
Sung-Ho Song*, Ga-Young Hwang, Hwan-Ho Yong, and Byungsun Lee
Rural Research Institute, Korea Rural Community Corporation
송성호*ㆍ황가영ㆍ용환호ㆍ이병선
한국농어촌공사 농어촌연구원
This article is an open access article distributed under the terms of the Creative Commons Attribution Non-Commercial License (http://creativecommons.org/licenses/by-nc/4.0) which permits unrestricted non-commercial use, distribution, and reproduction in any medium, provided the original work is properly cited.
Sea level rise due to climate change increases the risk of seawater intrusion through coastal aquifers in Korea. In the view point of topographic characteristics, the slope of the west coast is gentle, while the slope of the east coast is very steep. Therefore, as the groundwater level gradient decreases away from the coastline, the interface between seawater and freshwater expands, which causes seawater intrusion. In this study, the impact of sea level rise on seawater intrusion through coastal aquifers was evaluated spatiotemporally using seawater intrusion monitoring network (SIMN). The results showed that the groundwater level change of the aquifer on the east coast is relatively more affected by groundwater recharge than by sea level rise, and that the recharge effect is more persistent than in the past. On the other hand, the annual variation of groundwater level on the west coast decreases as it moves away from the coastline, indicating that sea level rise has a significant impact on the aquifer. After comprehensively reviewing these results with the groundwater quality analysis and the survey results of representative watersheds, it is determined that the aquifer on the west coast of Korea is more vulnerable to seawater intrusion than on the east coast.
Keywords: Sea level rise, Seawater intrusion, Coastal aquifer, Groundwater level, Groundwater quality
IPCC (2013)는 2100년까지 전세계적으로 평균 해수면이 0.26~0.82 m 상승하는 것으로 전망하였는데, 이는 기존의 전망치(IPCC, 2007)인 0.18~0.59 m에 비해 크게 증가한 수치이다. 반면 연평균 강수량은 전세계적으로 최대 50%의 변동폭을 추정함에 따라, 시공간적으로 해안지역의 수자원 확보에 불확실성이 증가할 것으로 판단된다. 이에 따라 평균 강수량 및 온도 변화를 포함한 다양한 기후 요인에 의해 영향을 받는 지표 유출 및 지하수 함양량 변화의 불확실성 또한 증가하고 있다(Holman, 2006; Bring et al., 2015).
일반적으로 기후변화에 의한 지구온난화로 해수면이 상승하게 되면 해안지역의 지하수위도 상승한다. 이에 따라 대수층에 형성되는 담염수 경계면이 내륙방향으로 이동하게 되며, 결과적으로 대수층을 통한 해수침투 범위가 내륙지역까지 확장하게 된다(Sherif and Singh, 1999). 또한 해안 대수층으로부터 지하수 과잉 양수도 해수침투의 주요한 원인으로 지목된다(Sreekanth and Datta, 2010).
해수면 상승 속도는 지역적으로 차이가 있으며, 특히 고도계 및 조위계를 이용한 해수면 측정은 지반 침하와 같은 지역적 영향에 의한 자료의 오염으로 인해 논란의 여지가 있으며 일부 해수면 하강도 보고된 바 있다(Solomon et al., 2007). 우리나라도 측정 기간이 짧은 일부 조위 관측소에서 해수면 하강 현상이 관측되었지만, 40년 이상 장기관측 자료가 축적된 7곳에서는 연평균 해수면 상승 속도가 2.2±1.7 mm로 분석된 바 있다(Kim et al., 2009). 또한 이 연구에서는 해수면 상승이 제주도 동부 지역 대수층의 해수침투에 미치는 영향을 분석하여, 갈수기에는 해수면 상승으로 인하여 대수층이 해수침투의 직접적인 영향을 받는 반면 풍수기에는 강수량 증가로 인한 지하수위 상승으로 인하여 해수침투의 영향이 줄어드는 것으로 해석하였다.
최근 35년 동안(1989~2023년) 우리나라 연안 21개 조위관측소 자료를 분석한 결과 평균 해수면은 연평균 3.06 mm 높아져 총 10.7 cm 상승한 것으로 나타났다(KHOA, 2025). 해역별로는 동해안이 연평균 3.46 mm로 가장 높았고, 서해안(연평균 3.20 mm와 남해안(연평균 2.74 mm) 순으로 나타났다. 특히, 과거 10년간(2004~2013년) 약 2.8 cm 상승(연평균 2.79 mm)한 것에 비해 최근 10년간(2014~2023년) 약 3.9 cm(연평균 3.88 mm) 상승함에 따라, 같은 기간 대비 최근 10년간 1.1 cm가량 더 많이 높아졌다. 이러한 결과는 최근 들어 우리나라 연안 해수면의 높이가 최근 10년 동안에 비해 더 크게 상승했음을 의미한다.
그러나 해안 대수층에 대한 해수침투의 영향은 해수면 상승 이외에 다양한 요인의 결합 및 상대적 영향의 정량화가 필요하다(Ketabchi et al., 2016). 해수면 상승과 함께 토지피복 변화 및 지하수 이용 등의 인간 활동에 의한 영향은, 해수침투를 가속화시켜 해안 대수층에 큰 영향을 미친다(Bobba, 2002). 우리나라의 경우 서해안과 남해안 지역에서 지하수의 과잉 양수에 따른 해수침투로 인하여, 해안지역의 지하수 관정을 이용하는 농업활동에 지장을 초래하고 있다(Jeen et al., 2001; Kim et al., 2004).
Payne(2010)은 과거 자료와 시뮬레이션 결과를 바탕으로 함양율 감소로 인한 지하수위 하강이 해수면 상승에 따라 발생되는 해수침투에 비해 더 큰 영향을 미치는 것으로 제시한 바 있다. 결과적으로 해수면 상승이나 함양율 변화에 영향을 미치는 강수량 변화 등의 기후변화의 영향은, 해수침투에 영향을 미치는 주요한 인자이다(Werner et al., 2013; Ataie-Ashtiani et al., 2013). 이에 따라 지금까지 기후변화에 의한 해수면 상승이 해안 대수층의 지하수 수위 변동에 미치는 영향을 평가하기 위한 다양한 연구가 수행되어 왔다(Werner and Simmons 2009; Oude Essink et al., 2010; Chang et al., 2011; Chun et al., 2018; Zamrsky et al., 2024).
이러한 배경을 기초로 이 연구에서는 우리나라 동해안과 서해안에 7년 이상 운영된 48개소 해수침투 관측공의 지하수위 및 전기전도도 장기 관측자료, 지하수 수질 및 전기전도도 검층 자료 등을 이용하여, 해수면 상승이 해안 대수층을 통한 해수침투 현상에 미치는 영향을 시·공간적으로 평가하였다. 또한 해안별로 대표 유역을 선정한 후 유역 내에 분포하는 해수침투 관측공들을 대상으로 해안별 해수침투 평가 결과를 검증하였다.
2.1. 해수침투 관측망
해수면 상승에 따른 해안 대수층의 해수침투 영향에 미치는 요인으로는, 해안지역의 지하수위 변동, 조석 변화, 양수 여부, 지형 경사도, 대수층의 동수구배, 강수량 변화, 수리전도도 등이 대표적이다. 이 중 조석 변화, 양수 및 강수에 의한 지하수위 변화와 이에 따른 해수쐐기 변동 특성은, 대상지역의 수리지질학적 특성에 따라 다르게 나타난다(Song et al., 2007b). 우리나라에서는 해안지역의 청정 지하수자원 보전·관리를 위한 목적으로 소유역별로 해수침투 관측망(seawater intrusion monitoring network, SIMN)을 설치하여, 해안 대수층의 해수침투 피해 방지와 함께 다양한 수리지질학적 특성을 분석하고 있다(Song et al., 2007a; Song and Zemansky, 2012).
해수침투 관측망은 1998년 10개소를 시작으로 매년 7~10개소를 설치하고 있으며, 2024년 말 기준으로 277지점에 대하여 원격감시 자동관측 장치를 포함한 모니터링 시스템을 운영 중이다(Fig. 1). 관측공들의 개발 심도와 케이싱 설치 심도는 각각 평균 88 m와 21 m이며, 소유역별로 평균 2개소(해안선 기준으로 내륙쪽으로 근거리와 원거리) 설치가 기준이다. 각 관측공에는 다중심도 모니터링 장치가 설치되어, 매시간 지하수위, 전기전도도(electrical conductivity), 수온이 자동으로 측정되고, 측정된 시계열자료는 일평균 값으로 환산되어 관측공별 제원 등과 함께 농림축산식품부와 한국농어촌공사에서 운영 중인 농어촌지하수관리시스템(https://www.groundwater.or.kr)을 통해 제공된다(KRC, 2025).
또한 각 관측공별로 자동 측정된 지하수위 및 전기전도도 변화, 관측공을 대상으로 매년 동일한 시점에 채취한 지하수 시료의 주요 양·음이온 분석 결과 및 심도별 전기전도도 검층(EC profiling)에서 얻어진 담염수 경계면의 변동 상황을 종합적으로 평가하여, 해안 대수층을 통한 소유역별 해수침투 영향을 분석하여 제공하고 있다.
2.2. 해수면 상승과 지하수위 변화
해수면 상승이 대수층을 통한 해수침투에 미치는 영향을 평가하기 위하여 개념적 또는 수학적 모델 등 다양한 접근 방식이 이용되었다. 일반적으로 해수면 상승은 해안변의 지하수위를 상승시키지만, 상승 속도가 느려 효과가 내륙쪽으로 갈수록 적어지게 된다(Sherif and Singh, 1999)(Fig. 2). 따라서 지하수위의 기울기가 감소하므로 담염수 경계면의 확장으로 인한 해수침투가 발생하게 된다(Sherif and Singh, 1999; Werner and Simmons, 2009). 결과적으로 해안변에서는 지하수위가 상승하기 때문에 담수체의 두께가 약간 감소하는 반면 내륙쪽에서는 지하수위 상승폭이 작아 상대적으로 경계면이 내륙쪽으로 깊게 형성된다. 따라서 완만한 동수구배를 갖는 해안 대수층이 기후변화에 따른 해수면 상승에 더욱 취약한 환경에 놓이게 된다.
이와 관련하여 해수면 상승에 따른 작은 섬 하부 대수층에 대한 해수침투 영향을 분석한 결과, 지하수 함양율이 가장 큰 영향을 미치고 지표면 경사, 대수층 두께, 수리전도도, 해수면 상승 등이 중요한 요인으로 나타났다(Ketabchi et al., 2014). 개념적으로 해안선에서 내륙방향으로 지형 경사가 급하게 증가하는 반면 지하수위 증가는 완만한 경우, 해수면 상승에 따른 지하수위 상승 영향은 내륙 깊은 지역까지 확장하게 되는데 이를 흐름 제어(flux-controlled, FC)라고 한다(Ketabchi et al., 2016)(Fig. 3(a)). 한편 지형 경사가 완만하게 증가하는 반면 지하수위 경사가 상대적으로 급한 경우, 해수면 상승에 따른 지하수위 상승 영향은 일정한 거리에서 제한되며 이를 수두 제어(head-controlled, HC)라고 한다(Fig. 3(b)). 따라서 HC 개념모델의 경우 해수면 상승에 따른 담염수 경계면은 내륙방향으로 깊게 형성된다.
본 연구에서는 해수면 상승에 따른 지하수위 변화 추세를 판단하기 위하여 비모수적 추세 분석(non-parametric trend analysis) 방법을 적용하였다. 비모수적 추세 분석은 관측값의 정규분포를 가정하지 않고 관측값 간의 서열과 변동에 의한 기울기를 활용하여 경향을 분석하므로, 모수적 방법에 비하여 결측값과 이상치의 영향을 상대적으로 적게 받는다(Choi and Lee, 2009). 이 중 Mann-Kendall trend test는 지하수위와 같은 시계열 자료의 경향 분석에 주로 활용되는 대표적인 비모수적 추세 분석 방법으로, 시간 순서에 따라 모든 관측값들을 개별 쌍으로 비교하여 증가(+1), 감소(-1), 변동없음(0)의 변동 추세로 판단한다(Lee et al., 2006). 다만 이 방법은 관측값의 단조적인 증감 여부를 판단하는 경우에는 유리하지만, 실제 증가량과 감소량을 정량적으로 판단할 수 없다는 단점이 있다. 따라서 본 연구에서는 Sen’s trend test를 함께 실시하여 관측값의 정량적인 변화량을 계산하였다. Sen’s trend test는 추세 기울기의 정도를 평가하는 비모수적 방법으로, 가능한 모든 관측값 쌍의 기울기를 분석하여 그 중앙값을 추정 기울기(Sen’s slope)로 산정한다(Jin et al., 2021). 이 연구에서는 관측공별 이상치의 영향을 최소화하고 장기적인 변화 추세를 분석하기 위하여 지하수위의 월 중앙값을 분석에 활용하였으며, 95% 신뢰구간에서 Mann-Kendall 검정 통계량 및 Sen’s slope 계산값을 활용하여 관측공의 변동 경향을 파악하였다.
2.3. 지하수 수질
해안 대수층을 통한 해수침투 영향은 지하수 수두 측정, 지하수 모델링, 지구물리 탐사, 환경 추적자시험 등 다양한 방법으로 평가할 수 있다(Cao et al., 2021; Werner et al., 2013). 특히 해수침투의 직접적인 영향을 받는 대수층의 지하수는 총 용존 고형물질(total dissolved solid, TDS) 뿐만 아니라 대부분의 주요 양이온 및 음이온의 농도가 높은 특징이 있다(Richter and Kreitler, 1993).
현재 원격으로 운영 중인 해수침투 관측망에서는 지하수위, 전기전도도 및 수온이 자동 모니터링되고 있으며, 전기전도도의 경우 해수쐐기의 변동 파악을 위하여 담염수 경계면 상부와 하부에 각 1개의 모니터링 센서를 설치하여 운영 중이다. 이러한 자동 측정 결과를 보완하기 위하여 년 1회 주기로 동일 시점에 지하수 수질 시료를 채취하여 주요 양이온과 음이온에 대한 분석을 실시하고 있다. 또한 수질 시료 채취 후에 담염수 경계면의 공간적인 변동 특성을 파악하기 위하여, 대수층 전체 구간에 대하여 심도별로 전기전도도 검층(EC profiling)을 수행하고 있다. 이러한 결과들을 종합적으로 평가하여, 해안 대수층을 통한 소유역별 해수침투 영향을 분석하고 있다.
이 중 지하수 수질 시료의 이온 분석 결과는 그래픽 방법을 이용하여 해수침투의 영향을 객관적으로 평가하는데 이용되며, 특히 파이퍼 다이어그램(Piper diagram)은 해안 대수층의 해수침투의 영향을 평가하는데 유용하다(Jeen et al., 2001; Lee and Song, 2006).
이러한 접근 방식을 적용하기 위하여 7년의 관측자료가 축적된 서해안과 동해안의 각 24개 관측공을 대상으로 지하수위 및 전기전도도 시계열 자료와 주요 양이온과 음이온 분석 결과를 체계적으로 분석하였다. 또한 해안별 대표 유역 2곳을 대상으로 심도별 전기전도도 검층 결과를 추가하여, 우리나라 해안별로 Ketabchi et al.(2016)이 제시한 HC와 FC 개념모델의 적용성 평가와 함께 향후 해안 대수층을 통한 해수침투 관리에 필요한 정책적 접근 방향을 제시하였다.
|
Fig. 1 Location map of the seawater intrusion monitoring network (n=277) |
|
Fig. 2 Conceptual model for sharp interface intrusion with sea level rise (modified after Sherif and Singh (1999)). |
|
Fig. 3 Conceptual models of unconfined coastal aquifer under the impacts of sea level rise (SLR) on seawater intrusion. (a) the fluxcontrolled (FC) system system and (b) the head-controlled (HC) before and after SLR, respectively (modified after Ketabchi et al. (2016)). |
3.1. 해안별 대수층 특성
우리나라에는 277개(서해안 130, 남해안 88, 동해안 59)의 해수침투 관측망이 운영 중이다(Table 1). 해안선으로부터 관측공까지 거리는 동해안에서 평균 1,556 m로 가장 가깝고, 서해안에서 평균 3,205 m로 가장 먼 것으로 나타났다. 관측공이 위치한 해발고도는 지형 경사가 완만한 서해안과 남해안에서 각각 6.2 m와 6.5 m인 반면, 지형 경사가 급한 동해안에서는 16.6 m로 약 10 m 높게 나타났다. 관측공의 심도는 모든 해안에서 평균 83.2~90.8 m 유사하게 나타났지만, 지하수위는 해발고도를 기준으로 서해안과 남해안에서 각각 3.2 m와 3.5 m인 반면 동해안에서는 12.1 m로 높게 나타났다. 해안선까지 거리에 따른 관측공의 지하수위 분포는 거리가 증가함에 따라 동해안에서 가장 크게 증가하며, 서해안에서는 상대적으로 증가폭이 적게 나타났다(Fig. 4). 수리전도도는 서해안과 남해안에서 평균 2.9~4.1×10-2 cm/sec인 반면, 동해안에서는 상대적으로 높은 평균 3.7×10-1 cm/sec로 나타났다. 관측공의 지하수위와 해안선까지 거리로 계산된 해안별 동수구배 평균값은 서해안과 동해안에서 각각 0.010과 0.005으로 유사하지만, 남해안에서는 0.031로 높게 나타났다.
3.2. 대수층의 시·공간적 해수침투 영향 평가
3.2.1. 전체 기간
이 연구에서는 관측공의 평균 해발고도, 지하수위 분포, 수리전도도, 동수구배 등을 기초로, 동해안과 서해안의 관측공을 대상으로 대수층을 통한 해수침투 영향을 평가하였다. 이를 위하여 전체 관측공 중 동해안과 서해안에서 7년 이상(2018~2024년) 관측자료가 축적된 48개소(각 24공) 해수침투 관측공을 대상으로, 해수면 상승을 포함한 다양한 요인에 의한 해수침투 현상의 시·공간적 특성을 평가하였다(Table 2)(Fig. 5). 이때 각 관측공의 연간 지하수위 및 전기전도도의 변화율에 대하여 95% 신뢰구간에서 Mann-Kendall 검정 통계량 및 Sen’s slope 계산값을 활용한 변동 경향 파악을 목적으로, 동해안과 서해안에서 각각 17개와 11개 관측공을 선정하여 분석에 이용하였다.
서해안과 동해안 각 24개 대상관정의 해안선으로부터 관측공까지 평균 거리는 각각 2,081 m (22~14,605 m)와 974 m (163~5,064 m), 평균 해발고도는 각각 5.1 m (0.9~9.4 m)와 8.2 m (2.2~48.3 m)로, 서해안의 관측공이 상대적으로 넓은 지역에 분포하는 반면 동해안의 관측공이 상대적으로 높은 지역에 분포하는 것으로 나타났다. 특히 동해안이 서해안에 비해 해안선으로부터 관측공까지의 거리 증가에 따른 해발고도 증가가 큰 것으로 분석되었다(Fig. 6(a)). 평균 지하수위는 각각 2.54 m (-0.69~6.85 m)와 2.65 m (-8.85~8.00 m)로 유사하지만, 해발고도와 마찬가지로 해안선으로부터 거리가 증가함에 따른 지하수위 증가는 동해안이 서해안에 비해 미약하게 증가하는 것으로 나타났다(Fig. 6(b)). 최근 7년(2018~2024) 동안 1시간 간격으로 자동 관측된 지하수위와 전기전도도 계측자료에 대하여 비모수적 추세 분석을 이용한 관측공별 전체 기간의 연평균 지하수위 변화율을 계산한 결과, 서해안(11개 관측공)의 경우 9.2 cm/year (-14.3~21.1 cm/year)로 상승하는 반면 동해안(17개 관측공)의 경우에는 0.8 cm/year (-16.2~37.5 cm/year)로 큰 변화가 없는 것으로 나타났다(Fig. 6(c)). 반면 연평균 전기전도도 변화율은 서해안이 -75.7 uS/cm/year (-1,659.9~508.7 uS/cm/year)로 동해안 -13.3 uS/cm/year (-236.8~94.6 uS/cm/year)에 비해 감소하지만, 관측공별 변화폭이 매우 큰 것으로 분석되었다(Fig. 6(d)). 이러한 연평균 지하수위 및 전기전도도 변화율은 Song and Zemansky (2012)이 과거 10개 관측공에 대해 분석한 결과와도 유사한 것으로 나타났다.
해안선까지의 거리 1,000 m를 기준으로 해안쪽 (0~1,000 m 이내 위치)과 내륙쪽 (0~1,000 m 이내 위치) 관측공의 평균 해발고도는 서해안은 각각 5.1 m와 4.9 m인 반면 동해안은 각각 4.6 m와 15.4 m이다. 평균 해수면 기준의 지하수위는 서해안과 동해안이 각각 2.7 m와 1.9 m와 2.3 m와 5.1 m로 나타났다. 최근 7년(2018~2024) 동안 연평균 지하수위 변화율과 연평균 전기전도도 변화율을 분석한 결과, 관측공에서의 전기전도도 변화율 분포는 서해안이 동해안에 비해 크게 나타났다(Fig. 7). 해안선으로부터 거리 1,000 m로 구분하여 도시한 결과, 서해안에서는 해안선에서 가까운 관측공에서 전기전도도와 지하수위 변화율이 해안선에서 멀리 떨어진 관측공에 비해 큰 것으로 나타났다(Fig. 7(a)). 반면 동해안의 전기전도도 변화율은 서해안에 비해 거리와 무관하게 변화가 크지 않은 반면 1,000 m 이상 해안선에서 멀어질수록 관측공의 지하수위 변화율이 크게 나타났다(Fig. 7(b)). 결과적으로 동해안에 위치한 관측공은 해수침투를 지시할 수 있는 전기전도도의 영향과 관계없이 지하수위 변화가 크게 나타남에 따라 해수면 상승의 영향보다 지하수 함양량 변화에 따른 지하수위 변동의 영향이 상대적으로 큰 것으로 해석이 가능하다. 반면 서해안은 동해안의 관측공에 비해 전기전도도의 영향이 상대적으로 큰 것으로 나타남에 따라, 동해안에 비해 해수면 상승의 영향이 큰 것으로 판단된다.
3.2.2. 해수면 상승의 영향 평가
국립해양조사원에 따르면 과거 10년(2010~2019년) 국내 연안의 연평균 해수면은 3.68 mm 상승하였는데, 이는 과거 30년(1990~2019년)의 연평균 해수면 상승률 3.12 mm에 비해 1.2배 증가한 수치이다(KHOA, 2025). 해안별 상승률 차이는 서해안에서 0.78 mm 감소(1.79 mm와 2.57 mm)한 반면 동해안에서는 1.34 mm 증가(5.17 mm와 3.83 mm)한 것으로 나타났다. 이러한 해수면 상승률 증가가 실제 해안 대수층에 미치는 영향을 평가하기 위하여, 대표 유역 인근에 위치한 태안 조위관측소(2015~2024년)와 동해항 조위관측소(2013~2024년)의 관측 자료를 이용하여 연평균 해수면 상승률을 분석하였다.
태안 조위관측소의 전체 기간과 후반기의 조위 상승률은 각각 3.47 mm와 3.65 mm로 후반기에 0.18 mm 증가하였다. 반면 동해항 조위관측소에서는 각각 3.50 mm와 4.38 mm로 후반기에 0.88 mm 증가함에 따라, 동해의 조위 상승률이 상대적으로 크게 나타났다(Fig. 8).
해수면 상승이 해안 대수층에 미치는 영향을 정량적으로 평가하기 위하여, 관측공으로부터 해안선까지의 거리, 해안선까지의 거리와 관측공의 지하수위를 이용한 동수구배, 관측공의 수리전도도에 대하여 각각 관측기간 전체와 풍수기와 갈수기를 구분하여 분석하였다(Table 3). 이때 풍수기와 갈수기는 환경부의 댐과 보 등의 연계운영규정에 따라, 각각 6월 21일부터 9월 20일까지 기간과 이를 제외한 나머지 기간으로 설정하였다(MoE, 2018). 분석 대상 관측공은 48개 관측공 중 지하수위 추세 분석 결과 95% 신뢰수준에서 유의한 변화가 있다고 판단된 28개 관측공(서해 11개소, 동해 17개소)으로 선정하였다(Table 2). 이들 관측공으로부터 해안선까지 거리와 지하수위로 계산된 평균 동수구배는 각각 0.0096 (0.0002~0.0287)와 0.0060 (0.0005~ 0.0141), 평균 수리전도도는 각각 2.7 × 10-2 cm/sec (0.2 × 10-6 ~2.0 × 10-1 cm/sec)와 3.9 × 10-2 cm/sec (0.5 × 10-5 ~2.9 × 10-1 cm/sec)로 분석되었다.
분석 대상 기간인 7년(2018~2024년) 중 서해안과 동해안의 연평균 지하수위 변화율은 각각 9.2 cm/year (-14.3 ~21.1 cm/year)와 0.8 cm/year (-16.2~37.5 cm/year)로 상승하는 것으로 분석되었다. 갈수기(6월 21일~9월 20일) 동안 서해안과 동해안의 연평균 지하수위 변화율은 각각 11.1 cm/year (-18.6~22.9 cm/year)와 4.3 cm/year (-17.3~46.3 cm/year)로, 전체기간 대비 서해안과 동해안에서 모두 상승폭이 증가한 것으로 나타났다. 풍수기(9월 21일~다음해 6월 20일) 동안 서해안과 동해안의 연평균 지하수위 변화율은 각각 44.2 cm/year (5.0~90.0 cm/year)와 -3.0 cm/year (-52.9~ 84.3 cm/year)로 전체기간 대비 서해안은 변화율 상승폭이 증가한 반면 동해안은 하강하는 것으로 나타났다.
이러한 결과들을 토대로 3가지 기간(전체기간, 갈수기, 풍수기)의 연평균 지하수위 변화율과 3가지 요인(관측공으로부터 해안선까지 거리, 동수구배, 수리전도도)에 대하여 각각 상관분석을 수행하였다(Table 4).
관측공으로부터 해안선까지 거리 요인은 동해안의 경우 3가지 기간 모두에서 상관계수(correlation coefficient)가 0.77 이상으로 매우 높은 양(+)의 상관성이 나타났으며, 특히 통계적 유의성을 판단하는 P-value가 0.03 이하로 해안선까지 거리가 중요한 요인으로 판단된다. 반면 서해안은 3가지 기간 모두에서 음(-)의 상관계수가 나타나며, 특히 풍수기보다 갈수기의 상관성이 더욱 높은 것으로 나타났다. 다만 P-value가 모두 0.13 이상이므로, 서해안의 경우 해안선까지 거리 요인은 통계적으로 유의성을 판단할 수 없는 것으로 나타났다.
동수구배 요인의 경우에는 서해안의 경우 모든 기간에서 양(+)의 상관성이 있는 반면 동해안에서는 풍수기를 제외하면 음(-)의 상관성이 우세한 것으로 나타났다. 수리전도도 요인은 서해안에서 3가지 기간 모두 양(+)의 상관성이 나타나며, 특히 풍수기에 0.41로 높은 상관성을 보인 반면 동해안의 경우에는 3가지 기간 모두 음(-)의 상관계수가 나타났다. 다만 3가지 기간에 대한 서해안과 동해안 모두에서 동수구배와 수리전도도의 P-value가 0.3 이상으로 나타남에 따라, 해안 대수층의 지하수위에 직접적인 영향을 미치는 요인은 해안선까지의 거리로 판단된다.
결과적으로 동해안의 경우에는 해안선으로부터 거리가 증가함에 따른 연평균 지하수위 변화율이 증가함에 따라, 해수면 상승의 영향보다는 대수층의 지하수 함양에 의한 영향이 상대적으로 크다고 판단된다. 반면 서해안의 경우 해안선으로부터 거리가 증가함에 따라 연평균 지하수위 변화율이 감소하는 결과가 나타나는데, 이는 동해안과 달리 해수면 상승 효과가 지하수 함양 효과에 비해 상대적으로 크게 작용하는 것으로 판단된다. 이러한 결과는 관측공이 위치한 해발고도에 따른 지형경사와 지하수위 증가 폭을 기준으로 해수침투 양상을 개념모델로 정리한 Ketabchi et al.(2016)의 FC 모델 및 HC 모델 조건(Fig. 3)과 각각 유사한 것으로 판단된다.
3.3. 지하수 수질
해안 대수층이 해수침투의 영향을 받는 경우 지하수의 수리지화학적 조성은 단순한 혼합과정(mixing process) 보다 양이온 교환반응(cation exchange reaction)에 의해 지배된다(Appelo, 1996). 반면 해수침투의 영향이 미치지 않는 경우에는 Ca2+와 HCO3- 이온이 주로 분포한다. 따라서 해안 대수층을 통한 해수침투가 발생하는 경우 대수층에 분포하는 Ca2+ 이온이 양이온 교환기(cation exchanger) 역할을 하게 되며, 해수에 포함된 Na+ 이온과 교환된다. 결과적으로 대수층의 수리지화학적 특성은 Ca-HCO3 유형에서 시작하여 Ca–Cl 유형을 거쳐 Na–Cl 유형으로 진화하게 된다(Richter and Kreitler, 1993; Appelo and Postma, 1993; Jeen et al., 2001).
서해안과 동해안의 48개 관측공의 지하수 시료에 대한 이온분석 결과를 Piper diagram에 도시한 결과, Ca-HCO3, Ca–Cl 및 Na–Cl 유형 등 다양한 수리지화학적 특성이 나타났다(Fig. 9). 그러나 서해안 관측공의 수리지화학적 특성은 앞서 제시한 Ca-HCO3 유형에서 시작하여 Ca–Cl 유형을 거쳐 Na–Cl 유형으로 진화하는 과정이 우세하게 나타나는 반면, 동해안 관측공의 특성은 Ca-HCO3 유형에서 Na-HCO3 유형을 거쳐 Na–Cl 유형으로 진화하는 형태를 보여준다. 이러한 원인으로 서해안의 경우 해발고도가 낮고 해수면 상승에 의해 담염수 경계선이 이미 내륙방향으로 크게 확장되어 있기 때문에, 염수의 특성이 강한 Cl-이 대수층에 이미 과다하여 Ca-HCO3에서 Ca-Cl로 변한 이후 Na-Cl로 진화하는 것으로 판단된다. 동해안은 서해안에 비해 해안으로 배출되는 지하수의 동수구배가 급해 해안변에 위치한 관정에서도 담수의 특성이 강한 HCO3-가 많이 용존된 반면, 해수면 상승 효과가 서해안에 비해 크지 않아 담염수 경계면의 변화가 크지 않은 특성이 있다. 따라서 해안선에 가까워지는 경우에도 Na+에 의한 Ca2+와 Mg2+ 이온 교환만 우선 발생하여 Ca-HCO3에서 Na-HCO3로 변하고, 이후 해안에 더 가까워진 관정에서는 HCO3-에 비해 Cl- 농도가 과다해져서 Na-Cl로 진화하는 것으로 판단된다.
결과적으로 앞서 해안별 연평균 지하수위 변화율에서 해석된 해수면 상승에 따른 해수침투의 영향이 서해안에서 크게 나타나고, 이로 인하여 대수층을 통한 담염수 경계면이 내륙쪽으로 확장되어 지하수 특성이 수리지화학적 진화(hydrogeological evolution)의 특성을 보여주는 것으로 판단된다. 반면 동해안에서는 대수층의 지하수 함양이 해수면 상승에 비해 큰 영향을 미치게 되는데, 이는 상대적으로 높은 지역에서 함양된 담수체가 동해안 방향으로 배출될 때 양이온 교환이 먼저 발생하고, 이 후 해수와 본격적으로 혼합하면서 발생하는 현상으로 판단된다.
3.4. 해안별 대표유역의 해수침투 영향 평가
이 연구에서는 앞서 연평균 지하수위 변화율과 지하수 수질 특성을 이용하여 분석한 해안별 해수침투 영향을 종합적으로 평가하기 위하여, 서해안과 동해안의 대표 유역에 대하여 연도별 지하수 수질과 각 관측공에 대한 정기적인 전기전도도 검층 자료를 분석하였다. 이를 위하여 해안별 대상 관정 중 관측공으로부터 해안선까지의 거리, 해발고도, 지하수위 등을 기준으로, 각각 충청남도 태안군의 남면 유역과 강원도 삼척시 근덕 유역을 대표 유역으로 선정하였다.
3.4.1. 남면 유역
이 유역은 태안반도 서쪽의 지형경사가 완만한 지역으로, 관측공은 2014년에 해안선과 수직 방향으로 2공(NM1, NM2)을 설치하여 운영 중이다. NM1과 NM2 관측공의 해안선까지의 거리는 각각 205 m와 452 m, 해발고도는 각각 1.67 m와 1.79 m이다(Fig. 10).
2015년 이후 매년 채취한 지하수 시료에 대한 이온분석 결과 해안선에 가까운 NM1 관측공의 지하수 수질은 대수층을 통한 해수침투가 진행됨에 따른 수리지화학적 진화의 중간 단계에 해당되는 Ca-Cl 유형에 해당되지만, NM2 관측공의 수질은 해수침투의 영향이 상대적으로 적은 Ca-HCO3 유형에 가까운 위치에 해당되는 것으로 나타났다(Fig. 11).
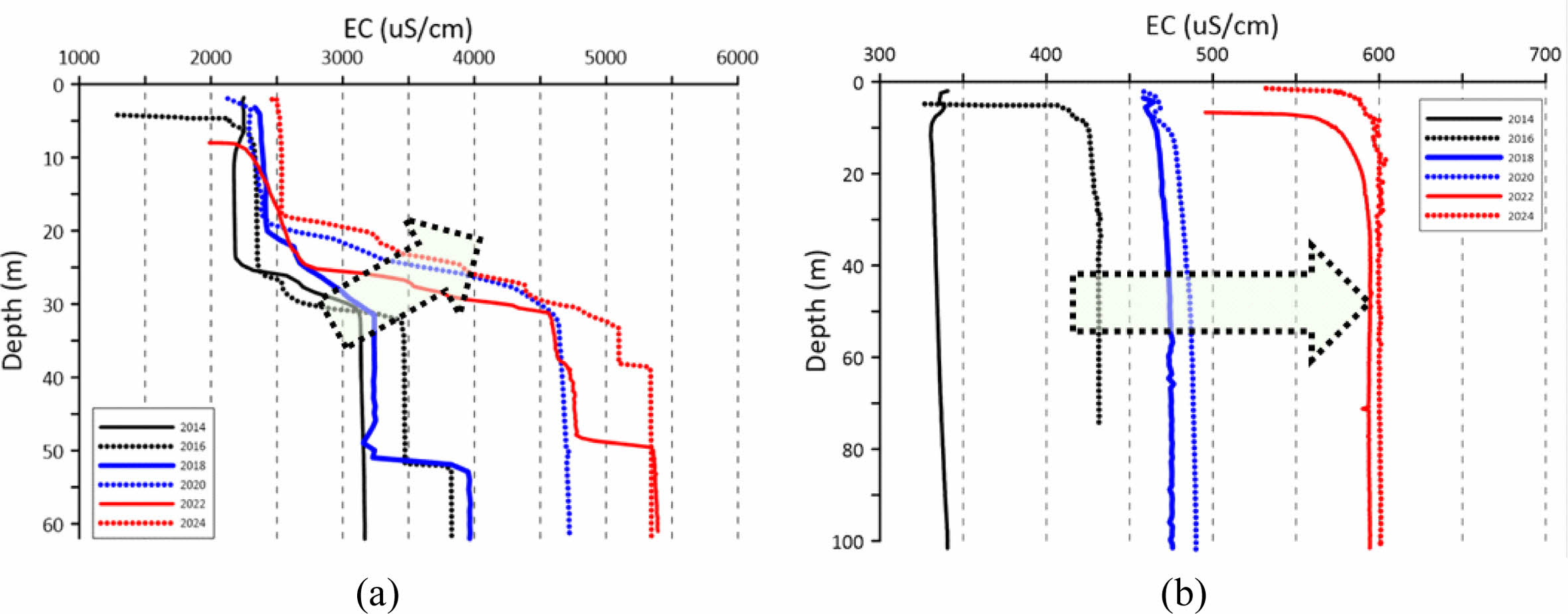
두 관측공을 대상으로 정기적인 전기전도도 검층을 수행한 결과 NM1 관측공에서는 시간이 경과됨에 따라 해수체와 담수체의 경계면(전기전도도 약 2,000~3,000 uS/cm)에서 지속적인 전기전도도값이 상승(약 2,500~5,000 uS/cm)하며 심도도 약 30 m에서 약 20 m까지 얕아지는 경향이 나타났다(Fig. 12(a)). 반면 NM2 관측공에서는 담수체 수준의 전기전도도(300~600 uS/cm)가 시간 경과에 따라 증가하지만 심도의 변화는 없는 것으로 나타났다(Fig. 12(b)). 이러한 결과는 앞서 서해안 관측공들의 지하수 수질 결과의 Piper diagram 분석 결과에서 제시한 바와 같이, 대수층을 통한 담염수 경계면이 내륙쪽으로 확장되어 지하수 특성이 수리지화학적 진화의 특성을 보여주는 것과 일치되는 것으로 판단된다.
3.4.2. 근덕 유역
이 유역은 동해안의 지형경사가 큰 지역의 해안변에 위치하며, 관측공은 2012~2023년에 해안선과 수직 방향을 포함하여 총 5공(GD1~GD5)의 관측공을 설치하여 운영 중이다. 관측공들의 위치는 GD1, GD2, GD4가 인접하며, GD5는 유역의 상류부에 위치한다. GD3은 남쪽의 다른 유역의 해안변에 위치하고 있다. GD1~GD5 관측공으로부터 해안선까지의 거리는 각각 312 m, 715 m, 186 m, 546 m, 4,113 m이며, 해발고도는 각각 2.20 m, 3.70 m, 2.60 m, 9.00 m, 2.20 m, 72.20 m이다(Fig. 13).
2013년 이후 매년 채취한 지하수 시료에 대한 이온분석 결과 해안선에 가장 가까운 GD1 관측공의 지하수 수질은 Ca-HCO3 유형과 Na–Cl 유형이 단순 혼합과정에 의해 변화하는 양상으로 나타났다. 반면 GD2와 GD4 관측공의 지하수 수질은 대수층을 통한 해수침투가 진행됨에 따른 수리지화학적 진화의 중간 단계에 해당되는 Ca-Cl 유형에 해당되는 것으로 나타나며, 유역 최상류부에 위치한 GD5 관측공의 수질은 Ca-HCO3 유형으로 해수침투의 영향이 거의 없는 것으로 나타났다. 별도 유역에 설치된 GD3 관측공은 Ca-Cl 유형으로 해수침투가 진행됨에 따른 결과로 판단된다(Fig. 14).
GD2와 GD3 관측공을 대상으로 정기적인 전기전도도 검층을 수행한 결과 GD2 관측공에서는 시간이 경과됨에 따라 해수체와 담수체의 경계면(전기전도도 약 200~8,000 uS/cm)에서 전기전도도값이 지속적으로 상승(2,500~31,000 uS/cm)하지만, 서해안과 달리 심도의 변화는 없는 것으로 나타났다(Fig. 15(a)). GD3 관측공에서도 GD2와 유사하게 해수체와 담수체의 경계면(전기전도도 약 6.000~8,000 uS/cm)에서 전기전도도값이 지속적으로 상승(9,000~25,000 uS/cm)하지만, 심도의 변화는 없는 것으로 나타났다(Fig. 15(b)).
이러한 결과는 앞서 서해안 관측공들의 지하수 수질 결과의 Piper diagram 분석 결과에서 제시한 바와 같이, 동해안에서는 대수층을 통한 지하수 함양이 주된 영향을 미침에 따라 해수면 상승에 따른 대수층의 담염수 경계면이 해수면 상승분만을 반영한 결과로 판단된다.
|
Fig. 4 Groundwater level distribution with distance to the coast line in seawater intrusion monitoring network. Solid lines, dotted lines, and dashed line indicate the trend lines of data for East Sea, West Sea, and South Sea, respectively. |
|
Fig. 5 Location map of the analyzed monitoring wells (n=48). |
|
Fig. 6 Distribution of elevation (a), groundwater level (b), annual variation of groundwater level (c), and annual variation of EC (d) with distance to the coast line for the analyzed wells (2018∼2024). Solid lines and dotted lines indicate the trend lines of data for East Sea and West Sea, respectively. |
|
Fig. 7 Distribution of annual variation of electrical conductivity to annual variation of groundwater level based on 1 km from the coast line on West Sea (a) and East Sea (b) for the analyzed wells (2018~2024). |
|
Fig. 8 Tidal variation at Taean (a) and Donghae-hang (b) gauging station. |
|
Fig. 9 Piper plots of groundwater chemistry for 48 monitoring wells in 2024. Dotted and dashed area indicate well group located on West Sea and East Sea, respectively |
|
Fig. 10 Location map of NM1 and NM2 monitoring wells. |
|
Fig. 11 Piper plots of groundwater chemistry for NM1 and NM2 monitoring wells during 10 years (2015-2024). Dotted areas indicate well group for 2 monitoring wells. |
|
Fig. 12 Electrical conductivity profiling at NM1 (a) and NM2 (b) monitoring wells during 10 years (2015-2024). Dotted arrows indicate the movement of transition zone between saline groundwater regime and fresh groundwater regime. |
|
Fig. 13 Location map of GD1~GD5 monitoring wells. |
|
Fig. 14 Piper plots of groundwater chemistry for GD1~GD5 monitoring wells during 12 years (2013-2024). Dotted areas indicate well group for 5 monitoring wells |
|
Fig. 15 Electrical conductivity profiling at GD2 (a) and GD3 (b) monitoring wells during 12 years (2013-2024). Dotted arrows indicate the movement of transition zone between saline groundwater regime and fresh groundwater regime. |
|
Table 2 Status of the analyzed monitoring wells and results of trend analysis for groundwater level and electrical conductivity during total monitoring period |
▲ and ▼ indicate upward and downward at 95% confidence level, respectively. |
|
Table 3 Analyzed results of annual variation of groundwater level during total period, dry season and rainy season during 7 years (2018∼ 2024) for 28 monitoring wells |
*Elevation is below mean sea level. ** No data. ▲ and ▼ indicate upward and downward at 95% confidence level, respectively. |
|
Table 4 Correlation coefficients between annual variation of groundwater level and 3 factors (distance to the coast line, hydraulic gradient, and hydraulic conductivity) with P-value during total period, dry season and rainy season during 7 years (2018 ∼ 2024) for 28 monitoring wells |
최근 발표된 자료에 따르면 2100년 전세계적인 평균 해수면은 2007년에 예측한 값의 약 1.5배인 0.26~0.82 m 상승하는 반면, 지역적으로 연평균 강수량의 변동폭이 커짐에 따라 해안지역의 수자원 확보에 불확실성이 증가하고 있다. 특히 해수면 상승은 해안 대수층을 통한 해수침투 발생을 가속화시켜, 수자원의 대부분을 지하수에 의존하는 지역의 경우 수자원 확보에 어려움이 커지게 된다. 특히 우리나라와 같이 해안별로 지형 경사의 차이가 크고 해안선 형태가 다양한 경우에는, 해안별로 대수층을 통한 해수침투의 영향을 정량적으로 평가하는 것이 수자원 관리 측면에서 필수적이다.
따라서 이 연구에서는 해수침투 관측공에서 수집된 지하수위 및 전기전도도 시계열 자료, 지하수 수질 및 전기전도도 검층 자료를 해수면 상승, 지형 경사, 동수구배 등의 요소와 상관관계를 분석하여, 서해안과 동해안의 해안 대수층을 통한 해수침투 영향을 정량적으로 평가하였다.
이러한 분석 결과를 종합한 결과, 다음과 같은 결론 도출이 가능하다.
1) 서해안과 동해안 각 24개 대상 관측공의 해안선으로부터 관측공까지 평균 거리와 평균 해발고도 자료를 분석한 결과, 서해안 관측공은 넓게 분포하지만 동해안 관측공은 높게 분포하는 것으로 나타났다. 특히 동해안에서는 해안선으로부터 관측공까지 거리가 증가함에 따라 해발고도가 크게 증가하는 반면, 지하수위 증가폭은 상대적으로 크지 않은 것으로 나타났다. 서해안의 연평균 지하수위 변화율은 동해안에 비해 약 11.5배 크게 상승하며, 연평균 전기전도도 변화율은 -75.7 uS/cm/year로 동해안 -13.3 uS/cm/year에 비해 감소하지만 변화폭은 상대적으로 매우 크게 나타났다.
2) 해안선까지의 거리 1,000 m를 기준으로 서해안에서는 해안선에서 가까운 관측공에서 전기전도도와 지하수위 변화율이 해안선에서 멀리 떨어진 관측공에 비해 큰 것으로 나타났다. 동해안은 거리와 관계없이 전기전도도의 변화율은 크지 않지만, 해안선으로부터 먼 관측공의 연평균 지하수위 변화율이 크게 나타났다. 결과적으로 동해안은 전기전도도의 영향과 관계없이 지하수위 변화가 크게 나타남에 따라 지하수 함양량 변화에 따른 지하수위 변동의 영향이 상대적으로 큰 반면, 서해안은 전기전도도의 영향이 상대적으로 커서 동해안에 비해 해수면 상승의 영향이 큰 것으로 판단된다.
3) 해수면 상승이 해안 대수층에 미치는 영향을 정량적으로 평가하기 위해 관측공으로부터 해안선까지의 거리, 동수구배, 수리전도도 요소에 대하여, 관측공별로 전체 기간과 함께 풍수기와 갈수기를 구분하였다. 이를 기초로 분석 기간에 따라 각 요소와의 상관계수를 산출하여, 해안별로 해수침투에 미치는 영향을 분석하였다. 이때 각 요소별로 P-value를 계산하여 통계적 유의성을 검토한 후 각 요소들의 영향력을 검토하였다. 분석 결과 동해안에서는 해안선으로부터 거리가 증가함에 따라 연평균 지하수위 변화율이 증가하므로, 대수층의 지하수 함양에 의한 영향이 해수면 상승의 영향에 비해 큰 것으로 나타났다. 반면 서해안의 경우에는 거리 증가에 따라 연평균 지하수위 변화율이 감소하는데, 이는 동해안과 달리 해수면 상승 효과가 크게 작용하는 것으로 판단된다. 다만 서해안의 경우 해안선까지 거리 요인은 통계적으로 유의성을 판단할 수 없는 것으로 나타났다.
4) 서해안 24개 관측공 지하수의 수리지화학적 특성은 Ca-HCO3 유형에서 시작하여 Ca–Cl 유형을 거쳐 Na–Cl 유형으로 진화하는 과정이 우세한 반면, 동해안 24개 관측공에서는 Ca-HCO3 유형과 Na–Cl 유형이 단순 혼합과정이 진행되는 것으로 나타났다. 결과적으로 서해안에서는 해수면 상승에 따른 해수침투의 영향으로 인하여 대수층을 통한 담염수 경계면이 내륙쪽으로 확장되는 현상으로 해석되며, 동해안에서는 대수층의 지하수 함양의 영향이 상대적으로 커서, 해수면 상승에 따른 담염수 경계면은 내륙쪽으로 확장이 제한적으로 나타나는 것으로 판단된다.
5) 서해안과 동해안의 대표 유역에 대하여 연도별 지하수 수질과 각 관측공에 대한 정기적인 전기전도도 검층 자료를 분석하였다. 서해안의 경우 해안선 인근의 관측공에서는 시간이 경과됨에 따라 해수체와 담수체의 경계면에서 전기전도도값이 지속적으로 상승하고 심도도 얕아지는 경향이 나타남에 따라, 서해안 관측공들의 지하수 수질 결과 대수층을 통한 담염수 경계면이 내륙쪽으로 확장되어 지하수 특성이 수리지화학적 진화의 특성을 보여주는 결과와 일치된다. 동해안의 경우 해안선 인근의 두 관측공 모두에서는 시간이 경과됨에 따라 해수체와 담수체의 경계면에서 지속적인 전기전도도값이 상승하지만, 서해안과 달리 심도의 변화는 없는 것으로 나타났다. 따라서 동해안에서는 주로 대수층을 통한 지하수 함양의 영향이 크게 나타남에 따라 해수면 상승에 따른 대수층의 담염수 경계면이 해수면 상승분만을 반영한 결과와 일치된다.
6) 결론적으로 우리나라 동해안은 대수층을 통한 지하수 함양 효과가 지하수위 변동의 큰 영향을 미쳐 해수침투의 영향이 적게 발생하는 FC 모델에 해당되는 반면, 서해안은 해수면 상승의 효과가 지하수위 변동에 미치는 영향이 큰 HC 모델에 해당되어 해수침투의 영향이 동해안에 비해 내륙 깊은 곳까지 미치는 것으로 판단된다. 따라서 향후 해수침투 관측망의 추가 설치 및 해안지역 수자원 관리 계획 수립 시 이번 연구 결과 활용이 필요하며, 특히 최근 발생 빈도가 증가하는 영동지역의 가뭄을 대비한 수자원 관리 정책 수립의 기초 자료로 활용이 기대된다.
이 연구는 환경부의 재원으로 한국환경산업기술원의 물공급 취약지역 지하수저류댐관리 기술개발사업(RS-2025-01842972)의 지원을 받아 수행되었습니다.
This Article2025; 30(3): 54-70
Published on Jun 30, 2025
Services
Correspondence toRural Research Institute, Korea Rural Community Corporation