
Hwanjong Seo and Jae-Woo Park*
Department of Civil and Environmental Engineering, HanyangUniversity, Seongdong-gu, Seoul 04763, South Korea
서환종ㆍ박재우*
한양대학교 건설환경공학과
This article is an open access article distributed under the terms of the Creative Commons Attribution Non-Commercial License (http://creativecommons.org/licenses/by-nc/4.0) which permits unrestricted non-commercial use, distribution, and reproduction in any medium, provided the original work is properly cited.
This study investigated the effectiveness of acid-base modified activated carbon in reducing the mobility and bioavailability of heavy metals (Cd, Pb, Zn) in contaminated sediments using Diffusive Gradient in Thin films (DGT) analysis and bioaccumulation assessment with Lumbriculus variegatus. Microcosm experiments were conducted for 7, 14, 21, and 28 days using stabilizer application rates of 5% and 10%, with mechanical mixing and bioturbation methods. DGT analysis showed that the modified activated carbon achieved maximum stabilization efficiencies of 91.67% for Cd, 83% for Pb, and 98.25% for Zn, effectively decreasing the concentrations of bioavailable heavy metals over time. In the bioaccumulation assessment, the accumulation of heavy metals in L. variegatus decreased by up to 9.4 times at the 10% application rate compared to the 5% rate, confirming the dose-dependent effect of the stabilizer. Initially, the population decreased temporarily due to the intake of stabilizers in benthic organisms, but the survival population recovered over time, indicating that the long-term negative impact was not significant. These results indicate that the acid-base modified activated carbon is an effective stabilizing agent for heavy metal-contaminated sediments and highlight the importance of determining optimal application rates by balancing stabilization efficiency and ecological stability.
Keywords: Acid-base modified activated carbon (HNO3–NaOH modified activated carbon), Heavy metals, Adsorption, Diffusive Gradient in Thin films (DGT), Bioaccumulation
중금속 오염은 금속 이온이 생분해성이 없이 환경에 잔류하기 때문에 세계적인 문제다(Özsin et al., 2019). 또한 중금속은 생물농축성이 있어 수생 환경에 심각한 문제를 일으키는 오염 물질이다(Moalla et al., 1997). 이러한 중금속은 퇴적토에 침전 및 용해, 흡착 및 탈착, 산화 및 환원과 같은 물리화학적 과정을 통해 퇴적토에 유입되어 수생태계에 악영향을 미친다(Jasku³a and Sojka, 2022; Han et al., 2024).
퇴적토는 수생 환경에서 중금속의 저장과 이동에 중요한 역할을 한다(Yin et al., 2020). 오염 퇴적토에서 중금속은 이동성이 느리고 체류시간이 길어 쉽게 분해되지 않고, 적시에 처리하지 않으면 새로운 오염원이 될 수 있다 (Wang et al., 2022). 또한 오염 퇴적토에서의 중금속은 다양한 형태로 존재한다(Que et al., 2019). 그중 이동성이 뛰어난 중금속은 특히 환경에 악영향을 미친다(Peng et al., 2018). 일반적으로 퇴적토 정화 방법에는 준설 및 준설 오염 퇴적토 처리가 포함되어 있다(Wang et al., 2018). 그중 준설은 전 세계적으로 자주 사용되는 방법이며 오염 퇴적토를 정화하는데 사용 가능한 기술 중 하나다(Zhang et al., 2021). 그러나 중금속으로 오염된 준설 퇴적토는 관리가 어렵고 잘못 관리하면 생태 환경 및 인간 건강에 큰 위협이 된다(Zhang et al., 2021). 그에 비해 활성탄을 이용하여 오염 퇴적토에서 중금속을 흡착시키는 방법은 준설이나 캡핑과 같은 기존 방법보다 가격이 싸고 환경에 영향을 덜 미친다(Rämö et al., 2022). 중금속 오염 퇴적토에서 이동성이 뛰어난 중금속을 생물학적 이용 가능성이 높은 중금속이라고 볼 수 있다. 생물학적 이용 가능성이 높은 중금속은 중금속의 이동성과 생태적 영향을 측정할 수 있는 매개변수이며, 환경에 얼마나 위험을 미치는지 평가할 수 있는 중요한 지표다(Zhu et al., 2023). 이러한 생물학적 이용 가능성이 높은 중금속을 활성탄에 흡착시켜 중금속 오염을 억제할 수 있다.
활성탄은 높은 비표면적(specific surface area, SSA), 다공성, 내구성, 화학적 안정성 및 무독성으로 인해 매우 효과적인 흡착제다 (Pet et al., 2024). 활성탄은 일반적으로 102 ~ 103 m2/g의 크기로 상당히 높은 표면적을 갖는 것으로 나타났다(Lobato-Peralta et al., 2021). 활성탄 표면에서 유기오염 물질의 흡착은 주로 내부 다공성 구조에 의해 결정되고, 중금속 흡착은 표면 작용기가 더 중요한 역할을 한다(Kim et al., 2012). 이러한 활성탄을 질산으로 개질하면 표면에 산성 특성을 부여하는 카르보닐, 카르복실, 페놀 및 락톤기의 양이 증가한다(Gupta and Saleh, 2013). 이러한 산성 표면 작용기는 극성이 있으며 이온 교환 특성을 향상시켜 양이온 흡착을 향상시킨다(Bohli and Ouederni, 2016). 또한 질산으로 활성탄을 개질하는 것은 비용이 적게 들어가고 실험실에서도 쉽게 구할 수 있어 경제적이며 접근성이 높다. 또한 이러한 질산으로 개질한 활성탄을 수산화나트륨으로 처리하면 산화된 활성탄 표면에 나트륨 원자가 생성되고, 이러한 산성 작용기의 카르복실기의 H+이온이 결합 에너지가 더 낮은 Na+이온으로 치환되어 이온교환이 더 원활히 일어난다(Park et al., 2023).
활성탄을 개질하여 중금속의 흡착 능력을 증가시키려는 연구는 과거부터 현재까지 많이 진행되고 있다(Mahmoud et al., 2012; Waly et al., 2021; Zuo et al., 2023; Xue et al., 2022; Deng et al., 2021). 또한 Diffusive Gradient in Thin films (DGT)와 생물축적량 평가를 진행하여 퇴적토에서 중금속의 이동성 및 생물학적 이용 가능성을 예측하는 연구도 진행되고 있다(Li et al., 2023; Pelcová et al., 2022; Marziali and Valsecchi, 2021; Senila et al., 2024). 또한 생물축적량 평가에 자주 사용되는 Lumbriculus variegatus는 담수에 서식하는 저서성 환형동물(annelid worm)로 퇴적토에 관련된 중금속의 독성을 연구하기 위한 모델 생물체이며 퇴적토와의 접촉과 실험실에서 배양하는데 용이하여 미국 환경보호청(EPA)에서 생물 축적을 평가하기 위해 권장하는 생물이다(Higgins et al., 2007).
DGT 기술은 수생태계에서 중금속의 이동성을 측정하는데 적합한 현장 샘플링 기술이다(Xu et al., 2019; Williams et al., 2012; Harper et al., 1998). 또한 DGT는 퇴적토에서 중금속의 생물학적 이용 가능성을 평가하기 위한 방법으로 개발되었다(Yin et al., 2014). DGT는 샘플링 환경을 방해하지 않고 목표 오염 물질을 축적할 수 있어 시간에 따른 오염 물질의 농도를 측정할 수 있다(Lin et al., 2022). DGT와 달리 전통적인 방법은 샘플링, 운송 및 보관 과정에서 샘플의 물리적, 화학적 및 생물학적 변화로 이어질 수 있다(Chen et al., 2023). DGT는 다른 방법과 달리 샘플링 후 운송 및 보관 과정에서의 변화를 최소화할 수 있다. DGT 장치는 일반적으로 resin gel, diffusive gel, 0.45 μm 멤브레인 필터의 세 가지 층으로 구성되어 있다. 멤브레인 필터와 diffusive gel에서 Fick의 제 1법칙에 의해 확산되어 중금속을 강력하게 결합하는 resin gel에 축적된다 (Zhang et al., 2019). Resin gel이 포화되지 않는다면 배치 기간은 1시간에서 3개월까지 다양하게 실험을 진행할 수 있다(Zhang et al., 2014). DGT 장치를 활용하면 시간 경과에 따른 중금속의 생물학적 이용 가능성 변화를 정량적으로 평가할 수 있다.
기존 연구에서는 주로 활성탄의 중금속 흡착 효율이나 생물지표만 이용한 생태독성 평가가 각각 독립적으로 이루어졌다. 특히 질산-수산화나트륨 개질 활성탄의 경우 안정화 효율과 생태적 영향을 동시에 평가한 종합적 연구는 매우 부족하였다(Kang and Park, 2024) 이 연구는 질산-수산화나트륨 개질 활성탄을 활용하여 오염 퇴적토에서 중금속의 생물학적 이용 가능성을 분석하고, 동시에 저서생물에 미치는 생태학적 영향을 평가하였다. 중금속의 시간에 따른 거동을 파악하기 위해 DGT를 도입하여 생물학적 이용 가능성이 높은 중금속 농도의 변화를 측정함과 동시에 Lumbriculus variegatus를 대상으로 질산-수산화나트륨 개질 활성탄의 독성이 생존율에 미치는 영향을 분석하였고, 더 나아가 시간 경과 및 안정화제 투입 농도에 따라 저서생물 체내에 중금속이 얼마나 축적되는지 조사하였다. 이를 통하여 저서 생물에게 영향을 적게 미칠 수 있는 안정화제 투입량을 찾아내었다. 이는 기존 연구와는 달리, 안정화제의 효과뿐만 아니라 생태독성 및 축적 특성까지 동시에 접근한다는 점에서 큰 차별성을 가진다. 즉, 이 연구는 단순한 정화 기술만이 아닌 실제 생태계에 미치는 영향을 줄일 수 있는 안전한 안정화 기술의 개발을 하고 있다는 점에서 기존 연구와 차이를 보인다. 따라서 본 연구의 주요 목표는 (1) 질산-수산화나트륨으로 개질한 활성탄을 이용하여 오염 퇴적토에서 중금속이 시간이 지남에 따라 생물학적 이용가능성이 높은 중금속 농도를 측정하여 중금속의 이동성 및 위험성을 확인하고, (2) Lumbriculus variegatus를 이용하여 안정화제 처리 후의 생존율 및 생물축적량을 분석하여 생태학적으로 안전한 안정화제 투입 농도를 찾는 것이다.
2.1.퇴적토 채취
퇴적토 샘플은 경상북도 안동시 도산면 분천리 일대(N 36°43’00”, E 128°49’58”)에서 채취하였고, 현장실험은 경상북도 안동시 도산면 원천리 732(N 36°44’17”, E 128°52’01”)에서 실험을 진행했다. 퇴적토는 실험실로 운반 후 실제 환경과 유사한 환경을 모사하기 위하여 만들어진 microcosm 용기(외경 55 mm, 내경 60 mm, 높이 150 mm)와 PTFE 플러그를 이용하여 퇴적토의 높이 8 cm를 유지하였다. Microcosm 용기에 퇴적토를 담은 후 실제 강물을 모사한 OECD water(225)를 퇴적토 위 250 mL 높이만큼 투입하였다. OECD water는 용액 1 L 기준 2차 DI water 1 L, CaCl2·2H2O 11.76 g, MgSO4·7H2O 4.93 g, NaHCO3 2.59 g, KCl 0.23 g을 1 L 부피 플라스크에 넣고 24시간 교반하여 제작하였다. Microcosm 실험에서는 제작한 OECD water 용액을 40배 희석하고 24시간 이상 폭기를 진행한 후 사용하였다.
2.2. Microcosm 실험 설계
각 microcosm 실험은 7일, 14일, 21일, 28일로 진행하였다. Microcosm 용기의 퇴적토 혼합방법과 혼합비율에 따라 안정화 효율을 확인하기 위하여 각각 5%, 10% 질산-수산화나트륨 개질 활성탄(건조중량 대비)을 투입하였다. 질산-수산화나트륨 개질 활성탄은 Calgon 활성탄을 갈아준 후 75 μm 크기로 체질하여 사용하였다. 2 L 부피플라스크에 5 M HNO3와 24 g의 활성탄을 투입하여 24시간 교반한 후 원심분리를 통해 활성탄을 분리한 뒤, 0.1 M NaOH로 세척하고 동일한 원심분리 과정을 3회 반복하였다. 마지막으로 DI water로 한 번 더 세척한 후 80oC 조건에서 24 시간 건조하여 질산-수산화나트륨 개질 활성탄을 준비하였다. 또한 혼합방법에 따른 차이는 모든 퇴적토를 혼합하여 8 cm의 오염 퇴적토와 질산-수산화나트륨 개질 활성탄 혼합층으로 만든 microcosm은 기계혼합, 6 cm 퇴적토층 위에 2 cm 오염 퇴적토와 질산-수산화나트륨 개질 활성탄 혼합층을 두어 생물이 살아가며 혼합하는 것을 확인하기 위한 microcosm은 생물 혼합으로 두고 각 실험 기간마다 8개의 microcosm을 사용하였다. DGT 장치를 OECD water를 채우고 1일간 안정화 기간을 두어 교란을 방지한 후에 투입한다. DGT 투입 후 Lumbriculus variegatus를 각 microcosm마다 20마리씩 투입하였다. 그 후 표층수의 증발을 막기 위하여 파라필름으로 microcosm 용기를 덮어주었다. 상등수는 매일 OECD water 30 mL씩 교체하여 실험을 진행하였다.
2.3. DGT 분석
실험 종료 후 DGT를 DI water로 세척한 후 resin gel을 분리하였다. 그런 다음 스패출러를 이용하여 gel을 1 cm 간격으로 자른 후 1M HNO3 10 mL에 24시간 동안 추출하였다. 추출한 용액을 0.2 μm polytetrafluoroethylene 시린지 필터를 이용하여 추출하여 PerkinElmer ICP-OES 8000을 이용하여 Cd, Pb, Zn을 측정하였다. Resin gel에 축적된 중금속의 농도인 CDGT는 다음과 같은 식 (1)을 사용하여 계산되었다.

여기서 M 은 resin gel에 축적된 중금속의 질량(ng), Δg는 diffusive gel의 두께(cm), D 는 확산 계수(cm2/s), A는 DGT의 면적(cm2), t는 배치 시간(s)이다.
2.4.생물축적량 평가
실험 기간이 끝나고 각 microcosm에서 생존한 Lumbriculus variegatus를 꺼내어 생존 개체 수를 측정하여 생존율을 계산한다. 생존한 Lumbriculus variegatus는 OECD water에 24시간 동안 안정화 후 퇴적토와 수분을 닦고 전자저울로 0.01 mg 단위로 습윤 중량을 측정한 후 건조기를 이용하여 60oC 온도에서 건조 후 -80oC에서 동결건조를 진행하였다. 동결건조 되어있는 Lumbriculus variegatus의 무게를 측정한 후 옥으로 구성된 막자사발을 이용하여 분쇄하고 0.5 g 분취 후 12 mL 왕수(9 mL 질산 + 3 mL 염산)에 첨가한 혼합물을 microwave(MARS 5, CEM Corporation, U.S.A)장비를 이용하여 175(±5)oC까지 20분 동안 도달시키고, 15분 동안 추출하였다. 추출된 용액은 0.2 μm PTFE filter로 필터링한 후 ICP-OES를 이용하여 중금속 농도를 측정하였다.
3.1. SEM
Fig. 1은 질산-수산화나트륨 개질 활성탄의 SEM 이미지다. SEM 이미지는 질산-수산화나트륨 개질 후 기공 크기 및 미세 기공 구조가 변하는 것을 확인할 수 있었으며 일반 활성탄에 비해 개질된 활성탄은 표면이 거칠어지고 비균질한 구조를 형성하였다(Lladó et al., 2016). BET는 545.08 m2/g, 기공 부피는 0.3 cm3/g, 기공 크기는 2.17 nm로 나타났다. 또한 질산-수산화나트륨 개질 시 활성탄 표면에 영향을 미쳐 비표면적 또한 증가하여 중금속의 흡착량을 늘릴 수 있는 것을 의미한다(Lesaoana et al., 2019; Hafizuddin et al., 2021).
3.2. 퇴적토 내의 중금속 농도
Fig. 2는 퇴적토 내 Cd 농도에 대한 13 cm 수직 농도 프로파일을 나타낸다. x축은 CDGT를 의미하며, y축은 깊이를 나타내며, y축의 0 cm는 퇴적토와 수층의 경계를 의미한다. 기계혼합 5% 투입 조건을 제외하면 수층에서 퇴적토로의 중금속 용출이 발생하지 않은 것으로 나타났다. 기계혼합 5% 투입 조건에서는 1주차에서 4주차로 갈수록 Cd 농도가 점진적으로 감소하는 경향을 보였다. 생물혼합 5% 투입 조건도 유사한 감소 추세를 나타내었다. 반면, 기계혼합 10% 투입 조건에서는 4주차에 일부 층에서 1주차 대비 최대 130배 높은 Cd 농도가 측정되었으며, 특정 심도에서 CDGT가 급격히 증가하는 현상이 확인되었다. 이러한 농도 변화는 안정화제의 투입량, 입자 크기, 퇴적토의 물리화학적 특성에 의해 좌우될 수 있으며, 이는 Abel & Akkanen (2019)의 연구 결과와도 유사하다. 또한 1주차 대조와 비교했을 때 퇴적토-수층 경계면, 수층 및 퇴적토층에서 각각 최대 95.83%, 90%, 75%의 안정화 효율이 나타났으며, 4주차 대조와 비교하면 각각 80%, 91.67%, 76.47%의 안정화 효율을 보였다.
Fig. 3은 퇴적토 내의 Pb 농도에 대한 13 cm 수직 농도 프로파일이다. 시간이 지남에 따라 중금속 농도가 높아지는 것을 확인할 수 있었다. 4주차 생물혼합 10% 투입 조건에서는 중금속의 농도는 1주차에 비해 최대 81.94배 더 높게 나타났다. 1주차 대조를 4주차의 모든혼합 방식과 비교하였을 때 퇴적토-수층 표면, 수층 및 퇴적토층에서는 각각 최대 58.8%, 93.28%, 67.1%의 안정화 효율이 나타났다. 4주차 대조를 4주차 모든 혼합 방식과 비교하면 퇴적토-수층 표면, 수층 및 퇴적토층에서는 각각 최대 79.4%, 83%, 81.32%의 안정화 효율이 나타났다. 또한 기계혼합 10% 투입 조건과 생물혼합 10% 투입 조건 모두 대조에 비해 중금속 농도가 낮아진 것을 확인할 수 있었다. 또한 4주차에 혼합 방식에 따른 중금속 농도를 비교해보면 혼합 방식별 Pb 농도를 비교한 결과, 5%와 10% 투입 조건 간에 큰 차이가 나타나지 않아 Pb의 안정화 효율에 있어 두 농도 간 차이는 크지 않은 것으로 확인되었다.
Fig. 4는 퇴적토 내의 Zn 농도에 대한 13 cm 수직 농도 프로파일이다. 기계혼합 및 대조에서는 시간이 지남에 따라 중금속의 농도가 증가하는 것을 확인할 수 있었다. 4주차 기계혼합 10% 투입 조건에서는 1주차 기계혼합에 비해서 최대 44.9배 더 높게 나타났다. 또한 1주차 대조와 1주차의 모든 혼합 방식과 비교하면 퇴적토-수층 표면, 수층 및 퇴적토층에서는 각각 최대 84.97%, 88.15%, 100%의 안정화 효율이 나타났다. 1주차 대조와 4주차 대조와 비교하면 각각 최대 89.56%, 93.94%, 98.25%의 안정화 효율이 나타났다. 그러므로 세 중금속 모두 퇴적토-수층 표면, 수층 및 퇴적토층 모두에서 높은 안정화 효율이 나타난 것을 확인할 수 있었다. 세 중금속 모두 시간 경과에 따른 농도 변화 경향이 서로 다르게 측정되었으며, 이는 중금속의 화학적 특성 또는 퇴적토의 입자 크기 및 pH와 같은 환경 요인에 따라 수직 농도 프로파일의 경향이 달라질 수 있음을 시사한다(Que et al., 2024). 따라서 질산-수산화나트륨 개질 활성탄은 중금속 오염 퇴적토의 안정화에 효과적이며, 5%와 10% 안정화제 투입 조건 모두 효과적인 안정화제로 평가된다.
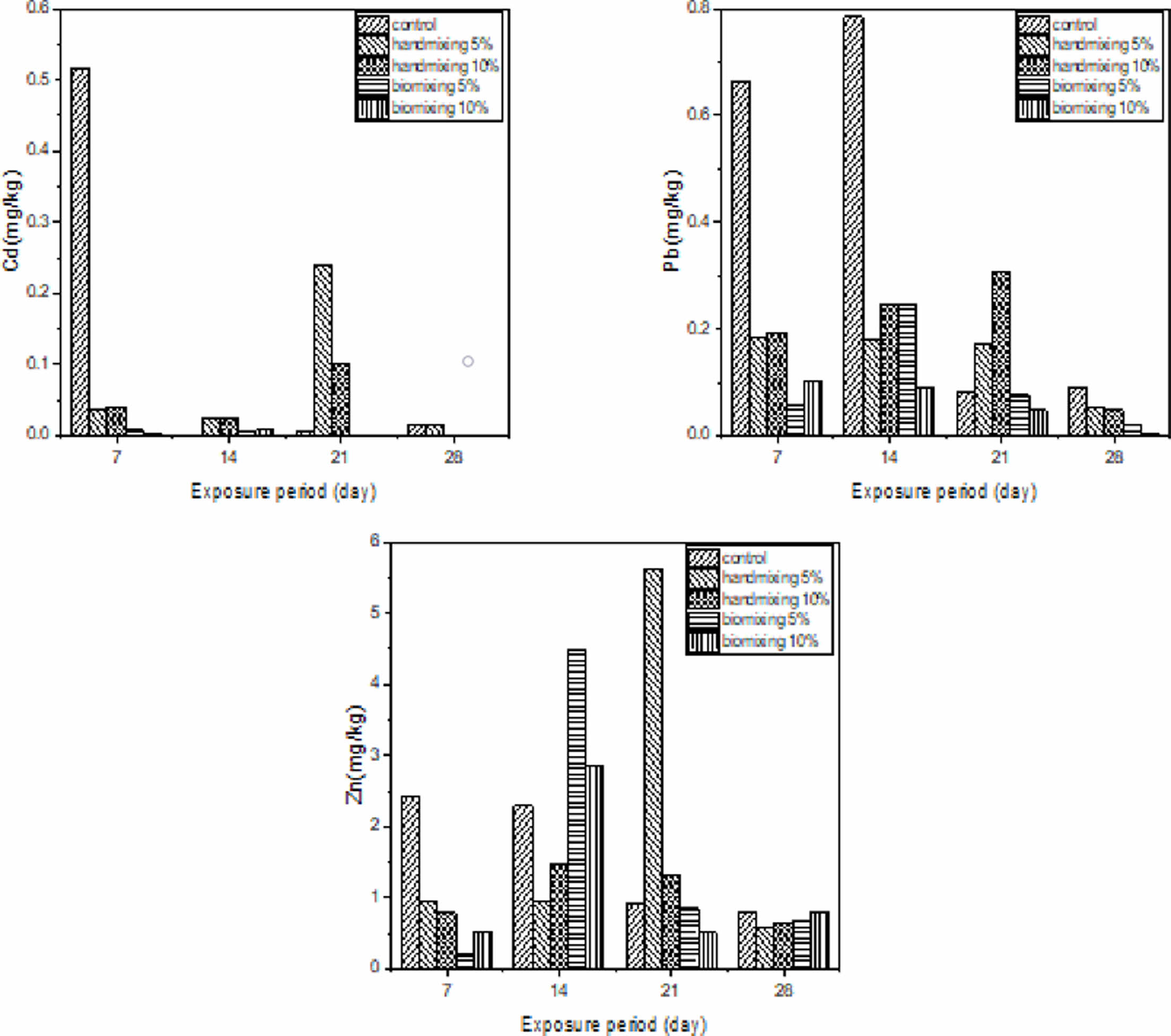
Fig. 5는 혼합방식에 따른 중금속별 28일 비교 그래프이다. Cd 농도는 기계혼합 및 생물혼합 모두 5%가 더 높은 Cd 농도를 나타내는 것을 확인하였다. 기계혼합에서는 최대 7.5배, 생물혼합에서는 최대 2.9배 더 높게 나타났다. 다음은 28일 Pb 농도 비교 그래프다. Cd 농도 비교와 마찬가지로 두 혼합방법 모두에서 5% 투입 조건이 더 높은 농도를 나타내었다. 기계혼합에서는 최대 1.3배, 생물혼합에서는 최대 1.53배 높게 나타났다. 마지막은 28일 Zn 농도 비교 그래프이다. 위에 두 중금속과 마찬가지로 모든 혼합방법에서 5% 투입 조건이 더 높은 Zn 농도를 보여주었다. 기계혼합에서는 최대 1.66배, 생물혼합에서는 최대 3.5배 더 높은 농도를 보여주었다. 위 세 그래프를 토대로 모든 혼합방법, 중금속에서 안정화제 5%의 투입 조건이 더 높은 중금속 농도를 보여주는 것은 안정화제 10% 투입량이 안정화효율이 더 뛰어나다는 것을 의미한다.
3.3.저서생물 개체 수
Fig. 6은 질산-수산화나트륨 개질 활성탄을 이용한 혼합방법에 따른 Lumbriculus variegatus의 생존 개체 수를 나타내는 그래프이다. 대조에서 Lumbriculus variegatus의 생존 개체 수는 초기 투입량보다 높아지거나 동일하게 유지되었다. 2주차와 3주차에서는 Lumbriculus variegatus의 생존율이 감소하였으나 4주차에서 생존율이 다시 높아지는 것을 확인하였다. 이는 안정화제 투입 직후 Lumbriculus variegatus가 안정화제를 섭취하면서 소화관의 물리적인 손상이나 영양소 흡수 방해 등으로 인해 초기 개체 수가 감소할 수 있음을 의미한다(Abel & Akkanen, 2019). 하지만 시간이 지남에 따라 저서생물이 변화된 환경에 적응함으로써 초기에 감소했던 개체 수가 다시 회복될 수 있음을 의미한다.
3.4.생물축적량 평가
Fig. 7은 중금속별 생물축적량을 나타낸다. Cd의 경우, 기계혼합 조건에서는 5% 투입 조건이 10% 투입 조건보다 최대 2.4배 높은 생물축적량을 나타냈으며, 생물혼합 조건에서는 최대 3배 더 높게 나타났다. Pb는 기계혼합의 경우에는 10% 투입 조건이 최대 1.8배 더 높고 생물혼합의 경우 5%가 최대 9.4배 더 높은 축적량을 보여주었다. Zn의 경우 기계혼합은 5% 투입 조건이 최대 4.2배, 생물혼합의 경우 10% 투입 조건이 최대 2.66배 더 높은 축적량을 보여주었다. 28일 기준으로 Cd는 생물혼합 및 기계혼합 10% 투입 조건은 축적량이 검출되지 않았다. Pb의 경우 생물혼합에서 안정화제 10% 투입 조건이 5% 투입 조건에 비하여 크게 줄어드는 것을 확인할 수 있었다. Zn의 경우에는 10% 안정화제 투입 조건이 기계혼합 및 생물혼합 모두 최대 1.08배, 1.2배로 Pb 생물혼합에 비하여 차이가 크게 나지 않는 것을 확인할 수 있다. 이는 안정화제 투입량이 많아질수록 생물에 축적되는 오염 물질의 양이 적어진다는 연구 결과와 일치한다(McLeod et al., 2007; Zimmerman et al., 2005; Nybom et al., 2015; Abel & Akkanen, 2019).
|
Fig. 1 SEM of acid-base modified activated carbon. |
|
Fig. 2 Cd concentration in acid-base modified activated carbon (μg/L). |
|
Fig. 3 Pb concentration in acid-base modified activated carbon (μg/L). |
|
Fig. 4 Zn concentration in acid-base modified activated carbon (μg/L). |
|
Fig. 5 Comparison of heavy metals on day 28 by mixing method. |
|
Fig. 6 Acid-base modified activated carbon survival population. |
|
Fig. 7 Bioaccumulation of Cd, Pb, Zn. |
이 연구는 오염 퇴적토에서 질산-수산화나트륨 개질 활성탄을 이용하여 Cd, Pb, Zn이 시간에 따라 DGT에 측정되는 중금속을 조사하여 안정화 효율평가를 진행하였다. DGT를 이용하여 CDGT를 구할 수 있는데, 이를 이용하여 생물학적 이용 가능성이 높은 중금속을 측정할 수 있다. 오염 퇴적토에 DGT를 투입하여 수직 프로파일을 구하였을 때 Cd, Pb, Zn은 각각 최대 91.67%, 83%, 98.25%의 안정화 효율을 나타내어 질산-수산화나트륨 개질 활성탄이 중금속 안정화에 효과적임을 입증하였다. 하지만 질산-수산화나트륨 개질 활성탄을 오염 퇴적토에 투입 시 Lumbriculus variegatus의 개체 수가 초기에는 감소하는 것을 보여주었는데, 이는 시간이 지남에 따라 개체 수가 다시 증가하여 독성이 감소하는 것을 확인할 수 있었다. 또한 질산-수산화나트륨 개질 활성탄을 10% 투입 조건이 5% 투입 조건에 비하여 생물축적량이 최대 9.4배 감소하는 것을 확인할 수 있는데, 이는 활성탄의 투입량이 생물축적량에 영향을 미치는 것을 의미한다. 이는 질산-수산화나트륨 개질 활성탄이 중금속 안정화 효율이 높을 뿐 아니라, 저서생물에 미치는 영향도 적다는 것을 의미한다. 활성탄의 투입량이 늘어나면 생물축적량이 감소하여 생물학적 이용 가능성이 높은 중금속의 이동을 줄일 수 있다는 것을 의미한다. 또한 활성탄의 투입량이 증가할수록 생물축적량이 감소하여 생물학적으로 이용 가능한 중금속의 이동성이 감소함을 나타낸다. 또한 퇴적토의 pH와 온도와 같은 물리 화학적 특성 및 활성탄의 입자 크기와 같은 특성에 따라 생물학적 이용 가능성이 높은 중금속의 흡착 용량 및 생물축적량이 달라질 수 있다(Abel & Akkanen, 2019; Zhang et al., 2014; Miranda et al., 2021). 과거 연구(0.34%~7.5%의 건조중량비 투입)와 본 연구 결과를 비교했을 때, 모두 안정화제 투입량이 증가할수록 생물축적량이 감소하는 유사한 경향이 나타났다. 결론적으로 10% 안정화제 투입 조건은 5% 조건에 비해 Lumbriculus variegatus의 생물축적량을 효과적으로 감소시켜 저서생물에 대한 중금속의 영향을 더욱 효과적으로 저감하는 것으로 나타났다. 두 조건 모두 최대 80% 이상의 높은 안정화 효율을 보였으며, 이는 질산-수산화나트륨 개질 활성탄이 모든 조건에서 중금속 안정화 효율이 뛰어난 안정화제라는 것을 의미한다. 생물축적량 저감 효과를 함께 고려하면 10% 조건이 더 적합한 것으로 평가된다. 이러한 안정화 효율은 퇴적토의 입자 크기와 중금속의 화학적 특성, 퇴적토 내 pH 등 다양한 환경 요인에 따라 달라질 수 있다. 또한 안정화제 투입량이 증가할수록 생물체 내 중금속 축적량은 감소했으나, 안정화제 투입 초기 저서생물이 안정화제를 직접 섭취하여 개체 수가 일시적으로 감소하는 현상이 관찰되었다. 따라서 중금속의 안정화 효율과 생태학적 안전성 간의 균형을 고려하여 안정화제의 최적 투입량을 설정하는 것이 중요하다.
본 연구는 환경부의 재원으로 한국환경산업기술원이 추진하는 “수생태계 건강성 확보 기술개발사업(과제번호: 2021003040004)”의 지원을 받아 수행되었습니다.
This Article2025; 30(2): 13-24
Published on Apr 30, 2025
Services
Correspondence toDepartment of Civil and Environmental Engineering, HanyangUniversity, Seongdong-gu, Seoul 04763, South Korea