
Su Ryeon Kim1, Jin Chul Joo2*, Hee Sun Moon3*, and Seonggyu Park4
1Department of Environmental Engineering, Hanbat National University
2Department of Civil and Environmental Engineering, Hanbat National University
3Groundwater Environment Research Center, Climate Change Response Research Division, Korea Institute of Geoscience and Mineral Resources
4Assistant Professor of Hydrologic Modeling, Texas Tech University, United States
김수련1ㆍ주진철2*ㆍ문희선3*ㆍ박성규4
1국립한밭대학교 환경공학과, 2국립한밭대학교 건설환경공학과, 3한국지질자원연구원 기후변화대응연구본부 지하수환경연구센터, 4Texas Tech University
This article is an open access article distributed under the terms of the Creative Commons Attribution Non-Commercial License (http://creativecommons.org/licenses/by-nc/4.0) which permits unrestricted non-commercial use, distribution, and reproduction in any medium, provided the original work is properly cited.
Uncertainties in climate change and precipitation patterns reduce the predictability of groundwater and surface water management. In the process of constructing groundwater flow models for existing groundwater management, large-scale watersheds are typically the primary focus. However, in watershed environments with complex boundary conditions where coastal lagoons and rivers coexist, it is necessary to establish conditions distinct from those of large-scale watersheds. This study, targeting the Songji lagoon watershed on the east coast, determined that defining boundary conditions in small-scale basins can significantly influence the predictive stability of the model and the results of sensitivity analysis. It quantitatively investigated the impact of boundary condition settings on the calibration and predictive accuracy of groundwater flow models. To this end, nine scenarios were constructed by stepwise combination of hydraulic conductivity, river, lake, and drainage conditions. Steady-state simulations using MODFLOW and parameter calibration based on PEST were performed to simulate groundwater flow for each scenario. Analysis results indicated that the scenario employing a stepwise calibration method, where river and lake water levels (stage) and conductance were set first, yielded the most effective water level prediction accuracy (R2 = 0.998 and RMSE = 0.138). This demonstrates that, in small coastal basins, a boundary-focused calibration strategy is an effective approach that reduces spatial uncertainty and enhances model reliability compared to traditional parameter calibration.
Keywords: boundary-focused calibration, coastal lagoon, small watershed, groundwater flow, MODFLOW
최근 기후변화로 인한 가뭄과 홍수 등 수재해의 발생 빈도와 강도가 증가함에 따라(IPCC, 2022; Hirabayashi et al., 2013), 수자원의 안정적 확보가 중요한 과제로 부각되고 있다(Grey and Sadoff, 2007). 강수량 및 증발산량의 급격한 변화는 하천, 댐, 저수지 등 지표수 수자원의 수질악화를 초래하며, 이는 장기적으로 지표수 관리의 불확실성을 심화시키고 있다(Vörösmarty et al., 2000). 반면 지하수는 전 세계 담수 자원의 약 30.1%를 차지하며(Lee and Kim, 2021), 지표수 대비 기후변화에 따른 단기적 변동성에 상대적으로 안정적이고 증발산의 직접적 영향을 덜 받기 때문에, 미래 기후 변화 대응 수자원 관리의 핵심 자원으로 인식되고 있다(Howard et al., 2006). 이에 따라 지하수의 수자원으로서 활용성을 높이고, 지하수–지표수 상호작용을 포함한 수문 순환 전반을 이해하기 위한 다양한 연구가 활발히 진행되고 있다(Taylor et al., 2013).
특히 지하수의 흐름, 분포, 수문학적 상호작용 및 수질 변화를 정량적으로 규명하기 위해 수치모델링이 널리 활용되고 있으며, 그 중 MODFLOW와 같은 유한차분 기반의 수치모델은 전 세계적으로 가장 표준화된 도구로 널리 사용되고 있다(Harbaugh, 2005; Anderson et al., 2015). 이러한 지하수 유동 모의 과정에서 수리전도도(hydraulic conductivity, Kh)와 함양량(recharge, R) 등은 지하수 흐름 해석 및 정확도에 가장 큰 영향을 미치는 주요 변수로 고려되었다(Hill and Tiedeman, 2007; Reinecke et al., 2019).
예를 들어, Czarnecki (2010)은 미국 미시시피 강 충적 대수층을 대상으로 MODFLOW 기반 지하수 모형을 구축하고, 관측 수위 자료 및 양수 자료를 활용하여 수리전도도와 함양량의 분포가 유동 방향성과 유량 산정에 미치는 영향을 분석하였다. 이를 통해 수리전도도의 공간적 불균질성이 유동 구조를 결정짓는 주요 변수임을 보여주었다. MacDonald et al. (2012)은 아프리카 대륙 규모 연구에서 지역별 recharge potential의 차이가 지하수 저장 능력 평가의 핵심 변수임을 제시하였다. 또한 Li et al. (2022)은 중국 황허 유역에서 하천으로부터의 측면 침투가 전체 지하수 공급의 절반 이상을 차지하며, 함양량이 수문·지화학적 변화에 직접적으로 기여함을 제시하였다.
그러나 이러한 연구 결과는 주로 수십–수백 km2 이상의 대규모 유역(large-scale watersheds)을 대상으로 도출한 연구 결과이다. 반대로 소규모 유역(small-scale watersheds), 특히 해안에 형성된 석호(lagoon)와 같이 하천, 호소, 습지가 지하수와 상호작용하는 지역에서는 영향인자가 근본적으로 다르게 작용할 수 있다.
예를 들어, Voeckler et al. (2014)은 소규모 산지 headwater catchment(유역 면적 < 10 km2)에서 하천–지하수 상호작용을 어떻게 개념화하느냐에 따라 지하수위 분포와 유출량 모의 결과가 크게 달라진다고 보고하였다. Bizhanimanzar et al. (2020)은 캐나다 Thomas Brook 소유역을 대상으로 개념적 모형과 물리 기반 모형을 비교한 결과, 경계조건 및 수문 과정의 단순화 수준에 따라 수위 재현성과 유출 모의 결과가 현저히 달라진다고 제시하였다. 또한 Hansen et al. (2013)은 덴마크 Lillebæk 유역(4.7 km2)에서 tile drain과 같은 소규모 배수 경계조건을 모형에 포함하지 않을 경우 수문 수지가 과대·과소 추정되어 전체 유역 유출 해석의 정확도가 크게 저하된다고 지적하였다.
따라서 송지호와 같은 독특한 소규모 유역에서는 지형 구배, 수계 밀도, 불균질한 지질 구조, 하천 및 석호의 위치와 수위(stage), 하상전도도(conductance)와 같은 국지적 경계조건(local boundary condition)이 모형의 민감도를 결정짓는 주요 요인으로 부각될 수 있다. 하천은 지하수계의 수두 분포와 흐름 경로에 가장 큰 영향을 미치는 대표적인 수문 경계로 간주되며 지하수 모형 내에서는 다양한 방법으로 개념화될 수 있어 소유역 모델링에서는 대규모 유역과는 다른 경계조건 설정 방식과 변수 설정에 따라 모형 결과가 상이하게 나타날 수 있다(Na et al., 2007).
따라서 본 연구는 강원도 고성군에 위치한 소규모 석호 유역인 송지호(Songji lagoon)를 대상으로, 유역의 수문 경계조건 설정이 지하수 유동 모형의 매개변수 보정 및 예측 정확도에 미치는 영향을 정량적으로 분석하였다. MODFLOW 기반 모형을 구축하여 각각 하천·호소·배수 조건 등 다양한 경계조건 설정을 달리한 9개의 시나리오를 설정한 후, 수위 예측 성능(RMSE, R2)를 비교·분석하였다. 이를 통해 대규모 유역에서 강조되는 수리전도도와 함양량의 영향이 소규모 석호 유역에서는 상대적으로 제한적이며, 오히려 하천 및 호소 경계조건이 모형의 정확도를 결정짓는 주요 요인임을 규명하고자 한다.
본 연구는 소규모 석호 유역을 대상으로 한 최초의 체계적 시나리오 기반 반응 비교(scenario-based assessment) 사례로서, 대규모 유역 중심의 기존 연구에서 간과된 연구 공백을 보완한다는 점에서 학문적 의의가 있다. 또한 지역적 특성을 반영한 최적 경계조건 설정 전략을 제시함으로써, 향후 연안 석호 및 유사한 소규모 유역에서의 지하수 관리와 수문 모델링의 정확성 향상에 기여할 수 있을 것으로 기대된다.
2.1. 연구 지역
연구 대상 유역은 강원도 고성군 죽왕면에 위치한 석호인 송지호로, 해안에 퇴적된 사구에 의해 바다로부터 격리되어 형성된 석호이다. 송지호는 담수 유입원인 강우, 지표하천, 지하수 등의 다양한 수원을 통해 유입되어 상호작용하며, 대조기에는 간헐적으로 해수가 유입되어 혼합되는 기수환경(brackish watershed)을 형성한다(Jeon et al., 2021). 송지호는 수면적 0.56 km2, 유역면적 3.826 km2, 둘레 5.56 km의 소규모 유역 면적 특성을 가지며(Yum et al., 2015; Kim et al., 2023), 송지호는 해안과의 조석 차가 약 50 cm 정도이며, 2013–2022년 연평균 강수량은 1,100–2,100 mm (평균 1,390 ± 290 mm)로 나타나, 전체 강수의 대부분이 여름철(7–8월)에 집중된다(Lee et al., 2023). 유역은 저산성 산지로 둘러싸여 있으며, 주요 수계는 송지호 서쪽 오움산(282 m)과 북측 왕곡마을에서 발원하여 송지호로 유입되는 소하천으로 구성된다(Fig. 1). 특히 하천 주변 지역은 농경지가 밀집된 구조를 보이며, 해당 지역에서는 50여 개의 지하수 관정이 운영되어 농업용수 공급의 주요 수단으로 활용되고 있다(Jeon et al., 2021).
2.2. 모델 구성
본 연구에서는 지하수 유동 모의를 위해 GMS (Groundwater Modeling System, Aquaveo Inc.) 10.4를 사용하였다. GMS는 MODFLOW, MT3D, RT3D, MODPATH 등과 연동 가능한 개념모형(Conceptual Model) 기반의 그래픽 사용자 인터페이스(GUI)를 제공하며, 이를 통해 복잡한 수문·지질 시스템을 시각적으로 구성하고 다양한 경계조건 및 수문 요소를 직관적으로 구현할 수 있는 장점이 있다(Aquaveo, 2025). 지하수 흐름 해석에는 유한차분법(finite difference method)을 기반으로 한 3차원 지하수 유동 모델인 MODFLOW를 사용하였으며, 대수층의 수위 변화 및 지하수 유동 해석을 위해 전 세계적으로 가장 널리 사용되고 있는 수치모델이다(Harbaugh, 2005).
본 연구에서도 지하수 흐름을 해석하기 위해 GMS 내의 MODFLOW–2000 패키지를 사용하였다. 모델은 정상상태(steady state) 조건과 공간적으로 균질(homogeneous)한 대수층 특성을 가정하였으며, 모형 격자(grid)는 15.5 m × 15.5 m의 정사각 모양으로, 총 150행 × 265열로 구성하였다. 유역경계, 수문 경계조건 및 관측정 배치는 개념 모형의 Coverage로 정의하였으며, 세부 구성은 Fig. 2에 제시하였다. 대수층 영역은 Aquifer coverage로 설정하고, Recharge (RCH) 패키지를 이용하여 공간별 지표 함양량을 입력하였으며, Layer Property Flow(LPF) 패키지를 통해 각 격자에 대한 수리전도도를 정의하였다. 하천은 River coverage를 통해 River(RIV) 패키지를 적용하여 구현하였으며, 하천 수위(stage), 하상 고도(bottom elevation), 하천전도도(conductance) 등을 지정함으로써 지하수–하천의 상호작용을 모의하였다. 이를 통해 하천이 공급원(gaining stream) 또는 유출원(losing stream)으로 작용하는 조건을 동적으로 반영하였다. 배수 조건은 Drain(DRN) 패키지를 이용해 설정하였고, 지하수위가 배수고(drain elevation)를 초과할 때만 지하수가 유출되는 구조로 구현하였다. 지하수 관측값과 모형 예측값의 비교를 위해 Well (WEL) 패키지를 포함한 coverage를 구성하여 관측 수위와 모형 수두결과를 비교·검증하였다. 마지막으로 호소는 General Head Boundary (GHB) 패키지를 통해 모의하였으며, 호소 수위(stage), 호소 하상전도도(conductance)를 기준으로 지하수와의 수위 차이에 따라 유입·유출이 발생하는 경계조건으로 설정하였다. 본 연구에서는 PCG2 (Preconditioned Conjugate–Gradient) 해석기를 채택하였다. PCG는 MODFLOW 모형의 유한차분 방정식을 해석하는 데 사용되며, 수렴 안정성 및 계산 효율성이 뛰어나다고 알려져 있다(Harbaugh, 2005). 모형의 수위 예측 성능을 파악하기 위해 관측 수위와 모의 수위를 비교하여 RMSE(root mean square error, 식 (1))와 R2(coefficient of determination, 식 (2))를 활용하여 모형 정확도를 평가하였다. 이때 Pi는 관측 수위, O͞͞는 모의 수위, n는 관측 수위 평균, n은 관측 개수를 나타낸다.


2.3. 시나리오 구성
본 연구에서는 수문 경계조건과 내부 매개변수 조정이 지하수 유동 모의에 미치는 상대적 영향을 정량 비교하기 위해 총 9개의 시나리오(S0–S8)을 구성하였다. 각 시나리오는 기본 조건(S0)을 기준으로 특정 요소를 단계적으로 조정하거나 보정하는 방식으로 설계되었으며, 시나리오 구조 개요는 Table 1에 요약하였다.
기본 시나리오인 S0(Baseline Scenario)는 균질한 대수층 조건에서 초기 설정된 경계조건과 수문 요소(recharge, lake, drain, river)를 포함한 기본 모형으로 구축되었다. S1(Zoned Aquifer Scenario)에서는 대수층을 5개 공간 구역으로 구분한 다중 폴리곤을 활용해 다른 수리전도도 설정을 통해 이질성을 반영하였고, S2(Aquifer Calibrated Scenario)는 S1과 동일 구조에서 7개의 pilot point를 설정하여 PEST 기법을 이용하여 수리전도도 값을 보정하였다.
S3–S7은 OAT(one–at–a–time) 민감도 시나리오로서, S0 시나리오 기준에서 공간별 함양량(recharge rate)을 조정한 S3, 호소 수위(stage) 및 전도도(conductance)를 조정한 S4, 배수 경계(drain)를 조정한 S5, 하천 수위(stage)를 조정한 S6, 하천 수위(stage) 및 전도도(conductance)를 개별적으로 조정한 S7이다. S8 (Final Calibrated Scenario)는 S3–S7의 OAT 분석 결과를 바탕으로 하여 경계조건 설정을 최적 조합으로 고정한 후, S2와 동일한 pilot point를 사용하여 PEST로 수리전도도를 보정한 최종 시나리오이다. 이 시나리오는 다양한 경계조건 및 내부 매개변수의 변화가 모형 결과에 미치는 영향을 종합적으로 고려하여 PEST를 통해 자동보정을 수행한 결과라고 볼 수 있다. 또한 이를 통해 각 경계조건 또는 내부 파라미터의 조정이 모델 반응에 미치는 영향을 정량적으로 비교할 수 있도록 하였다.
이때 S3–S7 시나리오의 민감도 분석은 각 경계조건 관련 매개변수를 순차적으로 시나리오별로 변화시키면서 모형 응답의 상대적 변화를 비교하는 시나리오 기반 영향 평가에 해당한다. 따라서 본 분석은 제한된 매개변수 공간 내에서 경계조건 설정이 모형 보정 성능과 수문학적 해석에 미치는 상대적 영향과 경향성을 파악하는 데 초점을 둔다.
이와 같은 단계적 접근은 소규모 유역에서 경계조건(하천-지하수, 호소-지하수)과 내부 매개변수(수리전도도, 함양량 등)의 영향력을 구분하여 분석하고, 모형의 예측 정확도를 향상시킬 수 있는 최적의 구성 전략을 도출하는 데 목적이 있다.
2.4. 모델 설계
초기 파라미터 설정은 기존 연구 및 지역 환경정보를 바탕으로 설정되었다. 송지호 유역의 연평균 강수량은 약 1,390 mm/yr로, 이 중 약 20%가 지하수로 함양된다고 가정하여 초기 함양량은 0.0008 m/d로 설정하였다. 이 비율은 유사한 환경조건에서 수행된 선행연구(Hamm et al., 2019; Chung et al., 2010 등)의 값과 범위가 유사하다. 구체적으로 Hamm et al. (2019)은 창원 대산면의 강변여과수 취수부지를 대상으로, 충적층(모래/자갈층)과 풍화암이 공존하는 지역에서 연구를 수행하였다. 해당 지역은 연간 강수량이 1,251 mm에 달하며, 투수계수는 8.64 m/d, 함양량은 0.0006 m/d로 함양비는 19.68%로 나타났다. Chung et al. (2010)은 1,868 km2 규모의 하천 주변 대수층을 대상으로 하였으며, 지층은 충적층과 풍화암으로 구성되어 있다. 강수량은 1,282 mm/yr로, 투수계수는 8.64 m/d, 함양량은 0.0009 m/d로 함양비는 약 21%로 나타났다. 이후 trial–and–error 방식으로 모델의 수치적 안정성과 물수지(water balance) 일치를 고려하여 결정되었다.
수리전도도 초기값은 국립농업과학원의 토양정보시스템(흙토람)에서 제공하는 송지호 유역 내 대표 토양 유형(조립질 모래, 사양토 등)의 포화투수계수(Ks)를 기반으로 평균값인 1.41 m/d를 적용하였다. 송지호 유역의 하천은 건천 및 소하천으로 하천과 호소의 초기 수위는 실제 관측자료가 부재한 상황에서, 관측정에서 나타난 지하수위 범위를 참고하여 초기값으로 평균 0.5 m/d로 설정하였다. 하천의 conductance는 기본적으로 0.1 m2/d/m로 지정되었으며, 하천 수위의 기본값은 균일한 river depth를 일괄 1 m로 조절하였다. 호소 조건(lake)은 송지호의 평시 평균 수위를 고려하여 stage 0.5 m, conductance 0.5 m2/d/m로 설정하였고, 배수 조건(drain)은 고도차를 고려하여 conductance 0.1 m2/d/m로 초기값을 설정하였다. 이러한 설정은 모두 S0 (Baseline Scenario)에 적용되었으며, 기본적인 수문 경계조건 하에서 기본 유동 패턴과 수치 안정성을 점검하는 데 사용되었다.
S1(Zoned Aquifer Scenario)에서는 대수층을 산지, 농지, 호소, 해안 등으로 나누어 공간적으로 구분된 다중 폴리곤으로 구분하고 각 구역별로 수리전도도 값을 각각 2.5, 4.5, 7.5, 10.0 m/d 범위로 설정하여 토양 특성에 따른 이질성을 반영하였다. 점토질 모래가 섞인 농지 구역의 수리전도도 값을 2.5 m/d로 하였으며 투수성이 높은 중립질 모래로 이루어진 해안 유역을 10.0 m/d로 하였다. S5 시나리오는 배수 조건을 변경하여 해안 인근 관정의 지하수위를 조절하기 위한 시나리오였으나, 전체적인 수리전도도가 낮아 배수 조건을 크게 하여도 배수가 원활히 이루어지지 않았고, 수리전도도 또한 증가시켜 그 값을 조절하였다.
S3–S7에서는 S0에서 정의한 시나리오를 기준으로 각 경계조건(하천-대수층, 호소-대수층) 관련 매개변수의 불확실성을 OAT 방식으로 탐색하였다. S3(Recharge rate Adjustment Scenario)에서는 기준값 0.0008 m/d를 중심으로 약 0.0001–0.001 m/d 범위에서 변화시켜, 건조한 조건에서의 낮은 함양과 강우가 집중되는 조건에서의 높은 함양을 모두 포함하도록 하였다. S4(Lake Stage & Conductance Adjustment Scenario)에서 반영한 호소 수위는 평시 기준 수위인 0.5 m를 중심으로 약 0.1–1.0 m 범위에서 변화시켜, 저수위 및 고수위 조건에서의 수두 분포 변화를 비교하였다. 호소 하상전도도는 기준값 0.5 m²/d/m에 대해 약 0.1–1.5 m²/d/m 범위에서 조정하여, 호소-대수층 간 교환이 제한되는 경우와 강화되는 경우를 모두 검토하였다. S5(Drain Conductance Adjustment Scenario) 배수전도도는 기준값 0.1 m²/d/m를 기준으로 주로 0.01–1 m²/d/m 범위에서 변화시키되, 일부 시나리오에서는 극단적인 배수 강도를 검토하기 위해 최대 5 m²/d/m까지 확대하여 스트레스 테스트를 수행하였으며, 배수 성능을 극대화하기 위해 수리전도도 또한 함께 변화시켰다. 이때 수리전도도는 보정된 기준값 1.41 m/d를 기준으로 약 0.1–10 m/d 범위에서 변화시켜, 조립질 모래–사질토 대수층에서 보고되는 전형적인 불확실성을 반영하였다. S6(River Stage Adjustment Scenario)에서는 건천인 하천 특징을 고려하여 최대 1 m에서 최소 0.1 m 범위까지 조절하였다. S7(River Stage & Conductance Scenario)에서는 하천의 하천전도도를 기준값 0.1 m²/d/m를 바탕으로 약 0.01–1 m²/d/m 범위에서 변화시켜, 하상층이 상대적으로 불투수한 경우부터 보다 투수성이 높은 경우까지의 하천–대수층 교환 강도를 모의하였다.
S2(Aquifer Calibrated Scenario)와 S8(Final Calibrated Scenario)에서는 PEST(Parameter ESTimation)를 통해 수리전도도를 자동보정하였다. PEST 보정 시 pilot point 간 매개변수 공간분포는 Inverse Distance Weighted (IDW) 방법(Shepard’s method, exponent = 2.5)을 이용하여 보간하였으며 최대값은 30 m/d로 제한(truncation)하였다. 이를 통해 공간 연속성을 안정적으로 유지하면서 매개변수의 보정을 안정적으로 진행할 수 있다. 이때 보정된 값은 각각의 시나리오 목적과 경계조건 설정에 따라 상이하게 나타났다. S2 시나리오에서 PEST 실행 결과 0.06 m/d에서 19.94 m/d 사이의 값이 도출되었으며 가장 높은 수리전도도는 호소와 배수 조건이 교차하는 지점의 관측정인 P3, MW2 지점의 사이에서 높게 나타났다. S8 시나리오에서는 0.02 m/d에서 17.25 m/d 사이로 나타났으며 가장 높은 수리전도도가 나타난 지점은 S2 시나리오에서 나타난 구간과 동일한 구간이었으나, 그 크기가 비교적 작게 나타났다. 모든 경계조건은 수치적 안정성과 관측 수위에 대한 근사값을 기준으로 설정되었으며, 적용된 구체적인 값은 Table 2에 나타내었다.
|
Fig. 1 Study sites for groundwater–surface water interactions in the Songji lagoon watershed. |
|
Fig. 2 Coverage setup for modeling |
|
Table 2 Summary of input parameters for aquifer properties and boundary conditions by scenario |
3.1. 지하수 모의 결과
시나리오별 지하수 수두 분포 결과는 Fig. 3에 제시하였으며, 각 시나리오에서의 수문 경계조건 및 매개변수 조정이 지하수 유동 양상에 미치는 영향을 시각적으로 비교할 수 있도록 구성하였다. 총 13개 지점의 관측정에서의 실측수위를 기준으로 모의 수위와 비교하였으며, 예측 수위와의 오차는 error bar의 길이와 색상으로 표시하여 각 시나리오별 지하수 수두 예측 정확도를 직관적으로 비교할 수 있게 하였다.
기본 시나리오(S0)은 균질한 대수층 및 초기 조건만을 반영하여 모의되었으며, 일부 호소 및 해안 인근 관정을 제외한 다수 관측정에서 실측 수위와 큰 차이를 보이며 예측이 크게 벗어나 오차 바가 긴 형태로 나타났다. 이는 단일한 수리전도도 분포로는 실제 수위의 공간적 변동성을 충분히 재현하기에 한계가 있음을 의미한다. S1 시나리오에서는 대수층을 토양 특성에 따라 공간적으로 세분화하여 수리전도도의 이질성을 반영한 결과로, 투수성이 높은 해안 대수층의 수리전도도를 높게 함으로써 특히 저지대 일부 관측정에서 예측 정확도가 다소 개선되었으나 고지대인 산지와 농업지역 등 전체적인 정확도 향상은 제한적이었다. S2 시나리오에서는 pilot parameter를 이용한 PEST 기반의 보정을 통해 수리전도도의 값을 조정함으로써 전반적인 오차가 감소하였으나, 하천 인근 농업 저지대와 일부 고지대에서 여전히 수위 오차가 남아 있었다. 이는 경계부에서의 유입·유출량이나 함양량 설정이 실제 조건을 충분히 반영하지 못한 결과로 해석된다. 이후 시나리오(S3–S5)에서는 주요 수문 경계조건(함양량, 호소 수위, 배수 조건)의 민감도를 단계적으로 분석하였다. 함양량을 조정한 S3 시나리오에서는 함양량을 낮춤으로써 전체적인 지하수두를 낮추며 각 경계조건 인근 관정의 일부 예측 정확도가 개선되었다. 호소 인근 관정과 같은 경우 기존 S0 시나리오에서도 정확도가 어느 정도 높았으나, 호소 수위 조건을 변경한 S4 시나리오를 통해 호소 수위를 낮춤과 동시에 호소 하상전도도를 높임으로써 효과적으로 개선되었다. 다만, 그 외 관정에서는 여전히 오차가 크게 나타났다. 배수 조건을 조정한 S5에서는 조정을 통해 해안 경계조건 인근 관정에서의 예측 정확도가 국지적으로 개선되었으며, 이는 경계조건의 정밀한 설정이 지하수–지표수 상호작용을 보다 정확히 반영함을 의미한다.
특히, 하천 수위를 조정한 S6에서는 초기 투수계수가 높지 않아 지하수 흐름이 원활하지 않아 수위를 낮추었음에도 모의 결과 수치적으로 과도한 수위가 형성되었으며, 지하수위가 높아져 전체적인 일치율이 낮게 나타났다. 반면, 하천 수위와 함께 하천전도도를 조정한 S7에서는 하천 인근 및 저지대 전체에서 수위 예측의 일관성이 크게 향상되었다. 이를 통해 하천의 수위와 함께 하천전도도를 함께 조정하는 것이 지하수 흐름을 모의하는데 더욱 효과적임을 확인할 수 있다. 최종 시나리오인 S8에서는 S7의 조건을 기반으로 주요 변수들을 통합 보정하여 전반적인 예측 정확도가 가장 높았으며, 모든 관측정에서 오차 바가 가장 짧게 나타났다.
Fig. 3에서도 확인할 수 있듯이, 지하수 흐름은 전반적으로 지형 경사를 따라 산지에서 석호 방향으로 형성되는 일반적인 경향을 보인다. 그러나, 수위의 세부 분포 및 예측 정확도는 시나리오별 경계조건 설정에 따라 민감하게 반응하였다. 이는 소규모 유역에서 하천 및 호소와 같은 수문 경계조건의 정의가 지하수 수두 분포 및 흐름 재현에 결정적인 영향을 미칠 수 있음을 보여준다.
3.2. 매개변수 민감도 분석
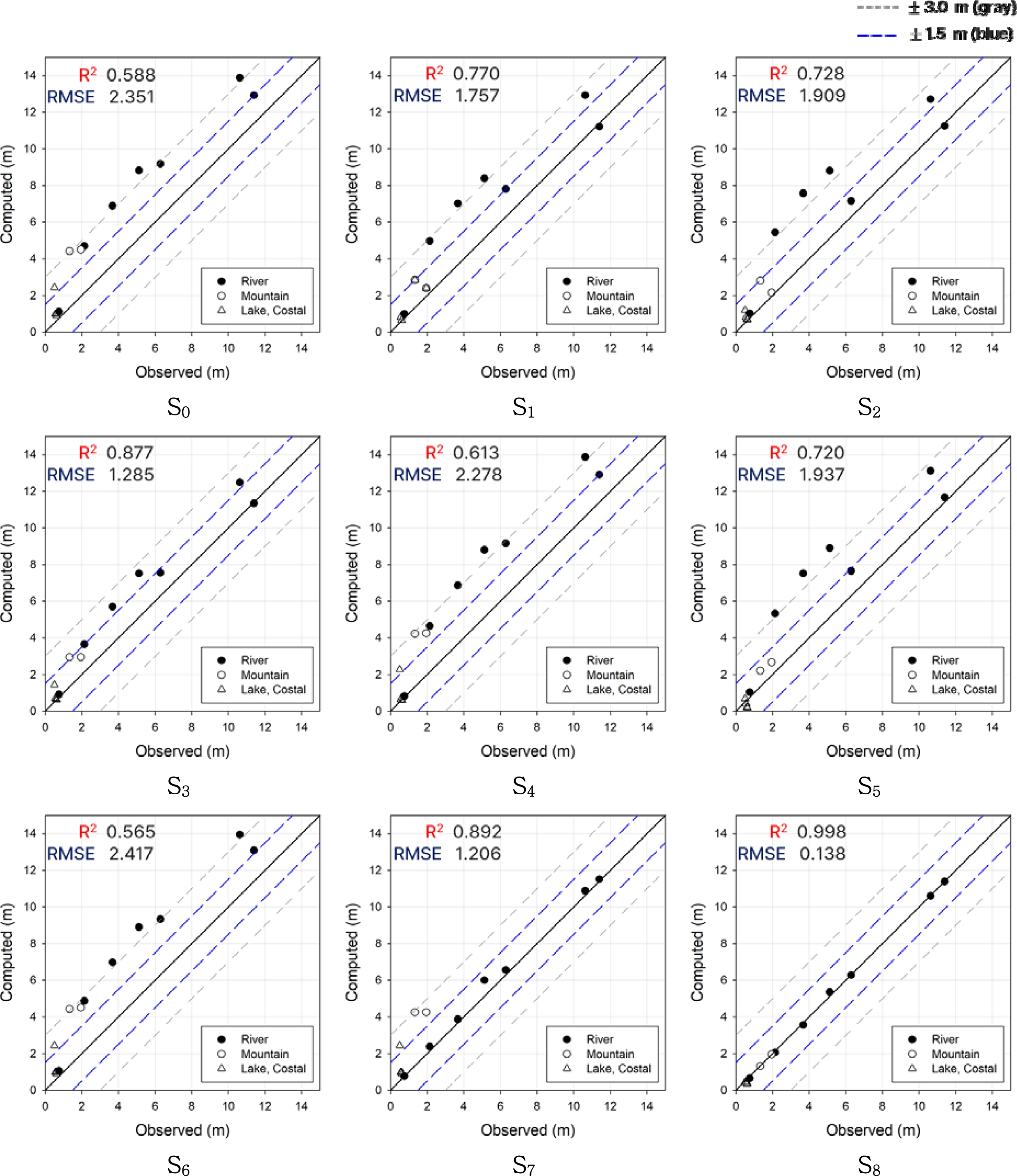
시나리오별 매개변수 조정이 모형의 예측 정확도에 미치는 영향을 정량적으로 평가하기 위해, 관측 수위와 예측 수위 간의 관계를 산점도(Fig. 4)로 시각화하고 결정계수(R2) 및 평균제곱근오차(RMSE)를 산출하였다 시나리오별 모형 성능을 비교하였다. 분석 대상은 총 13개 관측정이며, 지형 및 위치 특성을 고려하여 하천 인근(River), 산지(Mountain), 해안 및 석호(Lake, Coastal)로 구분하여 공간적 특성을 함께 고려하였다.
기본 시나리오(S0)은 균질한 수리전도도와 단순 초기조건만을 적용한 결과로, R2는 0.588, RMSE는 2.352로 나타나 모형 성능이 제한적임을 보여준다. 반면, 수리전도도의 공간적 이질성을 반영한 S1에서는 오히려 R2가 0.770로 증가하고 RMSE는 1.757로 감소하였다. 이는 수리전도도의 이질성 도입으로는 모형의 성능을 일부 향상시킬 수 있음을 보여주며, 적절한 구획화나 불균질 분포 설정을 통해 예측 오차를 감소시킬 수 있음을 시사한다.
S2에서는 동일한 이질 구조 하에 PEST 기반 보정을 통해 수리전도도를 조정하였으나, S1과 유사한 수준의 예측력(R2 = 0.729, RMSE = 1.909)만을 보여, 폴리곤을 통한 구획화 방법과 pilot point를 이용한 보정 방법에 큰 차이가 없음을 보여준다. 폴리곤 개수를 늘리거나 scatter point로 더 많은 pilot point를 설정한다면 그 정확도가 높아질 수는 있지만 본 연구 유역과 같은 경우에는 좁은 지형에서는 많은 point를 설정하는 것은 불필요한다고 판단된다. 수리전도도만을 조정한 두 시나리오의 결과로는 예측력이 크게 높지 않아 수리전도도 단독 조정만으로는 실제 수문 경계조건의 영향을 충분히 반영하지 못함을 보여준다.
이에 반해, 함양량을 조정하여 수문 순환의 기여도를 보정한 S3은 R2 = 0.877, RMSE = 1.286로 개선된 예측 성능을 나타냈다. 이는 유역 내 강수–지하수 재충전 과정이 수위 재현에 중요한 영향을 미침을 의미한다. 한편, 호소 수위와 전도도를 조정한 S4, 배수 조건 전도도를 조정한 S5에서는 각 경계조건 인근의 관측정에서 개선되는 등 국지적 개선은 있었으나 전체적인 정확도 향상은 제한적이었다. 또한 하천 수위를 조정한 S6에서는 R2 = 0.565, RMSE = 2.417로 예상과 달리 정확도가 낮게 나타났다. 반면 이어서 하천전도도를 함께 조정한 S7에서 R2 = 0.892, RMSE = 1.206로 예측력이 대폭 향상되며, 하천–지하수 간 교환 흐름의 모사가 예측 정확도 향상에 핵심적으로 작용함을 확인하였다. 이와 같은 결과가 나타난 이유는 하천의 수위만을 조절하였을 때는 낮은 수리전도도 탓에 지하수의 흐름이 원활하게 나타나지 않았고, 하천전도도를 함께 조절해줌으로써 하천과 지하수의 교환을 통해 전체적인 지하수 흐름을 원활하게 만들어주었기 때문으로 추측된다. 이러한 결과는 하천 경계의 수위와 함께 하천전도도가 모형 수두 분포에 강한 영향을 미치는 주요 인자임을 나타낸다.
최종 시나리오인 S8에서는 R2 = 0.998, RMSE = 0.138로 가장 높은 예측 정확도를 달성하였다. S8은 S7의 하천 조건 설정을 바탕으로 함양량 및 수리전도도 등의 조정 결과를 통합하여 주요 매개변수를 자동보정한 시나리오로, 이는 자동보정을 통해 하천 조건, 대수층 특성, 함양량 간 상호작용을 최적화한 결과이며, 모형 전반의 균형적 조정이 이루어진 시나리오라 할 수 있다.
전체적으로 볼 때, 시나리오가 진전됨에 따라 R2는 증가하고 RMSE는 감소하는 경향을 보였으며, 이는 단계적 매개변수 조정이 모형의 수위 재현력을 체계적으로 개선함을 입증한다. 특히 하천 수위 및 전도도의 보정이 예측 정확도 향상에 가장 큰 기여를 한 것으로 분석되었으며, 이는 소규모 유역에서 하천 경계조건이 민감 인자로 작용함을 명확히 보여준다. 따라서 향후 모형 구축 시에는 하천 경계조건의 수위 설정과 전도도 산정이 우선적으로 고려되어야 하며, 함양량 및 수리전도도는 이에 대한 보조적 조정 변수로 활용하는 것이 효율적임을 시사한다.
3.3. 최적 조건 및 모델 설정 평가
시나리오별 예측 정확도와 수문 유입·유출 구조의 변화를 종합적으로 비교한 결과, 각 경계조건 및 내부 매개변수 조정이 모형의 수문 반응에 미치는 영향이 상이하게 나타났다. 이는 모델 매개변수의 변화가 단순히 수두 분포뿐 아니라, 전체 수문 순환 구조(inflow–outflow balance)에도 영향을 미침을 의미한다.
Fig. 5는 시나리오별로 총 유입량(inflow)과 유출량(outflow)의 구성비를 나타낸 파이 차트로, recharge와 하천–지하수 교환 흐름(river–GW), 호소–지하수 교환 흐름(lake–GW), 배수(drain) 등 주요 수문 성분의 상대적 기여도를 시각화하였다. 기본 시나리오(S0)에서는 recharge 유입이 전체 유입의 대부분을 차지하였으며, 유출은 대부분 river–GW와 lake–GW을 통해 지배적으로 발생하였으며 일부 배수 조건을 통해서도 나타났다. 이러한 결과는 균질한 조건에서 하천 경계의 교환 작용이 충분히 반영되지 못함을 보여준다.
반면, S5 시나리오에서 배수전도도를 상향 조정함으로써 배수를 통한 유출 비율이 크게 증가하였다. S7 및 S8 시나리오에서는 하천 및 호소의 전도도 조정이 반영되면서, river–GW 유입 비율이 상승하였고 이는 하천–지하수 교환의 활성화로 인한 유입 플럭스 증가를 의미한다. 결과적으로, 유역 내 수문 순환 구조가 점차 현실적 형태로 수렴하며, recharge 의존형에서 하천–지하수 상호작용형(hydrologically coupled type) 구조로 전환되는 경향을 보였다.
Fig. 6은 각 시나리오에서의 R2 및 RMSE 값을 비교한 그래프로, 모형의 예측 성능 변화를 정량적으로 나타낸다. S1 시나리오에서는 투수계수의 공간적 이질성을 반영하며 R2 = 0.770, RMSE = 1.757로 예측력이 다소 상승하였으나 이는 일부 지역에 국한되었고, 이는 PEST를 적용하여 수리전도도를 보정한 S2도 마찬가지로 나타났다. S0 시나리오만으로 호소 인근 관정의 수위 예측 정확도가 높았던 것을 고려하면 그 외 관정에서의 정확도 상승은 다소 미미하여 초기 수리전도도 분포만의 조정이 모형 성능 향상에 제한적임을 의미한다.
그 외에도 S3–S5 시나리오에서 recharge, lake stage, drain 조건을 단계적으로 조정한 결과, 모형 정확도는 점진적으로 향상되었으나, 개선 폭은 경계조건 인접 지역에 국한되었다. S6 시나리오와 같은 경우, R2 = 0.565, RMSE = 2.417로 나타나 하천 수위를 보정한 것으로는 그 정확도가 높지 않았으나, S7 시나리오에서 하천 수위와 하천전도도를 함께 보정함으로서 R2 = 0.892, RMSE = 1.206로 예측 정확도가 크게 개선되어 뚜렷한 성능 향상을 확인하였다. 최종적으로 S8 시나리오는 이전의 모든 시나리오를 종합하여 하천과 호소 경계조건 및 함양량과 배수 조건을 기반으로 수리전도도 등 주요 매개변수를 PEST 기반 자동보정을 통해 통합 최적화한 결과로, R2 = 0.998, RMSE = 0.138를 기록하며 전체 시나리오 중 가장 우수한 성능을 보였다. 다만 이러한 결과는 관측정의 개수(13개)가 제한적이고, 지하수위가 높은 하천 인근 관측정에 편중되어 있어 상관계수가 하천 인근 관측정을 위주로 결정되어 이러한 결과는 현 조건 하에서의 최적해이나 실제로는 모형의 예측 성능을 다소 과대평가했을 가능성이 있다. 특히 지하수위가 상대적으로 낮은 Lake 및 Coastal 인근 관측정에서는 오차 특성이 충분히 평가되지 않았으므로, MAP, MSE 등 다른 모형성능 지표와 잔차 분포를 함께 분석하여 이들 구간의 오차를 보다 정량적으로 비교할 필요가 있다.
이러한 결과는 하천 및 호소의 경계조건 설정이 소규모 유역에서 모델 예측 정확도에 미치는 영향이 절대적임을 명확히 보여준다. 특히, 하천전도도 및 수위는 소규모 유역에서 지하수–지표수 상호작용을 지배하는 핵심 인자로, 이들의 적정 설정이 모델 성능 개선의 결정적 요소로 작용하였다. 또한 함양량과 수리전도도는 보조 매개변수로서, 경계조건과의 상호작용을 통해 모델 안정성을 높이는 역할을 수행하였다.
따라서 본 연구에서는 S8 시나리오의 조건을 송지호 소규모 유역의 지하수 유동 모델에 대한 최적 설정(optimal configuration)으로 도출하였다. 이는 단일 매개변수 조정보다는 경계조건과 내부 수리특성의 통합적 보정(integrated calibration)이 모델 예측 정확도 향상에 효과적임을 실증적으로 제시하는 결과이다.
Fig. 7을 통해 최적의 지하수 유동을 도출한 S8 시나리오의 결과로써, 송지호 유역의 개념적 물수지와 지하수-지표수 간 상호작용을 개념적으로 나타내었다. 총 유입량과 유출량은 2,401 m3/d로 각각 균형을 이루었으며 주요 유입 항목은 강우로 인한 함양량(2,107 m3/d), 하천-지하수 교환(198 m3/d), 호소-지하수 교환(96 m3/d), 유출 항목은 하천-지하수 유출(1,098 m3/d), 호소 지하수 유출(959 m3/d), 해안으로의 배수(446 m3/d)이다.
유역 전반적으로 강우에 의한 함양이 주된 지하수 유입원이 되며, 상류에서는 하천수와 지하수의 교환이 지배적으로 이루어지며 대수층으로부터 하천으로의 유입이 우세하게 나타났다. 하류에서는 호소에서 지하수와의 양방향 이동이 이루어지며 하천과 마찬가지로 지하수의 호소 유입이 더 우세하게 나타났다. 유역 특징에 따라 건천인 하천과 석호인 송지호에서 지하수의 유입이 우세함을 확인할 수 있었다. 최종적으로 강우로 유입된 유역 전체의 지표수 및 지하수 유출이 해안 방향으로 배출되며, 산지에서 강우로 유입된 지하수가 하천 및 호소로 유출이 나타남을 확인하였다.
|
Fig. 3 Simulated groundwater head distributions under different scenarios (S0–S8) in the Songji lagoon watershed. |
|
Fig. 4 Comparison between observed and simulated groundwater heads at 13 observation wells (n=13) with R2 and RMSE values for each scenario. |
|
Fig. 5 Water budget composition of inflow and outflow by scenario. |
|
Fig. 6 Comparison of R2 and RMSE for predictive performance. |
|
Fig. 7 Conceptual water balance of the songji lagoon watershed. |
본 연구에서는 대규모 유역에 비해 공간 규모가 제한된 소규모 유역에서 지하수 유동 모델링을 수행할 때 주요 매개변수의 상대적 영향을 규명하기 위해 수행하였다. 이를 위해 송지호 소규모 유역을 대상으로 GMS를 이용하여 수리전도도(Kh), 지하수 함양량(recharge), 하천 및 호소 경계조건(River·Lake Package의 head 및 conductance), 배수 조건(Drain Package의 conductance)을 단계적으로 조정하는 시나리오 분석을 수행하였다.
모의 결과, 상류 지역에서는 하천의 수위(stage)와 하천전도도(conductance)가 모형 수두 분포에 가장 민감한 변수로 나타났으며, 이는 하천-지하수 간 상호작용이 지배적인 상류 구간의 수문학적 특성을 반영한 결과이다. 즉, 하천이 위치한 구간에서는 하천 수위 및 전도도 설정이 지하수 유동 패턴을 결정하는 핵심 인자로 작용함을 확인하였다.
반면, 하류 지역에서는 호소(lake)와 배수 조건(drain)이 주요 영향을 미치는 것으로 분석되었다. 이는 송지호 유역의 하류부가 석호 및 배수 조건의 영향을 크게 받는 혼합대(hyporheic zone)에 해당하기 때문이며, 호소 수위 및 배수전도도 조정이 수위 재현 및 유출 패턴에 큰 영향을 주는 것으로 나타났다. 이러한 결과는 하류 지역에서 석호-지하수 간 교환 흐름이 활발히 발생하며, 이 상호작용이 유역 전체의 지하수 유동 구조를 조절함을 시사한다.
따라서 본 연구에서는 소규모 유역에서 대규모 유역에서 흔히 주요 변수로 간주되는 수리전도도와 함양량의 영향이 상대적으로 제한적이며, 오히려 하천 및 석호의 경계조건 설정이 모형 정확도 향상에 결정적인 역할을 하는 것으로 판단하였다. 이는 소규모 유역에서 대규모 유역의 매개변수 최적화 방식을 단순 적용하는 것은 적절하지 않으며, 지역별 수문 지형 특성에 따라 경계조건 중심의 보정 전략(boundary-focused calibration)이 필요함을 의미한다.
한편 본 연구는 제한된 관측정의 정상상태 수두 자료를 바탕으로 보정되었으며, 관측정의 개수가 제한적이며 하천 인근 관측정에 편중되어 있어, 향후 다른 시기·위치의 관측값에 대한 예측치 검증 및 다른 모형성능 지표를 통해 모형의 예측 성능을 추가적으로 분석할 필요가 있다. 또한 본 연구에서 진행한 경계조건, 매개변수 조합 외 다른 핵심 매개변수 조합에서도 유사한 결과가 도출되는지 검토하는 보다 체계적인 불확실성 평가가 추가로 수행되어 보완될 필요가 있다.
본 연구는 동해안 소규모 연안 석호 유역을 대상으로 수리전도도·함양량뿐만 아니라 하천·호소·배수 등 경계조건 설정이 지하수 유동 모형의 적합도와 예측 안정성을 좌우할 수 있음을 정량적으로 제시함으로써, 유사한 규모의 연안 유역에서 경계조건 중심의 보정 및 시나리오 설정 전략이 필요함을 보여준다. 또한, 소규모 유역 내 하천-석호-지하수 상호작용이 지하수 유동 패턴에 미치는 영향을 정량적으로 규명함으로써, 향후 유사한 지형·수문학적 조건을 가지는 지역의 지하수 관리 및 모델링을 위한 기초자료로 활용될 수 있다. 또한, 본 연구에서 도출한 최적 매개변수 조합(S8 시나리오)을 기반으로, 향후 현장 내 영양염류 및 유기물의 거동 모사 및 예측 모델링이 가능할 것으로 기대된다.
특히, 석호 및 하천이 혼재된 소규모 유역에서는 혼합대 내 지하수-지표수 상호작용의 정량적 파악이 유역 내 지하수 유동 및 영양염류 유출 평가의 핵심 요소임을 확인하였으며, 향후에는 이러한 상호작용을 반영한 통합 수문–수질 연계 모델링(integrated hydro–biogeochemical modeling) 연구가 필요하다.
This work was supported by the Basic Research Project (22–3411) of the Korea Institute of Geo–science and Mineral Resources (KIGAM), funded by the Ministry of Science and Information and Commu–nications Technology.
This Article2025; 30(6): 96-108
Published on Dec 31, 2025
Services
Correspondence to2Department of Civil and Environmental Engineering, Hanbat National University
3Groundwater Environment Research Center, Climate Change Response Research Division, Korea Institute of Geoscience and Mineral Resources