
Gitak Chae1*, Ji-Hyun Kim1, Soohyeon Moon2, and Chanhee Jang1,3
1Korea Institute of Geoscience and Mineral Resources, 124 Gwahak-ro, Yuseoung-gu, Daejeon 34132, Korea
2Korea Testing Laboratory, 87 Digital-ro 26-gil, Guro-gu, Seoul 08339, Korea
3Chungnam National University, 99 Daehak-ro, Yuseoung-gu, Daejeon 34134, Korea
채기탁1*ㆍ김지현1ㆍ문수현2ㆍ장찬희1,3
1한국지질자원연구원
2한국산업기술시험원
3충남대학교
This article is an open access article distributed under the terms of the Creative Commons Attribution Non-Commercial License (http://creativecommons.org/licenses/by-nc/4.0) which permits unrestricted non-commercial use, distribution, and reproduction in any medium, provided the original work is properly cited.
This study integrated a Membrane Contactor (MC) with a Tedlar Bag Reactor (TBR) for continuous, real-time monitoring of dissolved CO2 and its carbon isotope (δ13C) in deionized water (DIW). Experiments were conducted in two stages across three CO2 concentrations (437, 7,940 ppmv, and 100%). Baseline CO2 (437 ppmv) and δ13C levels were measured in the first stage, while the second stage involved observing changes after injecting 7,940 ppmv or 100% of CO2 into the TBR. CO2 and δ13C levels were tracked using Cavity Ring-Down Spectroscopy (CRDS) on gas samples extracted through the MC. CO2 dissolution led to a significant pH decrease and an increase in electrical conductivity (EC), reflecting CO2’s chemical interactions with water. δ13C values showed substantial variation at lower CO2 concentrations, while higher CO2 levels resulted in more stable δ13C values with clearer shifts. The findings suggest that the MC system is particularly effective for monitoring environments characterized by rapid and dynamic chemical changes, such as geological CO2 storage, volcanic gas emissions, earthquake-related gas dynamics, and CO2-rich waters. This research demonstrates that MC-based systems can enhance field applications by supporting continuous sampling and real-time dissolved gas analysis.
Keywords: Membrane Contactor (MC), Tedlar Bag Reactor (TBR), dissolved gas extraction sampling, dissolved CO2 monitoring, dissolved carbon isotope
지하 매질의 용존 가스 연구는 심부 유체 진화 및 연대측정, 이산화탄소 지중저장, 방사성 폐기물 매립장 선정, 자연수소 생성 메커니즘 연구에 필수적이다(Cheng et al., 2023; Choi et al., 2022; Ham et al., 2017; Kim et al., 2022; Markovich et al., 2020; Purtschert et al., 2023; Ram et al., 2020). 또한, 화산 분화와 지진 감시, 가축 매몰지, 해수 및 지하수 생태계 변화의 실시간 용존 가스 모니터링에 대한 필요성도 증대되고 있다(Hales et al., 2004; Hartmann et al., 2018; Herbstritt et al., 2019; Kim et al., 2017; Lee, 2024; Lee et al., 2018; Sano et al., 2020; Troncoso et al., 2018). 그러나 용존 가스는 시료 채취와 분석에 많은 시간과 노력이 필요하기 때문에 적극적이고 광범위한 응용에 제한이 있었다(Jiang et al., 2020; Lu et al., 2014; Yokochi, 2016).
이러한 문제를 해결하기 위한 방안으로 멤브레인 콘택터(membrane contactor, MC)가 주목받고 있다. MC는 다공성 멤브레인을 이용하여 두 상(가스와 액체) 간의 물질 전달을 가능하게 하는 장치로, 가스와 액체를 물리적으로 분리하면서도 높은 효율로 물질을 교환할 수 있다. 소수성 멤브레인이 액체의 침투를 방지하면서도 가스는 자유롭게 통과시킬 수 있어, 가스 추출과 농축이 용이하다. 이러한 특성은 미량의 용존 가스 성분을 효과적으로 농축할 수 있게 하며, 가스 시료 채취를 더욱 간편하게 만든다(Hales et al., 2004; Kim et al., 2022; Matsumoto et al., 2013; Sanford et al., 1996). MC의 특성을 활용하여 휘발성 유기 화합물(volatile organic compounds, VOC), H2S, NH3 가스를 제거하거나, 오존(유기물, 색소, 냄새, 미생물 제거), H2(할로겐화 화합물 제거)를 주입하여 오염물질을 제거하는 공정에 활용되기도 한다(Bein et al., 2021; Fang et al., 2002; Mansourizadeh et al., 2022).
MC를 활용한 용존 가스 연구는 크게 두 방향으로 수행되고 있다. 첫째는 극미량 가스 성분을 분석하기 위해 시료를 농축하는데 활용되고 있으며, 둘째는 가스 성분 변화를 실시간으로 모니터링하는 데 활용되고 있다(Gardner and Solomon, 2009; Jiang et al., 2020; Kim et al., 2022; Matsumoto et al., 2013). MC를 활용하여 물 시료에서 분석용 가스를 추출할 때 물 시료의 유량이 많을 경우 큰 부피의 MC를 사용해야 하며, 이로 인해 휴대성이 떨어지는 한계가 있다. 또한, MC를 활용하더라도 시료 채취에 시간이 오래 걸린다. 한편, MC를 이용하여 용존 가스를 추출하고, 이를 현장(in-situ)에서 실시간으로 관측하는 사례도 있다(Zimmer et al., 2011). 이 기술은 기존의 물리적 시료 채취 방식과 달리, 연속적이고 비간섭적인 가스 추출이 가능하여 지진과 같은 급변하는 환경에도 즉각 대응할 수 있다.
MC를 활용한 가스 분석은 QMS(quadrupole mass spectrometer), NDIR(non-dispersive infrared) 센서, CRDS (cavity ring-down spectroscopy) 등 다양한 가스 분석 기술과 결합하여 실시간으로 정밀한 데이터를 제공할 수 있다. Hartmann et al.(2018), Herbstritt et al.(2019)는 각각 MC로 추출된 가스의 산소, 수소, 메탄의 동위원소를 CRDS로 실시간으로 분석한 바 있다. 그러나 용존 탄산염의 탄소동위원소를 CRDS로 직접 분석한 연구 사례는 확인되지 않았다. 다만 Hales et al.(2004)는 물 시료에 0.1 N HCl을 첨가하여 CO2의 용해도를 낮춘 후, 추출된 CO2를 활용해 용존 총탄소 함량을 NDIR 센서로 측정한 사례를 제시하였다.
본 연구는 상용화된 MC와 CRDS를 활용하여 용존 탄산염의 탄소동위원소를 실시간으로 측정할 수 있는지 그 가능성을 검토하는 데 목적이 있다. 본 연구에서 개발된 방법은 원위치에서 실시간으로 CO2 지중저장 모니터링, 자연 탄산수 및 용존 화산가스 모니터링, 지진에 의한 용존 가스 변화 모니터링, 용존 수소 측정/탐사 등에 활용될 수 있다. 또한, 노블가스와 같은 극미량 가스 농축 샘플링, 고압 반응 실험 중 용존 CO2와 탄소동위원소 연속 측정을 통한 용해 및 탈기 속도 측정, 지하수 내 유기 용매, 라돈 가스, 가축매몰지 등의 위해 가스 모니터링/제거에도 적용 가능하다.
실시간으로 MC에서 추출된 가스에 대한 성분 분석 가능성 및 정확성을 확인하기 위해 물속에 넣은 소형 MC와 결합된 TBR(Tedlar bag reactor)을 고안하였다(Fig. 1). 탈이온수(deionized water, DIW)에 접촉하는 가스의 압력을 실험실 압력으로 유지하기 위하여 TBR을 사용하였다. 가스는 CO2를 사용하였으며, 실험실 1기압 하에서 CO2가 DIW에 용해되는 동안 용존 CO2 농도와 탄소동위원소(δ13C)의 변화를 CRDS로 분석하였다.
2.1. 장치 구성
2.1.1. 멤브레인 콘택터(Membrane Contactor, MC)
본 연구에서 사용된 3M 사(社)의 Liqui-CelTM MM-0.5 × 1 MC는 용존 가스의 추출 및 농축을 위해 설계된 소형 고효율 장치로, 다양한 환경에서 실시간 분석과 모니터링을 가능하게 한다. 이 장치는 다공성 폴리프로필렌(polypropylene, PP) 멤브레인을 사용하여 가스와 액체를 분리하며, 소수성 특성을 통해 액체 침투를 방지하고 가스만을 선택적으로 통과시킨다. 이로 인해 원위치에서 효율적인 가스 추출과 농축이 가능하다. 본 연구에서 사용한 MC는 최대 3.1 atm의 압력과 40oC의 온도 조건에서 안정적인 성능을 발휘하며, 5~30 mL/min의 액체 유속 범위에서 최적화된 작동을 보인다. 에폭시 포팅(epoxy potting)을 사용하여 멤브레인을 하우징에 고정하고 외부 환경으로부터 보호함으로써 내화학성과 기계적 강도가 우수하여 다양한 산업 환경에서 장기간 사용할 수 있다. 선행 연구에서는 연구 목적과 시료의 특성에 따라서 다양한 사양의 MC가 사용되었다. 본 연구와 같은 재질의 MC를 사용한 사례에서도(Hales et al., 2004; Hartmann et al., 2018; Herbstritt et al., 2019; Kim et al., 2022; Matsumoto et al., 2013) 시료의 유량과 투과성능에 따라 각각 다른 MC를 사용하였다. 한편 Loose et al.(2009)은 폴리테트라플루오로에틸렌(polytetrafluoroethylene, PTFE) 재질의 MC가 포함된 membrane equilibrator라는 장치를 제작하여 실험실과 실증지에서의 지하수 push-pull test에 응용하였다. Zimmer et al.(2011)은 폴리디메틸실록산(polydimethylsiloxane, PDMS) 재질의 튜브를 이용해 gas membrane sensor(GMS) 장치를 개발하고, 약 600~700 m 심도의 관정에 설치하여 CO2 지중저장 모니터링에 활용하였다. Troncoso et al.(2018)은 PDMS 재질의 멤브레인과 CRDS 분석기를 결합한 pump profiling system (PPS)을 사용하여, 남태평양에서 최대 3,000 m 깊이까지 1 m 간격으로 N2O와 CH4를 측정하였다. 이 연구는 연속적인 샘플링이 구간별 이산(discrete) 샘플링보다 더 미세한 수직 구조를 포착할 수 있음을 보여주었다.
2.1.2. Tedlar bag reactor(TBR) 제작
TBR에 사용된 용기(bag)의 재질은 폴리에틸렌테레프탈레이트(polyethylene terephthalate, PET)로, 폴리에틸렌(polyethylene, PE) 재질에 비하여 가스 투과율이 상대적으로 낮은 것으로 알려져 있다. TBR의 크기는 29.7 × 19.6 cm로 이며, 실험 조건에 따라 내부 공간을 충분히 확보할 수 있도록 설계되었다. PET 재질은 신축성이 없기 때문에 bag 내부에 가스 압력이 가해지더라도 물리적 변형이 발생하지 않는다. 실험 중 bag에 장력이 가해지지 않도록 DIW와 가스의 양을 각각 800 mL와 300 mL로 정하였다. TBR의 가스와 물을 제어하기 위해 세 가지 종류의 밸브 또는 포트(port)를 장착하였다. 첫째, bag 외부에는 가스를 통과시키되 물의 유입 및 누출을 방지하는 특수 밸브 두 개가 설치되었다(Fig. 1의 V1, V2). 이 밸브는 TBR 내부의 MC로부터 가스가 이송되면서도 물의 흐름을 효과적으로 차단한다. V2의 경우 예비로 설치하였으며, 본 연구에서는 닫아 두어 가스 또는 실험실 대기가 통과하지 않음을 확인하였다. 둘째, bag에는 물과 가스를 주입하고 회수할 수 있는 3-way 밸브가 설치되어 있다(Fig. 1의 V3). 셋째, pH와 전기전도도(EC, electrical conductivity) 전극을 설치하기 위해 bag에 별도의 포트를 마련하였다. 이 포트는 전극이 삽입될 때에도 누수 및 가스 누출이 발생하지 않도록 설계되었다. 각 구성 요소는 실험 전에 매번 충분한 사전 테스트를 통해 밀폐성을 확인하였다.
2.2. MC-TBR 실험 개요
본 실험은 세 가지 농도의 CO2를 사용하여 각각 두 단계로 진행되었다. 첫 번째 단계에서는 NOAA(National Oceanic and Atmospheric Administration)의 표준 가스 시료를 물과 반응 시키고, CO2 농도 및 δ13C를 측정하여 이를 기준(baseline)으로 삼았다. 두 번째 단계에서는 1단계 반응 후 시료에서 NOAA 가스를 제거한 후 농도가 다른 CO2를 각각 주입한 후 CO2 농도 및 δ13C의 변화를 관찰하였다. 실험 동안 MC 내 DIW의 원활한 순환을 위해 TBR 내부에 자성 교반기(magnetic stirrer, Corning 사(社) model PC-220)를 설치하여 약 100 rpm으로 지속적으로 교반하였다.
2.2.1. Baseline 반응 실험(NOAA-12)
Baseline 반응 실험에는 NOAA의 표준 가스(이하 NOAA-12)를 이용하였다. NOAA-12를 주입하기 이전에 pH와 EC 전극이 설치된 TBR에 DIW 800 mL를 담고 밀봉하였다. DIW 주입과 전극 설치 중에 TBR 내에 남아 있던 기포는 3-way 밸브(Fig. 1의 V3)와 주사기를 이용하여 제거 하였다. 이후 NOAA-12 300 mL를 주사기를 이용하여 주입하였다(Fig. 1의 V3). 반응은 약 3시간 진행되었다.
2.2.2. 중농도 가스 반응 실험(CO2-MIX)
Baseline 반응 실험 종료 이후 TBR 내에 남아 있는 NOAA-12를 주사기로 제거하고, 중농도 CO2 가스(이하 CO2-MIX)를 300 mL 주입하였다. CO2-MIX는 고순도 CO2(99.999%)와 초고순도 N2(99.9999%)를 약 1:124 비율로 혼합하여 실험실에서 제조하였다. 반응 실험 이전 CRDS 분석 결과 CO2-MIX의 CO2 농도는 7,940 ± 29 ppmv, δ13C는 -25.0 ± 0.1‰로 나타났다. 제조된 CO2-MIX는 다층(multi-layered) 가스 시료 bag(Restekⓒ, USA)에 보관되었다.
2.2.3. 고농도 가스 반응 실험(CO2-100)
고농도 CO2 반응 실험에서는 baseline 반응 실험을 반복하고, NOAA-12를 제거한 후 100% CO2 고순도 가스 (이하 CO2-100)를 300 mL 주입하였다. CRDS는 CO2 농도가 3%를 초과하는 시료에 대해서는 분석이 불가능하므로, CO2-100의 δ13C 값은 2.2.2에서 언급한 CO2-MIX 값을 유지하는 것으로 가정하였다.
2.3. CRDS 분석
MC로 추출된 가스의 CO2 농도와 δ13C는 CRDS(G2121-i, Picarro, USA)로 실시간 분석하였다(Fig. 1). 실험 기간 중 NOAA-12를 주기적으로 분석하여 CO2 농도와 δ13C의 정확도(n = 12, CO2 = 437 ± 10 ppmv, δ13C = -13.7 ± 1.6‰)를 확인하였다. CRDS 장비 사양에서는 380~500 ppmv를 CO2 측정의 최적 농도 범위라고 하였으나, δ13C 분석 결과는 약 2,000 ppmv 이상이어야 δ13C 정밀도가 현저하게 높아진다. 따라서 2,000 ppm 이하 저농도 시료의 δ13C 분석값의 해석에는 CRDS의 정밀도와 정확도를 감안하여야 한다.
MC로부터 추출된 가스의 수분(H2O(g))이 CRDS 장치에 악영향을 줄 수 있기 때문에 TBR V1 밸브와 CRDS 사이에 수분제거필터를 설치하였다다(Fig. 1). 수분제거필터는 실험실에서 길이 13 cm 튜브(내경 63 mm)에 DrieriteTM (W.A. Hammond 사(社), 10 ~ 20 mesh)를 채워 넣어서 만들었다. 수분제거필터를 포함하여 TBR의 V1에서 CRDS 시료 주입구까지의 길이는 약 117 cm이다.
2.4. pH와 EC 측정
반응 실험이 진행되는 동안 pH와 EC는 Hach 사(社)의 HQ40d를 이용하여 측정하였다. 실험 중 pH 전극의 고장으로 인하여 전극을 교체하였다. CO2-MIX 실험에는 PHC301 전극(Hach 사(社))을 사용하였고, CO2-100 실험에는 PHC101 전극(Hach 사(社))를 사용하였다. 각 실험이 시작되기 전에 pH는 표준시료로 보정하였다. 측정 간격은 10초를 유지하였으나, pH와 EC 값이 안정된 이후에는 1분 간격으로 측정하기도 하였다. 물의 온도는 pH와 EC 전극에 내장된 온도계로 측정하였다. 이와는 별도로 실험실 기온은 실험 장치 인근에 비치된 온도계(Center 31 사(社), Hydro Thermometer)의 값을 약 30분마다 기록하였다. 온도 및 압력, 물-가스 비율과 가스 농도에 따른 pH와 EC는 PHREEQC(Parkhurst and Appelo, 1999)로 계산하였다.
|
Fig. 1 Schematic diagram of the setup for measuring dissolved CO2 concentration and δ13C changes using a membrane contactor (MC). The tedlar bag reactor (TBR) holds deionized water (DIW), with the MC submerged in it. |
NOAA-12 baseline 반응 실험과 CO2-MIX와 CO2-100의 반응 실험의 pH, EC 측정 결과와 MC로 추출된 가스의 CO2 농도와 δ13C 분석결과를 실험 시간을 x축으로 하는 그래프에 나타내었다(Fig. 2). CO2-MIX 실험은 9시 52분에 시작하여 NOAA-12를 3시간 30분 동안 반응시켰고, CO2-MIX 주입 후 3시간 15분 동안 수행되었다. CO2-100 실험은 NOAA-12를 10시 16분에 주입하여 2시간 54분 반응시켰고, CO2-100 주입 후 3시간 45분 동안 반응을 관찰하였다. 2.2 절에서 설명한 바와 같이 NOAA-12 반응 후 TBR에 남아 있는 NOAA-12 가스를 주사기로 빼낸 후에 각각 CO2-MIX와 CO2-100 가스를 주입하였다.
3.1. pH, 온도, EC의 변화
CO2-MIX와 CO2-100 반응 실험 결과를 각각 Fig. 2a, c, e 그리고 Fig. 2b, d, f에 나타내었다. Fig. 2의 a와 b에서 pH 변화의 주요 시점의 pH와 DIW의 온도는 Table 1에 나타내었다. DIW에 NOAA-12 가스를 주입한 후 pH는 5.74(Fig. 2a의 ⓐ)와 5.65(Fig. 2b의 ⓖ)에서 일정하게 유지된다. NOAA-12 실험 조건(ⓑ, ⓗ)에서 CO2 용해 반응을 PHREEQC의 GAS_PHASES 키워드를 이용하여 계산한 결과(Table 1), pH는 두 조건에서 모두 5.87로, 측정 결과에 비하여 각각 0.13, 0.22 높았다. 다소 차이가 있으나 계산결과와 측정결과의 차이는 근소한 것으로 판단된다. 다만 이러한 차이를 나타낼 수 있는 이유를 기술하면 아래와 같다.
동일한 NOAA-12 실험 조건에서 pH의 차이(5.74와 5.65 약 0.1 차이)는 온도 차이, 선행 실험에서 잔존한 CO2의 영향, pH 전극의 교체에 의한 영향일 수 있다. CO2는 물 온도가 낮을수록 용해도가 높다. CO2-100 실험의 NOAA-12 반응 시 물의 온도는 평균 22.9 ± 0.5oC로, CO2-MIX 실험의 NOAA-12 반응 시 물의 온도는 평균 24.6 ± 0.3oC에 비하여 약 1.7oC 낮다. 따라서 CO2가 더 용해되어 pH가 낮아졌을 가능성이 있다. 그러나 PHREEQC를 이용하여 ⓑ(24.8oC)와 ⓗ(23.2oC) 시점의 조건에서 pH를 계산한 결과(5.87) 차이가 나타나지 않았다(Table 1). 한편, 선행 실험 후 TBR은 세척 후 사용하였으나, MC의 경우 TBR 내부에 장착되어 있어서 충분히 세척을 하지 못하였다. 따라서 MC 내부에 잔류한 CO2가 CO2-100의 NOAA-12 실험에 영향을 주었을 가능성이 있다. 그러나 MC로 추출된 가스의 CO2 농도 분석 결과 CO2-100의 NOAA-12 실험의 CO2 농도는 472 ppmv(Table 2에서 ⓞ)로 CO2-MIX의 NOAA-12 실험의 CO2 농도 488 ppmv(Table 2에서 ⓜ)에 비해 낮다. 따라서 MC에 잔류한 CO2가 있다고 하더라도 잔류 CO2에 의해서 pH가 감소하였다고 보기 어렵다. 마지막으로 pH 전극의 고장으로 인하여 CO2-MIX 실험과 CO2-100 실험은 각각 다른 pH 전극을 이용하였다(2.4절 참조). 각각 실험 전 보정을 수행하였으나, pH 전극의 교체와 보정의 오차로 인해 pH의 차이가 근소하게 나타났을 수 있다. 결론적으로 NOAA-12 실험에서의 pH 차이는 전극 교체에 의한 영향이라고 판단된다.
한편, Fig. 2에는 pH와 EC 전극에 내장된 온도계로 측정한 물의 온도와 실험실 내 기온 자료가 나타나 있다. 본 실험에서는 실험실 에어컨으로 온도를 제어하였다. 이로 인해 실내 온도의 변화가 물 온도 변화에 영향을 미친 것으로 보인다. PHREEQC 계산 결과, 약 1.6도의 온도 차이는 CO2 용해 반응에 큰 영향을 주지 않는 것으로 확인되었다. pH의 경우 약 0.002의 차이가 나타나며, CO2(aq)와 HCO3- 이온의 농도에도 각각 1.2∙10-4, 1.0∙10-5 mmol/kgw 정도의 매우 작은 차이만 야기한다(Table 1의 ⓑ와 ⓗ의 계산 결과). CO2-MIX 실험(Fig. 2a)의 NOAA-12 주입과 CO2-100 실험(Fig. 2b)의 CO2-100 주입에서 기온의 변화는 크지 않은데, 물의 온도는 지속적으로 상승하는 현상이 관찰되었다. 이는 교반에 의한 물의 마찰열의 영향으로 판단된다. 후속 연구에서는 실험실 기온과 물 온도의 정밀한 제어가 필요하다.
Fig. 2c와 d에는 EC의 변화를 나타내었다. DIW를 이용한 실험임에도 불구하고 EC는 매우 일정한 비율로 상승하였다. 이는 CO2가 용해되어 용존 이온(주로 HCO3-)이 증가한 결과일 수 있지만, PHREEQC 계산 결과 CO2-100 주입에 의해 약 32 μS/cm 증가하는 것을 제외하고는 NOAA-12 주입이나 CO2-MIX 주입에서는 EC가 측정결과와 같이 의미있게 증가하지 않는다. 게다가 CO2 용해 반응이 평형에 도달한 것으로 보이는 ⓐ, ⓓ, ⓖ, ⓙ 시점 이후에는 EC도 일정하게 유지되어야 함에도 EC는 일정한 비율로 증가한다. 다만 CO2-MIX 실험의 ⓒ에서 ⓓ시점(Fig. 2c), CO2-100 실험의 ⓘ에서 ⓙ시점(Fig. 2d)에서 측정된 EC는 각각 2, 31 μS/cm 증가하여 PHREEQC로 계산한 결과(Table 1)와 일치한다.
CO2 용해에 의한 EC 증가를 상회하는 증가는 pH 전극으로부터 KCl 용액이 누출되었기 때문인 것으로 판단된다. 실험에 사용된 PHC301 전극(CO2-MIX 실험에 사용)은 전해액(3M KCl solution saturated with AgCl; Cat. 28417-00)을 재충전(refill) 하는 전극이고, PHC101 전극(CO2-100 실험에 사용)은 겔(gel)에 전해질이 용해되어있는 방식이다. 두 방식의 전극 모두 기준전극(reference electrode)에 격막(diaphragm)이 있어서 전해액이 시료로 흘러나올 수 있다(Hach, 2013). 본 실험에서는 반응 실험 전/후 K 또는 Cl 농도를 분석하지는 않았으나, 향후 DIW를 이용하여 pH를 연속으로 측정하는 연구에서는 pH 전극으로부터 유출되는 전해액의 영향을 고려하여야 한다.
3.2. MC로 추출된 가스
Fig. 2e와 f에는 CO2-MIX, CO2-100 반응 실험 시 MC로 추출된 가스의 CO2 농도와 δ13C의 CRDS 분석결과를 각각 나타내었다. CRDS는 약 1.2초에 1회 분석 결과를 저장한다. Fig. 2e와 f의 CO2 농도는 원자료(raw data)를 나타내었고, δ13C는 1분 동안의 평균을 1분당 나타내었다. 가령 13시 13분에 나타낸 자료는 13시 12분 30초부터 13분 30초까지의 평균값이다(n ≈ 50).
MC로 추출된 CO2 농도는 NOAA-12 주입 시 약 700 ppmv까지 증가 후 서서히 감소한다. 반응 1시간 후부터는 일정하게 유지된다(Fig. 2e, f). CO2-MIX와 CO2-100 가스가 주입된 이후에 CO2 농도는 증가하는 현상이 뚜렷하다. 그러나 CO2 농도가 비교적 일정해지기까지는 약 2시간 정도 소요되는 것으로 보인다(Fig. 2e, f). 반면 NOAA-12, CO2-MIX 주입 이후 δ13C 값은 매우 심하게 변화하며 정밀도가 낮다. CO2-100을 주입하였을 경우 δ13C의 정밀도는 상당히 개선된다. CO2 농도가 비교적 안정되는 구간인 ⓜ, ⓝ, ⓞ, ⓟ의 1시간동안 CO2 평균과 δ13C 평균값을 Table 2에 나타내었다.
3.2.1. MC로 추출된 CO2 농도 분석 결과
NOAA-12 가스의 CO2 농도가 437 ppmv이고, 이 가스가 용해된 후 MC로 추출된 가스의 CO2 농도는 CO2-MIX 실험과 CO2-100 실험에서 각각 488 및 472 ppmv로 나타났다(Table 2). 한편 CO2-MIX와 CO2-100을 주입한 이후에는 MC로 추출된 가스의 CO2 농도는 각각 599 ppmv와 1.4%(= 13,958 ppmv)로 baseline 농도에 비하여 증가하였다. NOAA-12를 주입하였을 경우 추출된 CO2 농도는 주입된 CO2 농도와 유사하였으나, 주입한 CO2 농도가 높은 경우 추출된 CO2 농도는 주입 CO2에 비하여 크게 감소하였으며, 감소한 비율도 일정하지 않다. 즉, CO2-MIX의 경우 주입된 CO2의 농도에 비하여 약 13배(7,940에서 599 ppmv) 감소하였으나, CO2-100의 경우 71배(99.999에서 1.4%) 감소하였다. 이는 가스 성분의 용해도 차이와 MC 재질의 가스 투과의 선택성에 기인한 것으로 판단된다.
가스 성분의 용해도 차이에 의해서 MC로 추출된 가스 중 CO2 농도가 결정되는지를 확인하기 위해, PHREEQC를 사용하여 CO2, N2의 용존상(aqueous phase) 농도를 계산하였다(Table 1). 이 계산에서는 TBR에 주입되는 가스가 CO2와 N2만 포함된 경우로 제한하였다. O2를 포함할 경우 용존 산소(O2(aq))가 용존 질소(N2(aq))를 산화시켜서 pH가 크게 낮아지는 결과가 나타났기 때문에 O2는 제외하였다. Table 1에 제시된 ⓔ와 ⓚ 조건에서, MC를 통해 같은 비율로 가스가 추출될 경우 CO2의 농도는 각각 11.1%, 95.7%로 나타났다(Table 2 ⓝ과 ⓟ). 이는 CRDS로 측정된 추출 CO2 농도(각각 599 ppmv와 1.4%)에 비해 매우 높은 값이다. 따라서 MC로 추출된 가스 중 CO2 농도 비율이 일정하지 않은 원인은 가스의 용해도 차이보다는 MC의 가스 선택성에 더 큰 영향을 받는 것으로 보인다.
즉, 본 실험 조건에서는 N2 분자(분자량 약 28)에 비하여 큰 CO2 분자(분자량 약 44)의 투과가 원활하지 않은 것으로 판단된다. 본 연구와는 다르게, PP 재질의 MC를 사용한 Matsumoto et al.(2013)의 실험에서는 노블 가스 중 He이나 Ne보다 Ar, Kr, Xe과 같은 무거운 노블 가스가 더 효율적으로 추출됨을 보고한 바 있다. MC의 추출 성분 선택성은 재질 및 코팅 성분, 물의 온도와 염도 그리고 가스 성분의 질량에 영향을 받을 수 있다(Mansourizadeh et al., 2022; Matsumoto et al., 2013). 또한, 같은 재질이라도 멤브레인의 구조, 두께, 고분자와 용매의 조성비에 따라 성능이 달라질 수 있다(Koh et al., 2011; Liu et al., 2003). Liu et al.(2003)의 연구에서는 멤브레인 제조 시 용매의 조성비에 따라서 결정되는 멤브레인의 구조와 기공크기에 따라서 CO2의 선택성을 높일 수 있다고 언급하고 있다. 더불어 MC를 통과하는 물의 유량 역시 가스 농도 평형에 도달하는 시간에 영향을 줄 수 있다(Loose et al., 2009). 따라서 후속 연구에서는 이러한 변수들을 고려하여 실험을 설계하는 것이 바람직하다.
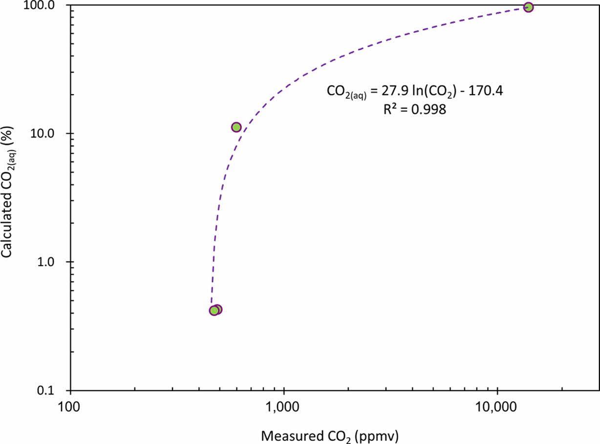
한편, MC로 측정된 CO2 농도를 활용해 CO2(aq)를 추정하는 방법을 제안하였다. 주입한 CO2 농도와 MC로 추출된 CO2 농도는 일정한 관계가 없지만, MC로 추출한 CO2 농도와 CO2(aq) 간에는 상관관계가 있다. CO2(aq)는 PHREEQC를 통해 Table 2의 조건(온도, pH)을 바탕으로 계산되었으며, 계산된 CO2(aq)와 MC로 추출된 CO2 농도 간의 관계는 자연로그 함수(CO2(aq) = 27.9·ln(CO2) - 170.4; R2 = 0.998)로 나타났다(Fig. 3). 예를 들어, MC로 추출된 CO2 농도가 약 2,000 ppmv일 때 CO2(aq) 농도는 42%로 추정된다. 다만, 이 관계식은 4개의 측정 결과에 기반하고 있어 통계적 유의성이 낮고, CO2(aq) 추정을 위해 N2와 같은 다른 용존 가스 농도 측정이 필요하다. 이 방법을 CO2 지중저장 모니터링에 적용하려면 더 많은 실험과 가스 성분 분석이 요구된다.
3.2.2. MC로 추출된 CO2 농도 측정의 오차 분석
Fig. 2e와 f-1의 CO2 농도 그래프에서 반응 초기(↑ⓠ)에 CO2 농도가 약 700 ppmv까지 증가했다가 감소하는 현상이 관찰되었고, 아래 화살표(↓)로 표시된 ⓡ 시점들에서는 CO2 농도가 증감하는 변동이 나타났다. 이는 외부 요인에 의한 오차와 MC의 지연효과에 기인한 것으로 보인다. ⓠ 시점에서는 CRDS로 유입되는 튜브를 V1(Fig. 1)에 연결하는 과정에서 실험자의 호흡(날숨의 CO2 농도: 3 ~ 4%)이 튜브로 유입된 것으로 판단된다. ⓡ 시점에서는 실험자가 TBR 근처에서 실험 장치 점검 및 실내 온도 기록을 시작하면서 생긴 TBR의 미세한 온도 및 압력 변화가 영향을 미쳤다. ⓡ 시점의 피크가 Fig. a와 b에서 실험실 실내 기온 측정 시점과 일치하는 점에서 확인된다. 또한 Fig. 2b의 ⓡ 시점에서 pH가 높게 나타난 이유는 해당 시점이 pH 데이터를 백업하기 위해 다운로드한 시점이었기 때문이다.
한편, ⓠ 시점 이후에 CO2 농도의 감소는 ⓡ 시점에 비해 지연되는 효과가 두드러졌다. 이러한 지연은 δ13C 결과에서도 미약하게 관찰된다. 예를 들어, NOAA-12 반응 초기에 δ13C 값이 다소 낮게 나타났는데, 이는 pH의 평형 도달 시점에 비해 MC로 추출된 CO2 농도가 더 늦게 평형에 도달한 결과로 보인다. Fig. 2a의 ⓐ와 Fig. 2b의 ⓖ 시점 이전에 pH는 용액과 평형에 이른 것으로 판단되는데 MC를 통과한 CO2 농도는 이보다 훨씬 늦게 ⓑ와 ⓗ 시점에 평형에 도달하였다. 이는 MC가 용액 내 가스를 추출할 때 지연효과가 있기 때문이며, Hales et al.(2004)의 연구에서도 CO2가 샘플 루프에서 희석되고 산성화될 때 멤브레인이 CO2를 완전히 균형 상태로 유지하지 못할 수 있음을 언급한 바 있다. 즉, pH가 빠르게 변화하는 환경에서 MC로 추출되는 CO2는 pH의 변화에 비해 느리게 (약 2시간) 반응하는 것으로 생각된다.
3.2.3. MC로 추출된 CO2의 δ13C 분석 결과
CO2 용해 반응이 평형에 도달하면 기체상 CO2(g)과 용존상 CO2(aq)의 δ13C 값은 분별평형을 이루게 된다. 본 실험의 pH 조건에서 용존상의 탄산염은 CO2(aq)가 대부분이고 일부 HCO3-가 있을 수 있다(Table 1). 이에 아래 두 반응(식 (1), (3))에 대한 탄소동위원소의 분별작용은 온도(TK 캘빈 단위의 온도)에 대한 식(식 (2), (4))으로 나타낼 수 있다(Clark and Fritz, 1997).

여기서 α는 동위원소 분별계수(fractionation factor)이고 δ로 표시되는 동위원소비의 차이는 103lnα(이하 ε)과 대략 일치한다. 온도를 고려하여 계산한 ε 값을 적용, CO2(aq)의 δ13C 계산 값을 Table 2에 나타내었다. 계산결과와 분석결과의 차이는 일정하지 않은데, ⓜ의 경우 측정결과가 계산결과에 비하여 0.6‰ 낮게 나타났고, ⓝ과 ⓞ의 경우 반대로 각각 5.6, 3.0‰ 높게 나타났다. ⓟ의 경우 측정결과가 계산결과에 비하여 4.2‰ 낮게 나타났다. 이와 같이 차이가 일정하지 않은 원인은 CRDS의 δ13C 분석의 정밀도 차이에 의한 것으로 판단된다. 다만 CO2-100 실험의 경우 주입한 CO2의 δ13C과 MC로 추출된 가스의 δ13C 표준편차가 0.1‰로 상대적으로 정밀도가 높은 결과이다(Table 2, Fig. 2e, f). 따라서 주입 CO2의 -25.0‰과 MC 추출 CO2의 -30.3‰의 차이만 유의미한 것으로 판단된다.
주입한 CO2(g)와 용존 CO2(aq) 사이의 δ13C 차이(ε)는 예상치(-1.1‰)보다 큰 -5.3‰의 차이를 보이며 이는 다음과 같은 여러 요인에 의해 발생할 수 있다. 첫째, MC가 13CO2보다 12CO2를 더 잘 통과시킬 가능성이 있다. 그러나 이 설명만으로는 계산보다 측정치가 높게 나타난 ⓝ 및 ⓞ 시점을 해명하기 어렵다. 또한, Matsumoto et al.(2013)은 3He/4He와 같은 노블 가스에서 MC를 통한 동위원소 분별이 거의 없다고 보고한 바 있다. 둘째, ⓜ, ⓝ, ⓞ 시점에서는 pH가 상대적으로 높아 CO2(aq)가 추출될 때 르샤틀리에 원리에 의해 δ13C 값이 높은 HCO3-가 함께 추출되었을 가능성이 있다. 마지막으로, 반응 초기에 13CO2가 12CO2보다 먼저 용해되었을 가능성도 있다. 이로 인해 잔류 CO2에 12CO2의 비율이 높아져, ⓟ 시점에서 δ13C 값이 더 낮아졌을 수 있다. 이러한 가설들은 추가적인 실험과 분석을 통해 검증할 필요가 있다.
3.3. MC-TBR 실험의 한계와 향후 연구 제안
본 연구는 CO2가 탈이온수에 용해되는 반응을 관찰하고, 용해된 CO2를 MC로 추출하여 CO2 농도와 δ13C 변화를 CRDS로 분석하였다. 실험 결과, CO2 용해와 MC의 용존 가스 추출 및 분석이 가능함을 확인하였다. 그러나 다음과 같이 위 실험의 한계를 확인할 수 있었으며, 이를 개선하기 위한 향후 연구방안을 제안할 수 있다. (1) Tedlar bag 밀폐성 문제: 실험에 사용된 Tedlar bag은 가스 투과 가능성이 있어, 가스 보존성을 높이기 위해 다층 Tedlar bag을 사용하거나 밀폐성이 강화된 용기로 교체가 필요하다. (2) 정량화 보완: CO2 농도를 통해 CO2(aq)를 정량화하려면 가스 성분 간 관계와 알칼리도 측정 및 다양한 CO2 농도 조건에서의 실험이 요구된다. (3) δ13C 분석 신뢰성: δ13C의 교차 검증 등의 추가 분석이 필요하며, δ13C 계산값과의 차이에 대한 원인 규명이 필요하다. (4) pH 센서: 전해질 누출 여부를 확인하기 위해 DIW의 용존 K 및 Cl 성분을 분석할 필요가 있다. 용존 탄산염 외 용존 이온이 변화할 경우 CO2의 용해도에 영향을 미칠 수 있다.
위에 언급한 한계와 개선점 외에 MC의 활용도를 높이기 위해서는 다음과 같은 추가 실험이 필요하다. (1) 물 순환 효율: 자성 교반기의 rpm을 조절하여 MC 내부 물 순환 정도를 평가하고, 적절한 유량을 유지하는 방안을 모색해야 한다. (2) 멤브레인 막힘 문제: 탁도가 높은 물은 멤브레인을 막아 성능 저하를 일으킬 수 있으며, 필터 사용 시 장기 유지보수가 필요해 장기 모니터링에 한계가 있다. MC에 유입되는 물의 부유물을 제거하는 필터를 설치할 경우 필터의 효율과 안정성을 평가하여야 한다. (3) 미세 버블 영향: 버블이 MC의 기체 투과 효율에 영향을 미칠 수 있으므로(Loose et al., 2009), 미세 버블이 있는 상황에서 MC 성능에 대한 추가 연구가 필요하다.
|
Fig. 2 Changes in pH and temperature during CO2 dissolution are shown in (a) and (b). The temperature was measured using a thermometer of pH (blue line) and laboratory air (blue dots). Changes in electrical conductivity (EC) and temperature measured by the EC sensor are shown in (c) and (d). CRDS analysis results for CO2 concentration and δ13C of the gas extracted using the membrane contactor (MC) are presented in (e) and (f). The intervals marked NOAA-12, CO2-MIX, and CO2-100 correspond to reactions with NOAA-12, mixed CO2 gas, and 100% CO2, respectively. Circled alphabets in the figure are explained in Section 3, Results and Discussion. |
|
Fig. 3 Relationship between the CO2(g) concentration measured by the MC and the calculated CO2(aq) concentration. |
|
Table 1 Average CO2 concentration and δ13C values of the gas extracted using the membrane contactor (MC). The time intervals are shown in Fig. 2e and 2f |
Gas* represents the composition of the gas injected into the TBR (tedlar bag reactor), while MC* indicates the values analyzed after the injected gas has dissolved and was extracted using the MC. D# refers to the difference between the measured and calculated values. |
|
Table 2 Measured pH and temperature at key points of pH changes shown in Fig. 2. These values represent the averages of measurements taken over a 10-minute period. The table also includes results from GAS_PHASES calculations using the geochemical software PHREEQC. The PHREEQC calculations were performed by incorporating the concentrations of CO2 and N2, as well as the temperature at each corresponding time point |
mmol/kgw* represents molality concentration, where kgw denotes the mas s of water |
본 연구는 멤브레인 콘택터(MC)와 Tedlar bag reactor (TBR)를 활용하여 탈이온수에 용해된 CO2의 농도와 탄소동위원소(δ13C)를 분석하여 CO2 용해 반응을 실시간으로 모니터링하는 방법을 제시하였다. 실험 결과, MC는 CO2가 용해된 물에서 안정적으로 가스를 추출할 수 있었으며, 이 시스템은 CO2 농도와 δ13C 변화를 성공적으로 관찰하였다. 특히, CO2 지중저장 모니터링과 같은 환경에서 정확도가 다소 낮더라도 짧은 간격으로 변화하는 가스 농도를 실시간 원위치에서 감지할 수 있는 이점이 있으며, 이는 CO2 저장 모니터링뿐만 아니라 화산가스 및 지진 활동 모니터링에도 유용하게 적용될 수 있다. 또한, 이 시스템은 극미량 노블 가스나 수소 등 다양한 가스 샘플링에 적합하여, 향후 환경 모니터링 및 가스 저장 안전성 평가 분야에서 폭넓게 활용될 가능성이 있다.
본 연구는 한국지질자원연구원에서 수행중인 “CO2 저장효율 향상 기술 개발(NP2024-004)”, “한반도 활화산 특성평가 및 화산 감시 기반기술 개발(GP2021-006)”과제의 일환으로 수행되었습니다.
This Article2025; 30(1): 1-11
Published on Feb 28, 2025
Services
Correspondence toKorea Institute of Geoscience and Mineral Resources, 124 Gwahak-ro, Yuseoung-gu, Daejeon 34132, Korea