 수 있다.
COD와 T-N이 상호 연관성을 가진 지표로 나타났듯이, chlorophyll-a와 T-P 또한 서로 연관성이 깊은 인자로 나타났다(Fig. 4c and 4d). Chlorophyll-a의 경우 오송지는 6월에 값이 증가한 것 이외에는 다른 계절에는 변화가 크게 나타나지 않았다. 덕진연못의 경우 여름철에 값이 지속적으로 증가하였으며, 특히 9월에 값이 크게 증가하였다. T-P 또한 오송지와 덕진연못 모두 여름철에 값이 증가하였다. 오송지는 여름철 농도가 상승하였으며, 여름 이외의 다른 계절에는 낮은 값을 유지하였다. 덕진연못의 경우 9월에 측정값이 매우 크게 증가하였으며, 9월을 제외한 다른 날짜에는 농도의 증감이 크게 나타나지 않았다.
오송지의 경우 chlorophyll-a과 T-P는 서로 비슷한 경향성을 보였는데, 이는 인이 식물성 플랑크톤의 증식에 큰 영향을 주는 제한 요소(Kim et al., 1997)이기 때문인 것으로 생각된다. 하지만 T-P와 chlorophyll-a의 증가는 동일한 시점에 나타나지 않았다. 조류는 생명을 유지할 수 있는 적절한 환경(광량, 영양염류 등)에서는 잘 증식할 수 있다. T-P가 증가하는 7월은 지속적인 강수가 이어져 지표유출이 강해져 T-P의 농도가 상승하였다. 하지만 인의 양이 증가함에도 불구하고 지속적인 강우로 인해 조류 성장에 상관관계가 있는 일조량(Lee and Kim, 2015)이 부족해졌기 때문에 chlorophyll-a의 증가가 제한적이었던 것으로 생각된다. Fig. 2c를 보면, 7월의 월평균 일조율은 34.9%까지 감소하여 전월에 비해 약 17%가 감소하였다. 덕진연못의 경우에도 chlorophyll-a와 T-P는 상관관계가 있으나 오송지처럼 계절적인 변화로 인한 뚜렷한 특징은 나타나지 않았다. 하지만 2023년 9월에 두 인자 모두 급격하게 상승하였고 일조량과도 강한 상관관계를 보였다.
음이온인 NO3--N, PO43--P 및 SO42-는 오송지가 덕진연못에 비해 높은 값을 보였다(Fig. 4e-4g). 이는 오송지에 인접한 농경지에서 사용한 비료에서 비롯된 것으로 생각된다. NO3--N 및 PO43--P(Fig. 4e and 4f)는 T-N과 T-P(Fig. 4b and 4d)의 일부에 속하기 때문에 그 농도는 낮아도 시간에 따른 변화는 비슷한 경향성을 보였다. SO42-의 경우 실험 기간 동안 오송지가 덕진연못에 비해 높은 농도를 나타내었다(Fig. 4g). 무기물인 SO42-은 오송지의 경우 EC(Fig. 3c)와 알칼리도(Fig. 4h)와 같이 여름철에 감소하는 경향성을 보였는데, 이 또한 여름철 강수로 인한 희석으로 해석할 수 있다. EC, 알칼리도 및 SO42-는 무기물의 영향이 크며, 무기물은 COD와는 반대로 지표유출로 인한 영향은 적으며 강수로 인한 희석에 큰 영향을 받는 것을 알 수 있다. 알칼리도의 경우 오송지는 51~131 mg/L as CaCO3, 덕진연못은 45~156 mg/L as CaCO3의 값을 보였다(Fig. 4h).
부영양화 관련 수질 항목 분석 결과는 여름철 강수량의 증가와 지표유출과의 관련성을 지시한다. 오송지의 경우, 유입되는 상시 하천의 부재로 강수량과 지표유출의 관계를 직접적으로 관측하지는 못하였으나 여름철 강수량 증가가 지표유출의 증가로 이어졌을 것으로 판단된다. 이로 인해 오송지에는 농경지에서 비롯된 인과 질소가 다량 유입되었으나, 지속된 강우로 인한 일조량 저하로 인해 chlorophyll-a의 농도가 크게 증가하지 못한 것으로 해석할 수 있다. 오송지의 지하수 유입은 강수로부터 약 3-4개월간의 차이가 있으며, 지하수 유량과 강수량은 서로 강한 상관관계가 없는 것으로 연구된 바 있다(Kim et al., 2020). 따라서 지표수 부영양화와 관련된 지표에 대해서는 지하수의 수질이 즉각적으로 영향을 미치지는 않은 것으로 판단된다. 지하수의 경우, 지연 시간과 대수층을 통과하는 동안의 자연 저감 등으로 인해 지표수에 비해 부영양화의 기여도가 낮을 수 있지만 지하수-지표수 전이대에서의 생화학 기작에 따라 호소 수질에 영향을 미칠 수 있으므로 향후 지하수의 부영양화 기여 정도에 대한 추가적인 연구가 있어야 할 것으로 생각된다. 오송지는 농경지와 근접하여 날씨와 주변 환경에 즉각적으로 반응할 수 있는 소규모의 수체이다. 반면, 덕진연못 또한 비슷한 규모의 수체이지만 인위적인 요소와 자연적인 요소 모두 수질에 영향을 미친 것으로 생각되어 수질 변화에 영향을 미치는 주된 요소를 특정하는 것이 쉽지 않은 것으로 판단된다.
3.3. 부영양화 지수
위에서 분석된 개별 수질 항목의 결과를 바탕으로 부영양화 지수인 TSI를 활용하여 두 호소에서의 시간에 따른 부영양화 변화를 평가하였다. Fig. 5는 Carlson의 부영양화 지수(TSI)에 활용되는 chlorophyll-a과 T-P을 이용하여 각각의 항목에 대한 부영양화도를 분석한 결과이다. TSICarlson(Chl-a)의 경우, 오송지는 6월에 과영양호를 나타내었으며, 2월에 부영양호를 나타내는 것 이 외에는 조사 기간 동안 중영양호를 유지하였다. 덕진연못은 8월과 9월에 과영양호를 나타내었으며 조사 기간 동안 부영양화도가 상승하는 추세를 보였다. 덕진연못은 장마기간이 끝난 이후에 충분한 광합성으로 인해 과영양호로 변화한 것으로 해석할 수 있다. T-P에 기반한 부영양화 지수(TSICarlson(T-P))의 경우, 덕진연못은 9월에 과영양호를 나타낸 것 이외에는 조사 기간 동안 중영양호를 유지하였다. 오송지는 6월에 부영양호, 7월에 과영양호로 수치가 상승하였으며 다른 기간 동안은 중영양호를 유지하였다. 이는 강수로 인한 토사와 비료의 유입이 원인인 것으로 생각된다. 이 기간을 제외한 겨울철에는 인의 농도가 빈영양호를 나타내어 겨울철에 인이 부족한 것을 알 수 있다. T-N을 T-P로 나누어 N:P 비율을 계산해보면, 그 값이 15를 넘어 인이 부족한 환경(Barica, 1990)임을 알 수 있다(Table 3). 다만 오송지의 11월은 6.9의 비율로 질소가 부족한 환경이었으며, 덕진연못의 2월도 T-N의 값이 검출되지 않아 인이 질소에 비해 잠시 풍부해졌다.
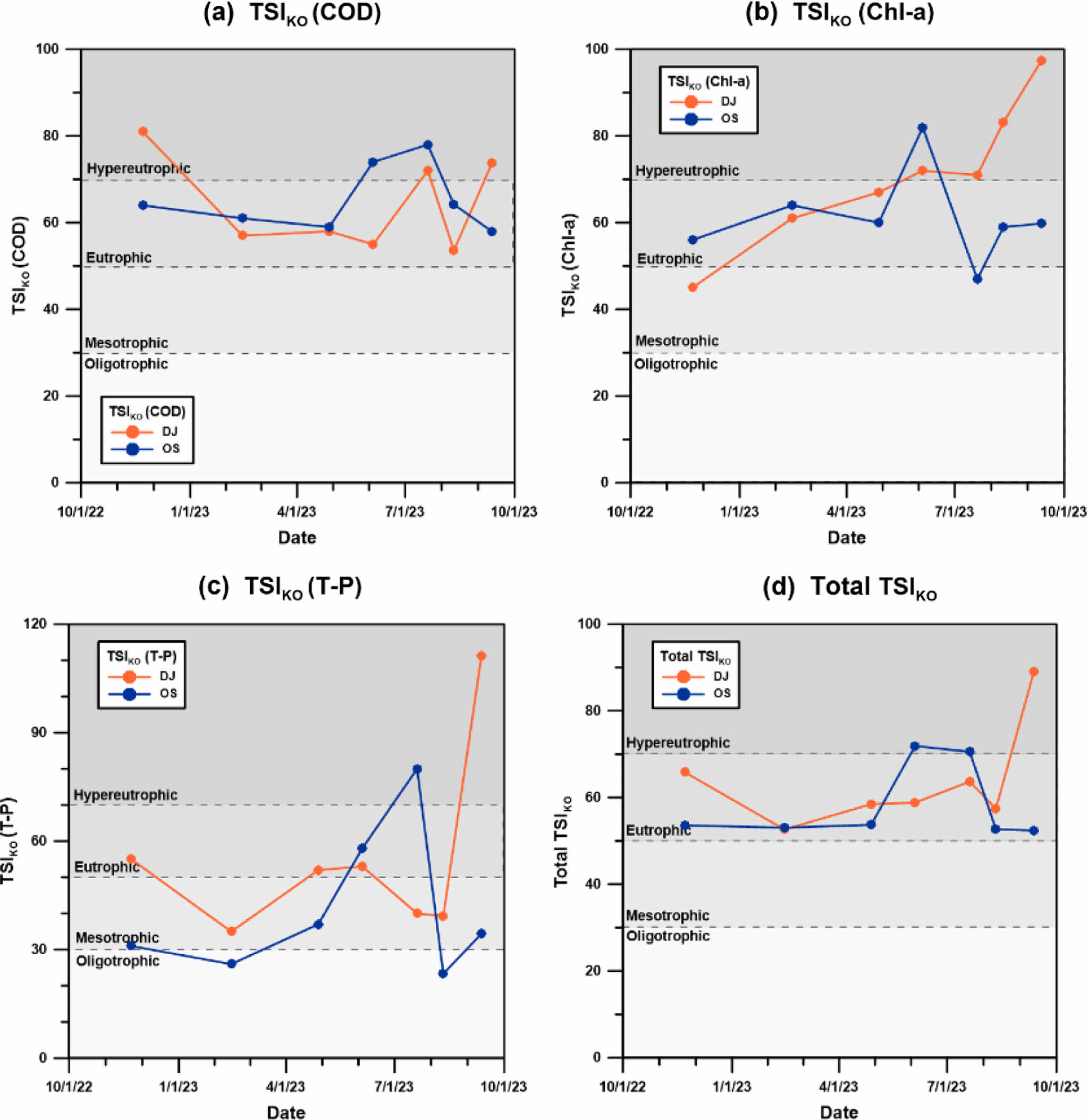
Carlson의 부영양화 지수는 대부분 인공호수인 한국의 소규모 수계의 부영양화를 나타내기에 한계점이 있어 한국형 부영양화 지수를 이용하여 부영양화를 분석하였다. Fig. 6은 COD, chlorophyll-a 및 T-P으로 각각 계산한 결과와 이를 종합하여 계산한 TSIKO의 분석 결과이다. 외부에서 유입된 유기물의 양을 의미하는 COD의 경우 강수량이 많아지는 6월과 7월에 오송지는 과영양호를 나타내었다(Fig. 6a). 오송지는 특히 강수량에 따른 차이가 분명하게 나타났으며, 오송지와 덕진연못 모두 실험기간 동안 부영양호와 과영양호의 값을 나타내었다. TSIKO(Chl-a)의 결과를 보면 덕진연못은 시간이 지나면서 과영양호로 증가하였다(Fig. 6b). 오송지의 TSIKO(Chl-a) 결과는 7월과 8월을 제외하면 부영양호의 값을 유지하였다. 덕진연못의 수질은 이전에 연구한 결과에서도 덕진연못에 지속적으로 쌓인 퇴적물이 영양염류의 주요 공급원이 되고 이로 인해 수질이 매우 불량하여 관리가 필요하다고 제안된 바 있다(Choi et al., 2015). TSIKO(T-P)의 경우 오송지는 강수량이 많아지는 6-7월에 값이 상승하여 과영양호까지 농도가 증가하였다. 하지만 덕진연못은 오송지가 증가할 때 오히려 감소하였다(Fig. 6c). 이는 오송지는 주변의 농경지에서 비롯된 비료의 유입이 크나 덕진연못은 그러한 유입이 부족했기 때문인 것으로 생각된다. 하지만 9월에 그 양이 급격하게 증가하였는데, 이는 덕진연못에 공급되는 지하수의 영향으로 생각해 볼 수 있다. 세 개의 지표(TSIKO(COD), TSIKO(Chl-a), TSIKO(T-P))를 종합한 Total TSIKO 결과는 덕진연못은 2023년 9월을 제외하고는 비교적 일정하게 부영양호를 유지하고 계절에 따른 변화는 크게 나타나지 않았다. 반면, 오송지는 조사 기간 동안 부영양호 미만의 수질을 보이지 않았고, 강수량이 많은 6월과 7월에 부영양화 정도가 상승하여 강수량으로 인한 수질의 변화와 시간에 따른 수질의 계절적인 변화를 보여주었다.
TSICarlson (Fig. 5)를 Fig. 6의 TSIKO(Chl-a) 및 TSIKO(T-P) 그래프와 부영양호 분류를 비교해보면, TSICarlson로 분류한 결과가 TSIKO보다 대체로 낮은 부영양화 분류를 보였다. 오송지의 경우 TSICarlson(Chl-a)은 2022년 11월에 중영양호를 나타내었고, 2023년 2월에 부영양호를 나타내었다. 이후 4월에 중영양호를 나타내었고 6월에 과영양호로 부영양화도가 심화되었으나, 7월부터 9월까지는 중영양호로 감소하였다. TSIKO(Chl-a)는 2022년 11월부터 2023년 4월까지 부영양호를 나타내었고, 6월에 과영양호로 부영양화도가 심화되었다. 7월에 중영양호를 나타내다가 8월과 9월에 부영양호로 변화하여, TSICarlson(Chl-a)가 TSIKO(Chl-a)보다 낮은 부영양화 분류를 보였다. 덕진연못의 경우 TSICarlson(Chl-a)은 2022년 11월과 2023년 2월에 중영양호를 나타내었고 4월부터 7월까지 부영양호를 나타내었다. 이후 8월과 9월은 과영양호로 부영양화도가 심화되었다. TSIKO(Chl-a)는 2022년 11월 중영양호를 나타내고, 2023년 2월과 4월에는 부영양호로 증가하였다. 이후 6월부터 9월까지 과영양호를 나타내어 오송지와 마찬가지로 TSICarlson(Chl-a)가 TSIKO(Chl-a)보다 낮은 부영양화 분류를 보였다.
오송지의 TSICarlson(T-P)는 2022년 11월부터 2023년 4월까지 중영양호를 나타내었다. 이후 6월에 부영양호에서 7월에 과영양호로 부영양화도가 심화되었으나 8월과 9월에 중영양호로 변화하였다. TSIKO(T-P)는 2022년 11월에 중영양호를 나타내었지만 2023년 2월에 빈영양호로 감소하였다. 이후 4월에 중영양호에서 7월에 과영양호까지 부영양화도가 심화되고, 8월에 빈영양호로 감소하여 9월에 중영양호를 나타내었다. 11월과 8월의 빈영양호를 제외하면 TSICarlson(T-P)는 TSIKO(T-P)와 같은 부영양화 분류를 나타내었다. 덕진연못의 경우, TSICarlson(T-P)가 2022년 11월부터 2023년 8월까지 중영양호를 유지하다가, 9월에 과영양호로 부영양화도가 심화되는 결과가 나타났다. TSIKO(T-P)는 2022년 11월 부영양호에서 2023년 2월 중영양호로 변화한 이후, 4월과 6월에 부영양호를 나타내었다. 이후 감소하여 7월과 8월에 중영양호를 나타내고 9월에 과영양호로 부영양화도가 심화되어, TSICarlson(T-P)는 TSIKO(T-P)와 같거나 낮은 부영양화 분류를 나타내었다.
덕진연못과 오송지는 평균수심이 각각 0.89 m 및 1.62 m이고(Choi et al., 2015), 덕진연못은 수질이 매우 불량하고 수심이 얕아 SD를 측정하는 것이 어려웠다. 인공호가 대부분인 우리나라 호소는 집중 강우 시 비조류성 물질의 유입으로 인해 투명도가 낮아 TSI를 적용할 경우 왜곡된 결과를 얻을 수 있다(Kong and Kim, 2019). 이를 통해 볼 때, 한국의 호소를 평가하는 데에는 TSIKO를 이용하여 수질을 분석하는 것이 소규모 호소의 부영양화 해석에 보다 적합할 수 있다고 생각된다.
3.4. 두 호소의 수질 특성 차이 및 국내 다른 호소와의 비교
본 연구 대상 지역인 두 호소 중 오송지는 보다 자연적인 환경의 호소를 대변하는 수체이며 농경지와 바로 인접한 특징이 있다. 오송지의 pH는 전 기간 동안 6~8 이내의 수치를 유지하였으며, 겨울~봄철에 높은 DO를 보였으나 여름철 강수와 높은 수온으로 인해 1 mg/L까지 농도가 감소하였다. EC와 알칼리도 및 SO42-는 증가한 강수로 인한 희석효과로 수치가 낮아졌다. COD와 T-N은 여름철 강수로 인한 유기물의 유입이 증가하여 그 값이 증가하였으며, 두 인자는 상호연관성을 보였다. 또한, chlorophyll-a와 T-P는 서로 제한 요소로 작용하는 특징으로 인해 연관성이 있었다. 여름철 강수량이 증가하며 T-P의 농도가 증가함에도 조류 성장에 필요한 일조량이 감소하여 chlorophyll-a가 크게 증가하지는 않았다.
반면, 덕진연못은 인공적인 환경의 호소를 대변하는 수체이며 도심 속에 위치하고 있다. 덕진연못의 pH는 6~8 이내의 수치를 유지하였으며, DO는 오송지와 마찬가지로 겨울~봄철에 높은 값을 보였으나 여름철 강수와 높은 수온으로 인해 3.8 mg/L까지 농도가 감소하였다. EC와 알칼리도 및 SO42- 또한 여름철 증가한 강수의 희석 효과로 수치가 낮아졌다. 다량의 유기퇴적물의 분포와 인위적인 지하수 공급으로 인해 COD의 결과값의 편차는 매우 컸다. T-N은 여름철 늘어난 강수량을 따라 유입되었지만 T-P는 강수에 따른 차이가 크지 않았다. Chlorophyll-a와 T-P는 9월에 크게 증가하여 상호 연관성이 있음을 알 수 있었다.
NO3--N, PO43--P 및 SO42- 농도의 경우 오송지는 주변 농경지에서 사용되는 비료의 영향으로 덕진연못에 비해 값이 높게 나타났다. TSIKO의 결과값들을 통해 볼 때, 오송지는 덕진연못에 비해 계절에 따라 변화하는 기후와 강수량에 따른 변화가 뚜렷한 반면 덕진연못은 이에 상대적으로 둔감한 것으로 나타났다. 이는 거리상으로 큰 차이가 나지 않는 두 수체일지라도 주변 환경에 따라 그 영향이 수질에 다른 영향을 미친 다는 점을 보여준다.
이상의 결과를 토대로 본 연구 대상 지역 두 수체에서의 수질 특성과 국내 다른 소규모 수체에서의 수질 특성을 비교해 보았다. Kim and Hwang(2004)는 충청남도 보령시에 위치한 신구저수지를 대상으로 연구를 수행하였다. 이 저수지에서 계절에 따른 수질 변화와 유입 부하량의 영향을 연구하였는데, 이 저수지는 최대 수심이 7.0 m로 오송지에 비해 깊어 성층현상이 나타났다. 수체 내의 질소는 수온약층이 형성된 5월부터 암모니아성 질소의 농도 증가와 더불어 층간의 농도 차이가 보였다. 인 또한 계절의 영향을 받으며 강수량이 증가하는 시기에 높은 농도를 보이며 겨울철에 감소하였다. Chlorophyll-a는 집중강우로 인한 인 유입부하량의 증가 이후에 농도가 증가하여 오송지와 덕진연못와 마찬가지로 인과 chlorophyll-a간의 상관관계를 보여주었다.
Oh et al.(2020)은 영산강 수계 내에 위치한 20개의 저수지를 대상으로 수질분석을 실시하고 부영양화를 평가하였다. 수질 분석 결과 다수의 저수지가 COD와 chlorophyll-a가 수질기준을 초과하였다. 수질 항목간의 상관관계 또한 비교하였는데, COD와 chlorophyll-a는 서로 높은 상관성을 보였으며, chlorophyll-a는 T-N과 상관성을 보였으나 T-P와 상관성이 없는 결과를 보였다. Oh et al.(2020)은 충분한 농도의 T-P가 존재하는 저수지에서는 인이 조류의 제한인자로 작용하지 않는다는 점(Nam et al., 2013)을 그 이유로 들었다. 오송지와 덕진연못의 경우 N:P 비율이 겨울을 제외하면 전부 16이 넘는 인이 부족한 환경을 나타내기 때문에 인이 제한 요소로 작용하는 호소로 판단된다(Table 3).
한국에 위치한 소규모의 호소임에도 Kim and Hwang (2004)와 Oh et al.(2020)의 호소와 같이 인과 조류의 관계가 상반될 수 있다. 또한, 오송지와 덕진연못은 인접한 수체임에도 계절 변화에 따른 수질의 변화에 차이가 있었다. 따라서, 소규모 지표수 수체의 수질 관리에 있어 다양한 인자가 영향을 미칠 수 있음을 고려해야 한다.
|
Fig. 3 Water quality indicators measured in the field at Deokjin Pond and Osongji: (a) pH, (b) dissolved oxygen (DO), (c) electrical conductivity (EC), and (d) Eh. DJ and OS represent Deokjin Pond and Osongji, respectively. |
|
Fig. 4 Results of the investigation conducted on water samples taken from Deokjin Pond and Osongji: (a) chemical oxygen demand (COD), (b) total nitrogen (T-N), (c) chlorophyll-a, (d) total phosphorus (T-P), (e) nitrate-nitrogen (NO3− -N, calculated from NO3− ), (f) phosphorous (PO43− -P, calculated from PO43− ), |
|
Fig. 5 (Continued): (g) sulfate (SO42− ) and (h) alkalinity. DJ and OS represent Deokjin Pond and Osongji, respectively. |
|
Fig. 6 Carlson’s Trophic State Indices by chlorophyll-a and T-P: (a) TSICarlson(Chl-a), calculated from chlorophyll-a (Fig. 4c) and (b) TSICarlson(T-P), calculated from T-P (Fig. 4d). DJ and OS represent Deokjin Pond and Osongji, respectively. |
|
Table 3 N:P ratio calculated using the values of T-N and T-P |
N.D.: Not determined. |
본 연구에서는 전북특별자치도 전주시에 위치한 오송지와 덕진연못에서 2022년 11월부터 2023년 9월까지 11개월간의 계절별 수질 변화를 조사하였다. 수질 오염 지표 중 chlorophyll-a, T-P 및 COD를 이용하여 Carlson의 부영양화 지수와 한국형 부영양화 지수를 적용하여 시간 흐름에 따른 부영양화 정도를 평가하였다. 이를 통해 소규모 저수지의 수질 오염 특성과 주변 유역에서 유입되는 지표유출 및 지하수 등으로 인한 수질 변화를 알아보고자 하였다.
오송지와 덕진연못은 같은 지역 내 비교적 가까이 위치한 작은 수체들이다. 하지만 오송지는 덕진연못보다 자연적인 유입 유출이 비교적 잘 보존되어 있고, 이 차이점으로 인해 두 수체 수질의 계절적 경향성이 다르게 나타났다. 오송지는 현장에서 측정한 수질 항목 중 알칼리도와 EC의 경우 강수로 인한 희석으로 인해 농도의 감소가 완만하게 나타났다. 실험실 측정 항목과 이를 이용한 TSI 계산 결과에서도 인과 질소의 유입이 강수량과 관련하여 뚜렷하게 상승하여 부영양화 지수의 증가를 초래하였다. 덕진연못의 경우, 오송지와 유사하게 늘어난 강수량에 따른 희석으로 인해 EC와 알칼리도 및 SO42- 농도는 감소하고 COD, T-N, T-P의 농도는 증가하였지만 그 변화의 편차가 컸다. 또한, TSICarlson과 TSIKO의 결과에서 오송지가 6-7월에 과영양호로 오염이 증가하여 여름철 부영양화가 증가하는 모습을 보여준 반면, 덕진연못은 계절적인 환경 변화로 인한 뚜렷한 수질 변화를 관찰할 수 없었다.
본 연구 결과를 통해 소규모 호소에서의 계절에 따른 수질 변화에는 외부 유입물질인 인과 질소가 중요한 역할을 함을 확인할 수 있었으며, COD는 T-N과 경향성을 같이하며 chlorophyll-a는 T-P와 비슷한 추세를 보인다는 것을 알 수 있었다. 또한 부영양화 평가를 통해, 소규모 호소의 수질은 계절적인 변화가 반영되나 부영양화 정도는 1년 내내 부영양호를 나타낼 수 있어 수질 관리가 필요함을 알 수 있다. 향후 홍수나 가뭄 등의 빈도 및 강도 변화 같은 기후변화 환경에서 지하수-지표수는 밀접하게 반응하며 호소 수질의 계절적 변동성 또한 영향을 받을 것이므로 이에 대한 연구가 지속적으로 이루어져야 할 것으로 판단된다. 본 연구 결과는 국내 소규모 호소에서의 수질 관리의 효율성을 높이고 환경 관리 수준 향상을 위한 기초적인 자료로 활용될 수 있다고 생각된다.
이 연구는 정부(과학기술정보통신부)의 재원으로 한국연구재단의 지원을 받아 수행되었으며(No. RS-2024-00348441), 또한 산업통산자원부의 재원으로 한국에너지기술평가원(KETEP) ‘고준위방폐물 처분을 위한 부지환경 장기변화 예측기술 개발(RS-2024-00419276)’사업의 일환으로 ‘시나리오 기반 한반도 생태계 변화 개념모델 개발(RS-2024-00425601)’의 지원을 통해 수행되었습니다.
This Article2024; 29(6): 35-48
Published on Dec 31, 2024
Services
Correspondence to1Department of Environment and Energy, Jeonbuk National University
2Department of Earth and Environmental Sciences & The Earth Environmental System Research Center, Jeonbuk National University