
Yong Hwa Oh*
Department of Convergence Study on the Ocean Science and Technology, Korea Maritime and Ocean University, Busan 49112, Republic of Korea
오 용 화*
국립한국해양대학교 해양과학기술전문대학원 해양과학기술융합학과
This article is an open access article distributed under the terms of the Creative Commons Attribution Non-Commercial License (http://creativecommons.org/licenses/by-nc/4.0) which permits unrestricted non-commercial use, distribution, and reproduction in any medium, provided the original work is properly cited.
We investigated sampling methods for measuring Rn-222 activity in groundwater to ensure the reliable collection of representative samples that reflect aquifer characteristics. In particular, we considered the effects of groundwater purging time and aeration during the water pumping process. Three different groundwater wells were investigated for the experiments, and Rn-222 activity in groundwater was measured using a liquid scintillation counter (Perkin Elmer, Wallac 1220 Quantulus). The constant Rn-222 activity was observed after approximately 15 minutes of groundwater purging. A decrease in Rn-222 activity was observed as the pump capacity increased, suggesting that the aeration effect was mitigated below a pump capacity of 3 L min-1. Therefore, in field investigations where prolonged purging is not feasible, it is recommended to purge for at least 15 minutes with a pump capacity below approximately 3 L min-1 to reduce purging time and minimize the aeration effect. This study is expected to serve as a valuable foundation for establishing guidelines for systematic groundwater sampling methods
Keywords: Groundwater sampling; Rn-222; Purging time; Aeration effect; Liquid scintillation counter
자연환경에 존재하는 Rn-222(radon; 반감기: 3.8일)는 원자번호 86번으로 222 g mol-1의 원자량을 가지며 공기보다 무거운 특성을 가지고 있다. 또한, 암석, 토양, 퇴적물 등에 존재하는 Ra-226으로부터 붕괴되어 생성된 Rn-222는 비활성기체로 낮은 반응성으로 인해 환경에서 비교적 보존적으로 거동하는 특성이 있다(Liefer et al., 2014; Xu et al., 2010). 이러한 Rn-222의 특성(짧은 반감기와 보존적 거동)은 연안해양환경에서 수일 또는 수십일 등 짧은 시간 규모의 해수 순환 연구(물의 체류시간 산정 등)에 매우 훌륭한 추적자로 이용되고 있다(Hwang et al., 2005; Oh et al., 2020a). 또한, 지표수(해수, 강물 등)에 비해 지하수 중 Rn-222의 농도가 100~1,000배 높다는 특징은 연안지역에서의 해저지하수 유출량 추정 연구에 활용되며(Burnett and Dulaiova, 2006; Peterson et al., 2010; Santos et al., 2008), 지진 발생 전 지하수나 토양 공기 중 Rn-222 농도변화를 이용하여 지진 예측 연구에도 활용되고 있다(Huang et al., 2024; Neri et al., 2016; Woith, 2015). 최근에는 강물과 지하수 중 Rn-222 농도값을 이용하여 강에서의 지하수 기저 유출량 산정 연구에 있어서도 좋은 자연 추적자로 활용되고 있다(Cartwright and Hofmann, 2016; Cranswick et al., 2014; Zhang et al., 2016).
지구상에 존재하는 수문 순환 고리 중 하나인 지하수는 인간에게 생활/공업/산업 용수 등을 공급하는 수자원인 동시에 생태학적으로 중요한 역할을 하고 있다. 특히, 인간 활동과 기후변화에 의한 강우유형이나 증발산량의 변동이 지표수의 수질/수량 측면에서 큰 변화를 일으키는 상황에서 인간과 생태계의 지하수 의존 가능성이 높아지고 있다. 이와 관련하여, 생태계의 구성과 기능 등이 지하수의 공급에 의존하는 생태계를 의미하는 지하수의존 생태계(Groundwater–Dependent Ecosystems; GDEs)에 대한 연구가 활발히 진행되고 있다(Erostate et al., 2020; Kløve et al., 2014).
미국 환경보호청(United States Environmental Protection Agency; USEPA)은 Rn-222이 흡연에 이어 폐암 발생의 두 번째 주요 원인이며, 실내에 존재하는 Rn 동위원소에 의해 연간 약 2만 명 정도가 사망한다고 보고한 바 있다(USEPA, 2004). 공기 중 Rn-222에 장기간 노출되면 폐 기능 저하 및 기타 호흡기 질환을 초래할 수 있다고 알려져 있다. 뿐만 아니라, NRC(National Research Council; NRC)은 Rn-222이 포함된 음용수의 직접적인 섭취가 인체에 미치는 영향도 무시할 수 없다고 발표한 바 있다 (NRC, 1999). 따라서, 지하수에 존재하는 Rn-222의 섭취로 인한 건강 위험성과 관련하여, 미국의 경우 지하수 중 Rn-222 농도를 148 Bq L-1(4,000 pCi L-1)로 제안하고 있으며(USEPA, 2009), 호주(National Health and Medical Research Council; NHMRC)와 뉴질랜드(Ministry of Health; MH)의 경우 모두 100 Bq L-1로 제한하고 있다(MH, 2008; NHMRC, 2011). 또한, 핀란드와 노르웨이의 경우 각각 300 Bq L-1과 500 Bq L-1로 제한하고 있다(SSI, 1999). 국내의 경우 [먹는물 수질감시항목 운영 등에 관한 고시; 환경부고시 제2023-149호]에서 음용수 중 Rn-222 농도의 권고 기준을 미국의 제한치과 동일하게 148 Bq L-1로 제시하고 있다. 그러나 음용수 중 Rn-222 섭취로 인한 직/간접적인 사망자에 대한 역학조사와 실질적 위해성에 관한 통계자료를 기반으로 한 적절한 수질 기준이 마련되어야 하는 실정이다. 이와 관련하여, 현재 국내에서는 지하수 중 Rn-222의 제거 방법(폭기 등)이나 분석과 관련된 정도 관리에 관련된 연구는 이루어지고 있으나(Cho et al., 2010; Jeong et al., 2013) 지하수 중 Rn-222 농도의 정확하고 효율적인 측정을 위한 시료 채취 방법과 관련된 연구는 거의 전무한 실정이다. 특히, 많은 수의 시료를 짧은 시간 내에 분석해야 하는 지역 또는 국가 규모의 지하수 중 Rn-222 함량 실태 조사의 경우, 시료 내 Rn-222의 반감기를 고려하여 농도를 신속히 측정해야 하기 때문에, 여러 가지 현장 여건을 고려한 현실성 있고 표준화된 시료 채취 방법에 대한 연구가 필요한 실정이다.
지하수 중 Rn-222 농도 측정을 위한 시료 채취 방법으로 호주 정부에서 제시하고 있는 지하수 샘플링 현장 조사 가이드 내에서는 일반적으로 지하수 수온, pH, 전기전도도 둥 현장 수질의 안정도를 확인하며, 지하수 관정 부피의 최소 3배 이상의 지하수를 퍼징(purging)하는 것을 권장하고 있다(Sundaram et al., 2009). 또한, 대표성 있는 지하수 시료 확보를 위해 지하수 수질이 안정될 때까지 약 30분동안 충분히 퍼징 후 지하수를 채취하는 방법을 이용한 연구도 있다(Cecil and Gesell, 1992; Manawi et al., 2024). 국내의 경우, [먹는물 수질감시항목 운영 등에 관한 고시]에서 먹는물 수질감시항목 시험방법(제6조 제3항)에서 LSC를 이용한 먹는물, 샘물 및 염지하수 중 Rn-222을 측정하기 위한 시료 채취 방법을 제시하고 있다. 이 조항에 대해 간략히 정리하면, (1) 시료 채취를 위해 2분간 물을 흐르게 하여 정류 상태로 안정화시킨 뒤 (2) 호수나 튜브를 활용하여 기포가 발생하지 않도록 주의하면서 플라스틱 비커를 이용하여 흐르는 물을 채취한다. (3) 물을 지속적으로 흘리면서 pipette을 이용하여 시료를 채취한 뒤, (4) 30회 이상 흔들어 시료와 섬광용액을 혼합시키는 순서로 되어있다. 그러나, 이러한 방법은 시료를 쉽게 확보할 수 있는 수돗물에 대한 시료 채취 방법이라 펌프를 이용한 지하수 시료 채취에 대한 내용을 자세히 언급되어 있지 않은 실정이다. 지하수 중 Rn-222 농도 측정을 위한 국내에서 수행된 연구에서는, 펌프 이용 시 10~20분 동안 지하수를 양수하여 퍼징하거나 적절한 시간 동안 물을 흘려보낸 뒤 지하수의 온도, pH, 전기전도도의 안정도를 확인 후 시료를 채취하는 방법(Jeong et al., 2016; Lee, 2018) 등을 이용하고 있다. 그러나, Rn-222가 가스 상태임을 고려할 때, 지하수 중 Rn-222 농도 측정을 위한 시료 채취 시 큰 오차를 만들어 낼 수 있는 지하수의 양수 속도와 시료 채취 전 퍼징 시간, 관정의 부피 등을 고려하여 현장에 직접적으로 적용할 수 있는 구체적이고 표준화된 지하수 시료 채취 방법에 대한 연구는 매우 부족한 실정이다.
따라서, 본 연구에서는 지하수 중 Rn-222 농도 측정을 위해 대표성 있는 지하수 시료 채취 방법에 대해 연구하였다. 이를 위해 펌프 용량과 관정 부피의 차이가 있는 조건에서 관정에 기존 존재하는 지하수 대신 대표성 있는 신선한 지하수를 채취하기 위한 퍼징 시간에 따른 지하수 중 Rn-222 농도를 측정 실험을 수행하였다. 또한, 시료 채취 시 폭기로 인한 지하수 중 Rn-222의 대기로의 확산 영향을 조사하기 위해 펌프 용량의 차이(큰 펌프 용량일 경우 폭기 확률이 높음)에 따른 지하수 중 Rn-222 농도를 측정하였다.
지하수 시료는2020년 7월 한국지질자원연구원 내에 위치한 연구용 관정(K1 관정)과 부여 백제보 부근에 위치한 농업용 지하수 관정(M1과 M2 관정)에서 채취하여 지하수 중 Rn-222 농도를 측정하였다. M1과 M2 관정 굴착 심도는 각각 16 m와 150 m 였으며, 관정 지름의 경우 각각 5 cm과 20 cm 였으며, 스크린의 여부는 확인하지 못하였다. K1관정의 경우 정확한 굴착 심도와 관정 지름, 스크린 여부를 확인하지 못하였다.
2.1. 시료 채취
지하수 중 Rn-222 농도 측정을 위한 적정한 퍼징 시간을 조사하기 위해, K1 관정에서 일정한 양수량(0.5 L min-1)의 폄프를 이용하여 퍼징 시간(양수 시작 직후와 시작 후, 3, 5, 10, 15, 20, 30, 40분 경과 후)에 따른 지하수 중 Rn-222 농도와 현장 수질(수온, 전기전도도, pH)을 측정하였다. 또한, 본 연구에서 수행된 시료 채취 방법의 현장 적용성을 확인하기 위해, 부여 백제보 부근의 두 관정(M1 Well과 M2 Well)에서 용량이 다른(M1: 1 L min-1; M2: 240 L min-1) 수중 펌프를 이용하여 지하수 시료를 채취하였다. 이는 지하수 중 Rn-222 농도 측정에 있어 펌프 용량 및 관정 부피에 따른 적정한 지하수 퍼징 시간을 알아보기 위함으로, 양수 시작 직후와 시작 후 1, 3, 5, 10, 15, 20, 30분 경과 후의 시료를 채취하여 지하수 중 Rn-222 농도를 측정하였다. 또한, 펌프 용량에 따른 폭기에 의한 영향을 조사하기 위해, M2 관정에서 1시간 동안 퍼징한 뒤, 각기 다른 펌프 용량(1.5, 2.1, 3.0, 11, 18, 23, 25 L min-1)을 이용하여 지하수 시료를 채취하였다.
2.2. 현장 수질 측정과 Rn-222 농도 분석
지하수의 현장 수질(수온, 전기전도도, pH)은 휴대용 수질측정장비(Multi 3620 IDS, WTW, Germany)를 이용하여 측정하였다. 지하수 중 Rn-222 농도는 한국지질자원연구원의 극저준위의 알파, 베타핵종의 측정에 효과적인 것으로 알려진 액체섬광계수기(Liquid Scintillation Counter; LSC; Perkin Elmer, Wallac 1220 Quantulus)를 이용하여 수행하였다(Oh et al., 2020b). 현장 수질은 퍼징 동안 지하수의 연속흐름 상태에서 측정하였으며, Rn-222 측정을 위해 시료를 교란 없이 비커에 받아 실험실에서 준비한 12 mL의 섬광용액(Qptiphase Hisafe3, PerkinElmer)을 넣어 둔 20 mL vial에 pipette을 이용하여 지하수 시료 8 mL을 넣어 혼합하였다. 모든 과정에서 시료 채취 후 신속하게 vial의 뚜껑을 닫아 실험 오차를 줄이고자 하였으며, 그 뒤 혼합된 시료를 2분 이상 흔들어 시료와 섬광용액이 잘 혼합되어 시료 중 Rn-222이 섬광용액으로 잘 추출되게 하였다. Rn-222의 경우 그 반감기(3.8일)가 짧기 때문에, 시료 채취 시간과 측정 시간을 이용하여 붕괴에 의한 농도 감소를 보정하였다. 또한, Rn-222의 딸핵종인 Po-218(반감기: 3.1 min)과 Po-214(반감기: 0.16 ms)의 반감기를 고려하여, 시료 채취 후 약 4시간 뒤 Rn-222과 딸핵종이 완전히 방사평형(secular equilibrium)을 이룬 뒤 LSC를 이용하여 지하수 중 Rn-222 농도를 측정하였다. LSC를 이용한 물 시료 중 Rn-222 농도 측정법은 잘 알려진 방법을 이용하였다(Cho et al., 2019). 시료와 배경 농도(background activity)는 모두 5시간 동안 측정하였으며, minimum detectable activity는 0.2 Bq L-1였다. 시료의 Rn-222 농도의 경우, 시료 농도, 배경 농도, 붕괴 시간 보정, 측정효율, 시료의 부피를 이용하여 계산하였다.
3.1. 퍼징 시간(purging time)의 영향
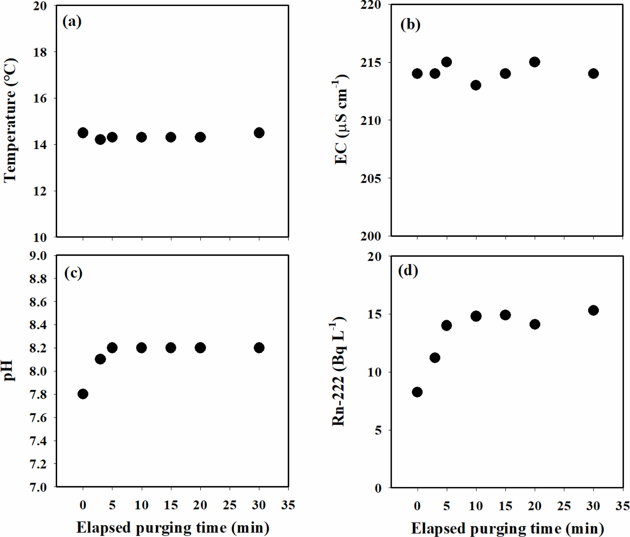
지하수 중 Rn-222는 암반이나 토양에 존재하는 Ra-226의 붕괴에 의해 생성되어 공급된다. 따라서, 지하수 관정 내에 기존 존재하는 지하수는 암반과의 접촉 시간이 어느 정도 경과하였기 때문에, 이 지하수에서 측정된 Rn-222 농도는 그 대표성이 떨어질 수 있다. 따라서, 본 연구에는 현장 적용에 앞서 K1 관정 지하수를 이용하여 퍼징 시간에 따른 Rn-222 농도와 현장 수질의 변화를 측정하였다(Fig. 1). 펌프 작동 직후와 펌프 작동 후 3, 5, 10, 15, 20, 30분 경과 후 시간에 따른 지하수의 수온과 전기전도도는 각각 14.3~14.5oC와 213~215 μS cm-1의 범위를 나타내어 30분간 변화가 거의 없음을 알 수 있었다. 그러나 pH의 경우 펌프 작동 직후 7.8의 값을 보였지만 3분 뒤부터 30분까지는 8.1~8.2의 값을 나타내었다. Rn-222 농도의 경우, 펌프 작동 직후는 8.2 Bq L-1의 값을 보였으나 5분간은 그 농도가 상승하여 안정된 값을 보였으며 30분 뒤에는 15.3 Bq L-1의 값을 보여, 초기보다 약 2배 높은 값을 보였다. 이러한 결과는 관정 지하수의 대표성 있는 Rn-222 농도값을 확보하기 위해서는 최소 5분 이상의 퍼징 시간이 필요하다 것을 의미한다. 또한, 시료 채취에 있어 온도와 전기전도도 등이 일정한 값을 보이더라도 대표성 있는 Rn-222 농도 확보를 위해서는 Rn-222 농도가 안정된 값을 보일 때까지 추가적인 퍼징 시간이 필요할 수도 있다는 것을 의미한다.
K1 관정 실험에 이어, 시료 채취에 있어서 퍼징 시간의 영향에 대해 현장 적용 가능성을 확인해 보았다. 지하수 중 Rn-222 농도 측정에 있어 양수량 및 관정의 부피에 따른 적정한 지하수 퍼징 시간을 알아보기 위하여 M1과 M2 관정에서 펌프 용량이 다른(M1: 1 L min-1; M2: 240 L min-1) 수중 펌프를 이용하여 펌프 작동 직후와 펌프 작동 후 1, 3, 5, 10, 15, 20, 30, 40분 경과 후 지하수 시료를 채취하여 Rn-222 농도를 측정하였다(Fig. 2). M1 관정의 경우 펌프 작동 후 15분까지는 Rn-222 농도가 전반적으로 상승하는 경향을 보이다가 그 이후 일정한 값을 나타낸 반면, M2 관정의 경우 펌프 작동 5분 후부터 일정한 값을 보이기 시작하였다. 이는 M2 관정의 펌프 용량이 M1에 비해 매우 크기 때문에 상대적으로 빠른 퍼징 과정이 일어났기 때문이라 판단된다. 또한, M1 관정의 경우, 관정의 굴착 심도, 관정 지름, 지하수 수위를 고려하여 계산된 관정 내 지하수 부피의 약 60% 정도를 퍼징 했을 시기부터 일정한 값을 보이기 시작하였으며, 부피의 100%를 퍼징 한 뒤에도 일정한 값을 보였다(Fig. 2a). 두 관정에서 다른 펌프 용량을 가지고 실험을 하였지만, M1과 M2 모두 15분 이후는 일정한 값을 나타내어, USEPA에서 권고하는 방법과 일치함을 알 수 있었다. 반면, 본 연구 결과는 시료 채취 시 높은 용량(200 L min-1 이상)을 보유한 펌프를 이용한다면 대수층 수질을 대표할 수 있는 지하수 확보를 위해 필요한 퍼징 시간(15분 이상)을 기존보다 감소될 수 있다는 것을 의미한다.
3.2. 폭기에 의한 영향
현재 많은 연구에서 지하수 중 Rn-222 농도 측정을 위해 지하수 관정에서 수중 펌프나 베일러 등을 이용하여 지하수를 확보한 뒤 비커에 시료를 받은 후 pipette을 이용하여 지하수 시료 8 mL을 채취하는 방법을 이용하고 있다. 그러나, 이 과정에서 펌프 용량이 클 경우, 비커에 지하수를 담는 과정에서 폭기에 의한 와류에 의해 지하수 중 Rn-222가 대기로 방출되거나 기포 발생으로 인해 그 농도의 감소가 발생할 수 있다. 이는 정확한 지하수 중 Rn-222 농도 측정에 있어 큰 오차의 원인이 될 수 있다. 따라서, 본 연구에서는 폭기로 인한 Rn-222의 손실 여부를 알아보기 위해 M2 관정에서, 펌프 용량 변화(1.5, 2.1, 3.0, 11, 18, 23, 25 L min-1)에 따른 지하수의 Rn-222 농도를 측정하였다(Fig. 3). 모든 과정에서 기포 발생에 의한 효과를 최소화하여 실험하였다. 그 결과, 가장 낮은 1.5 L min-1의 펌프 용량으로 측정된 Rn-222의 농도는 119 Bq L-1로, 가장 높은 펌프 용량(25 L min-1)을 이용했을 때의 Rn-222 농도(86 Bq L-1)에 비해 약 1.4배가 높게 측정되었다. 또한, 분당 1.5, 2.1, 3.0 L의 상대적으로 작은 펌프 용량을 이용하였을 때의 Rn-222 농도는 서로 큰 차이를 보이지 않았지만 펌프 용량이 커질수록 Rn-222의 감소를 확인할 수 있었다. 비록, 시료의 수가 다소 제한적이지만, 펌프 용량과 지하수 중 Rn-222 농도는 매우 좋은 음의 상관관계(n = 7, r2 = 0.97, p< 0.001)를 보였다(Fig. 3). 이러한 결과는 지하수 중 Rn-222 농도 측정을 위해서는 분당 약 3 L 이하의 펌프 용량이 바람직하다 것을 의미한다. 또한, 기존에 설치된 펌프를 이용하여 시료를 채취할 때 유속 조절이 어려운 경우에는 by-pass 튜브 등을 이용하여 유속을 감속시켜 폭기에 의한 오차를 감소시키는 방법이 유효할 것으로 판단된다.
|
Fig. 1 Time-series results of (a) groudwater temperature, (b) electricla conductivity, (c) pH, and (d) Rn-222 activity in groundwater (K1 Well) after purging starting. |
|
Fig. 2 Time-series results of Rn-222 activity (Bq L−1) in gourndwater with the flow rate (L min−1) and pumping volume (L) of groundwater of (a) 1 L min−1 (M1 Well) and (b) 240 L min−1 (M2 Well). |
|
Fig. 3 Correlation between the flow rate of used pump for groudwater sampling and Rn-222 activity in groundwater. |
본 연구에서는 지하수 중 Rn-222 농도 측정을 위해 지하수 시료 시 오차를 발생시킬 수 있는 퍼징 시간과 폭기에 의한 영향을 조사하여 대표성 있는 지하수 시료를 확보하는 방법을 제안하고자 하였다. 퍼징 시간의 경우, 펌프 용량과 관정의 부피에 따라 차이가 있었지만, 대략 15분 이상 퍼징 이후 일정한 Rn-222 농도값을 보였다. 폭기 영향의 경우 펌프 용량과 밀접하게 관련되어 있어, 용량이 증가함에 따라 폭기 영향이 증가(Rn-222 농도 감소)하였으며, 3 L min-1이하의 펌프 용량에서는 영향이 거의 일정함을 알 수 있었다. 따라서, 현장 조사 시 여건 상 오랜 시간 동안 지하수 퍼징을 할 수 없는 경우, 퍼징 시간 단축과 폭기 영향 감소를 위해 약 3 L min-1의 펌프 용량으로 15분 이상 퍼징한 뒤 시료를 채취하는 것을 추천한다. 본 연구는 다양한 지하수 양수 속도와 관정 부피에서의 연구가 부족하였으며, 지하수 중 불순물이 포함된 시료에 대한 측정법에 대한 부분, 시료 채취 후 시료와 섬광용액의 혼합을 위한 혼합 시간 또는 교반 횟수에 대한 부분이 부족하다는 한계점을 가지고 있다. 그러나, 지하수 중 Rn-222 농도 측정에 있어, 현장 적용성이 높은 시료 채취 방법에 대해 결과를 제시함으로서, 향후 체계적인 시료 채취법 규정을 위한 좋은 기초 자료로 활용될 수 있을 것이라 판단된다. 또한, 전세계적으로 사용 가능한 지표수의 양이 점점 감소함에 따라 지하수 사용률이 증가할 것으로 예상되는 바, 지하수에 존재하는 용존이온물질 또는 방사성물질 등 지하수 수질 조사 있어 대표성 있는 지하수 시료 확보를 위한 방법 연구에도 활용될 수 있을 것으로 판단된다.
이 성과는 정부(과학기술정보통신부)의 재원으로 한국연구재단의 지원을 받아 수행된 연구임(NRF-2022R1C1C1012901).
This Article2025; 30(1): 30-36
Published on Feb 28, 2025
Services
Correspondence toDepartment of Convergence Study on the Ocean Science and Technology, Korea Maritime and Ocean University, Busan 49112, Republic of Korea