
Yebin Lee1,2, Kyung-Seok Ko1,2, and Hanna Choi1,2*
1Geo-Environment Research Division, Korea Institute of Geoscience and Mineral Resources, Daejeon 34132, Korea
2University of Science and Technology, Geological Science, Daejeon 34113, Korea
이예빈1,2ㆍ고경석1,2ㆍ최한나1,2*
1한국지질자원연구원 지구환경연구본부, 2과학기술연합대학원대학교 지질과학
This article is an open access article distributed under the terms of the Creative Commons Attribution Non-Commercial License (http://creativecommons.org/licenses/by-nc/4.0) which permits unrestricted non-commercial use, distribution, and reproduction in any medium, provided the original work is properly cited.
Urban–rural transitional zones are influenced by domestic, industrial and agricultural inputs, which complicate water quality assessment. This study evaluated the seasonal water quality characteristics of groundwater and surface water in Daejeon Metropolitan City, South Korea, and assessed their suitability for agricultural use. Groundwater and surface water samples were collected during the wet (n = 32) and dry (n = 39) seasons. Irrigation suitability was evaluated using the sodium adsorption ratio, sodium percentage, and residual sodium carbonate. Most samples were classified as Ca–HCO3 type, which indicated strong hydrological connectivity between groundwater and surface water. Fluorescent dissolved organic matter analysis revealed that groundwater during the dry season was increasingly influenced by relatively fresh, microbially derived organic matter. Surface water and groundwater in the study area were suitable for irrigation regardless of season and showed no evidence of salinity accumulation in soils. This suggests that pollutant inputs into the water system are being systematically and effectively managed in this urban–rural mixed environment.
Keywords: Urban–rural mixed area; Groundwater–surface water interaction; Seasonal water quality; Irrigation water suitability; Dissolved organic matter
최근 기후변화에 따른 극한강수 증가로 지하수 함양량 감소 추세가 이어지고 있으며, 가뭄의 발생 빈도와 강도 또한 높아지는 것으로 보고되고 있다(OPC and KMA, 2020; KMA, 2026). 이는 가용 수자원의 감소를 초래할 뿐만 아니라, 폭염이나 산불 등 복합재해로 이어져 사회·경제적 피해를 직접적으로 유발하기도 한다(Chen et al., 2024; Nones et al., 2024). 특히 관개수 확보가 중요한 농업 활동에서는 수자원 감소에 따라 작물 생산성 저하와 경제적 피해가 발생할 수 있다(Seo et al., 2009; Ahn et al., 2015). 한국의 지방도시들은 도시 내·외부에서 다양한 규모의 농업활동이 지속되고 있다. 그러나 일부 지역에서는 꾸준한 인구 증가로 인해 산업시설 및 주거지 확충이 이루어지면서 토지이용과 토지피복 유형의 변화가 나타나고 있다. 이러한 도시화에 따른 지표환경의 변화는 농업활동과 관련된 비점오염물질의 유출뿐만 아니라, 하수처리장 방류수와 미처리 생활하수 등 다양한 수질 영향 인자의 수계 유입을 초래할 수 있다(Jeong, 2001; Yifru et al., 2022).
국내 전체 수질오염 기여도 중 비점오염원이 차지하는 비율은 약 42–67%이며, 이 중 농업 관련 활동에서 기인한 비점오염은 30% 이상을 차지하는 것으로 보고되고 있다(Lee et al., 2012). 특히 도농복합도시는 도시 및 산업 기원 오염 가능성과 농업 기원 영양염에 의한 영향을 함께 고려한 유역 하천의 수질관리가 필요하다(Wang et al., 2014). 도시 내 임야지대는 장기적으로 도시 용지로 전환될 가능성이 있으나, 농업 및 생활용수의 주요 공급원인 지하수는 향후에도 지속적인 활용이 요구될 것으로 보인다(Lee et al., 2016). 도농복합 환경에서 단일 지표에 기반한 지하수 수질 평가는 생활·농업용수로 이용되는 현장 조건을 충분히 반영하기 어려워 해석의 불확실성을 높일 수 있다. 특히 농업용수 수질의 적용성 평가는 토양 투수성 및 삼투압 등 작물 생육 건전성 판단에 초점이 맞춰져 있어, 평가 인자가 염도 위해성 중심으로 제한되고 개별 지표 산정과 단순 등급 분류에 머무르는 경우가 많다(Anyango et al., 2024; Yan et al., 2024; An et al., 2006; Ayers and Westcot, 1985). 즉, 이러한 방법만으로는 지표수와 지하수를 상호보완적으로 활용하고 용존유기물 및 무기염류 특성을 함께 고려해야 하는 농업용수 수질 평가에 한계가 있다. 따라서 농업 및 생활용수로 이용되는 지하수와 지표수의 수질을 합리적으로 평가하기 위해서는 계절별 수문 조건에 따른 유기물 특성과 용존이온 조성 변화를 통합적으로 해석하는 접근이 필요하다. 이러한 통합 수질 분석은 도농복합 지역에서 지하수의 농업용수 활용 가능성을 보다 실질적으로 평가할 수 있는 근거를 제공한다.
남한 중서부에 위치한 대전광역시는 갑천, 유등천, 대전천의 침식 작용으로 형성된 분지 지형을 이루고 있으며, 하천을 따라 충적지가 넓게 발달해 있다(NGII, 2024). 도시 중심부에는 상업 및 주거 기반시설이 집중되어 있고, 외곽 지역에는 농경지가 넓게 분포하여 도시와 농촌이 혼재된 토지이용 양상을 보인다. 2023년 기준 대전의 용도별 지하수 이용 비율은 농업용수 약 32%, 생활용수 약 63%로 조사되었다(MOE and K-water, 2024). 이는 제조업과 서비스업이 주요 산업 구조를 이루는 도시 환경에서도 지하수가 농업 및 생활용수 측면에서 여전히 중요한 수자원임을 시사한다. 따라서 이 연구에서는 도농복합적 특성을 지닌 대전시 지하수를 대상으로 공간적 수질 분포 특성을 규명하고, 농업용수로서의 적용 타당성을 평가하고자 한다. 나아가 시기별 수원 변화에 따른 수질 저하 인자의 특성과 영향을 비교·분석함으로써, 장기적인 농업 및 생활용수 관리에 활용할 수 있는 기초 자료를 제공하는 것을 목적으로 한다.
2.1.연구지역
대전광역시는 총면적 539.7 km2, 인구 약 140만 명의 도시로, 한반도 중서부 내륙의 동경 127o14'54''-127o33'21'', 북위 36o10'50''-36o29'47'' 범위에 위치한다. 도시 북측은 금강을 경계로 하며, 나머지 삼면은 산지로 둘러싸인 분지 지형을 이룬다. 과거에는 농업 활동이 활발하였으나, 현재는 주거·상업·산업 지역이 도시 공간 이용의 중심이 되고 있다(NGII, 2024). 대전시의 지질(Fig. 1a)은 쥐라기 화강암이 우세하며, 고생대–캄브리아기 변성퇴적암, 중생대 화강암, 제4기 충적층, 선캄브리아기 편마암 및 편암이 분포한다(Jang et al., 2019; Choi et al., 2023). 2024년 기준 대전시의 토지이용 비율(Fig. 1b)은 전체 면적의 약 50%가 산림, 19.3%가 주거 및 산업지역, 12.1%가 농업지역으로 구성되어 도농복합도시의 특성을 보인다(EGIS, 2026).
토지이용도를 기준으로 연구지역을 도시(주거·상업지역 등)와 농업(논, 밭, 과수원 등) 지역으로 구분하였다(Appendix 1). 연구에 사용한 물 시료는 도시지역에서 약 54%, 농업지역에서 약 47% 채취하였다(Table 1). 대전시의 5개 행정구역(대덕구, 유성구, 동구, 서구, 중구) 가운데, 2000년대 이후 지하수의 농업용수 비율이 가장 높은 유성구를 중심으로 연구지역을 설정하고 시료를 채수하였다. 시료 채취 위치는 Fig. 1에 나타내었으며, 지하수와 지표수는 각각 G와 S로 표기해 구분하였다. 기상청 자료에 따르면 대전의 평년(1991–2020년) 연평균 기온은 13.1oC이며, 7월과 11월의 평년 평균기온은 각각 25.5oC와 13.5oC이다. 연평년 강수량은 1,351.2 mm이며, 7월과 11월의 평년 강수량은 각각 306.9 mm와 48 mm로, 연강수량의 약 57%가 여름철에 집중된다 (KMA, 2026). 대전 지역의 2025년 7월 강수량은 300 mm으로 많은 강수가 발생하였고, 11월은 17 mm로 낮은 강수량이 나타났다. 따라서 높은 강우가 관찰되는 7월을 풍수기(Wet season), 강우량이 적은 11월을 갈수기(Dry season)으로 구분하였다. 수문환경을 통합적으로 해석하기 위해 갑천, 유등천, 대전천 상류의 지표수, 주요 지천 합류부, 금강 합류 지점까지 포함하도록 광역적으로 채수 범위를 설정하였다. 이를 통해 지표수 및 지하수 흐름에 따른 공간적 수질 특성을 파악하고, 계절 변화를 비교하였다. 2025년 7월 초(풍수기)에는 연구 대상지역에서 지하수 22점, 지표수 10점 등 총 32점의 시료를 채수하였으며(Fig. 2a), 2025년 11월 말(갈수기)에는 채수 지점을 추가하여 지하수 27점, 지표수 12점 등 총 39점의 시료를 확보하였다(Fig. 2b). 두 시기 모두 집중 강우의 영향을 배제하기 위해 강우 발생 후 12일 이상 경과한 시점에 채수하였으며, 기반암 특성이 반영된 지표수 및 지하수의 고유 수질 특성을 확인하고자 하였다.
지하수 시료는 산지 약수터, 주거지역 인근 민방위 급수시설, 장기 수문환경 모니터링을 수행 중인 한국지질자원연구원 기후변화관측정에서 채수하였다. 민방위 급수시설 우물의 심도는 약 90–210 m 사이의 깊이로 분포되어 채수한 시료가 심부 지하수에 해당한다고 판단하였다. 지표수 시료는 자연 영향이 크게 반영되는 탄동천 상류에서부터 도시 및 생활 영향 가능성이 있는 갑천과 금강 하류 구간까지, 하천 차수가 증가하는 흐름 방향을 따라 채수하였다. 모든 지하수 시료는 현장 수질이 안정화될 때까지 충분히 양수한 후, 대수층의 대표 수질을 반영한다고 판단되는 시점에 채수하였다.
2.2.전처리 및 분석법
안정화된 지하수 양수 조건에서 WTW Multi 3620 IDS (Fisher Scientific, Sweden)를 이용하여 현장 수질 항목으로 pH, EC(electrical conductivity), DO(dissolved oxygen), ORP(oxidation reduction potential)을 측정하였다. 양이온, 음이온 및 알칼리도 분석용 시료는 0.45 μm 멤브레인 필터로 여과하였으며, 양이온 분석용 시료는 시료 10 mL 당 질산 1방울을 첨가하여 pH 2 이하로 산성화하였다. 전처리된 시료는 아이스박스에 보관하여 운반한 후 3일 이내에 실내 분석을 수행하였다. 용존유기물(DOM, dissolved organic matter) 분석용 시료는 0.7 μm 유리섬유 필터로 여과한 후 갈색 유리병에 보관하여 광노출을 차단하였다. 알칼리도는 0.01 N HCl을 사용하여 자동적정기(Orion Star T940, Thermo Scientific)로 측정하였다. 양이온(Ca2+, K+, Mg2+, Na+, Sr2+)과 SiO2는 유도결합 플라즈마 방출 분광기(ICP-OES, Optima 7300 DV, Perkin Elmer), 음이온(F-, Cl-, NO3-, SO42-)은 이온크로마토그래피(IC, Dionex AS-DV, Thermo Scientific Aquion) 장비를 사용하여 분석하였다. DOM 분석은 고분해능 용존유기물 분광형광시스템(Aqualog, Horiba scientific)의 3D Acquisition 모드를 사용하였다. 분석을 위해 시료 3 mL를 10 mm 석영셀에 담아 진행하였다. 전하균형오차(CBE, % charge balance error)는 G19를 제외한 모든 시료에 대해 ±10% 이내의 오차범위를 보였다.
|
Fig. 1 Maps showing the geologic units (a) and land cover classification in 2024, (b) of the study area. |
|
Fig. 2 Sampling sites in study area (a) wet season and (b) dry season. |
|
Table 1 Number and proportion of samples classified by water type (groundwater and surface water) and land-use type (agricultural and urban areas) |
3.1. 시기별 주성분 분포
지하수 및 지표수 주요 이온 성분을 시기별로 구분하여 Fig. 3과 같이 파이퍼 다이어그램에 도시하였다(Piper, 1944).
수체의 종류와 관계없이 대부분의 시료는 Ca-HCO3 유형에 속하며, 일부 시료에서는 상대적으로 Ca2+ 대비 Na+의 비율이 높게 나타난다. 특히 지하수는 계절과 무관하게 Na-Ca-HCO3 유형에 주로 분포하며, 이는 기반암과의 반응 영향이 수질이 반영된 것으로 해석된다(Lee et al., 2002; Kim et al., 2024). 지표수와 지하수의 주성분 분포 유형이 유사하게 나타나는 점은 연구지역 내 수문순환의 연결성이 높음을 시사한다(Choi et al., 2023).
질소는 중요 영양염으로서 자연적 요인 및 인위적 활동에 의해 다양한 형태로 수계에 유입된다. 특히 질산성 질소(NO3-N)는 농업 활동, 주거지역 생활 오수, 오폐수 유출 등을 통해 유입될 수 있으며, 농업지역의 비료·퇴비 사용과 축산폐수에 의한 영향이 크게 나타난다. NO3-N은 영유아에게 청색증을 유발할 수 있는 건강상 유해영향 무기물질로 분류되며, 주요 지하수 오염 인자로 알려져 있다(Benefield et al., 1982). 국내 먹는물 수질기준은 NO3-N 10 mg/L 이하, 농업용수 및 생활용수 수질환경기준은 20 mg/L 이하로 규정하고 있다(KLIC, 2026). 연구지역 시료의 NO3-N 농도는 지하수에서 평균 3.46 mg/L, 최대 9.13 mg/L으로 나타났고, 지표수에서 평균 1.87 mg/L, 최대 5.67 mg/L로 나타났다. 연구지역의 지하수와 지표수는 NO3-N 농도에 대해 먹는물 수질기준을 만족하며, 생활 및 농업용수로 충분히 활용 가능한 수준으로 평가된다. 시기별 변화를 비교한 결과, 갈수기 지하수의 NO3-N 농도는 풍수기와 거의 비슷한 값을 가져 그래프상에서도 유사하게 중첩되어 나타난다(Fig. 4a). 이에 비해, 지표수는 풍수기와 갈수기 시기 NO3-N 농도에 비교적 차이가 존재하는 것이 보인다. 이는 지하수가 지각 매질과 접촉한 환경에서 상대적으로 외부 영향이 제한적인 반면, 지표수는 강우 및 비점오염원 유입에 직접 노출되어 농도 변동성이 크게 나타난 결과로 해석된다.
NO3-N의 계절별 농도 차이가 비교적 크게 나타나는 S3 지점은 도심 중앙을 통과하며 흐르는 하천으로, 일정 수준 이상의 유량이 유지되고 있으며 농도 변화도 자연적 NO3-N 배경 수준 이내에서 나타난다(Medison and Brunett, 1985). 한편, 지표수 시료 S4는 하천수 가운데 가장 높은 NO3-N 농도를 보였으며, 인근에 탐조대가 위치하고 다수의 철새가 관찰된 점을 고려할 때 철새도래지 영향이 반영된 것으로 판단된다(Fig. 4b). 또한 S4 채수 지점으로부터 약 1 km 떨어진 상류에 하수처리장이 위치하여, 하천수의 수질에 영향을 미칠 수 있다. 대전광역시 시설관리공단의 자료에 따르면 2025년 방류수의 총질소 농도는 9.3 mg/L로 보고되었다(DFMC, 2026). 총질소 농도는 질산성 질소, 아질산성 질소, 암모니아성 질소 및 유기질소의 합을 의미하나, 방류수가 S4 지점의 NO3-N 상승에 일부 기여할 가능성이 있다고 판단된다. 따라서 S4 지점의 수질은 철새를 포함한 조류와 하수처리장 방류수의 영향이 복합적으로 반영되었을 가능성이 있다. 이에 대해서는 향후 하수처리장 인근 하천수의 NO3-N 농도 분석을 추가하여 수질 특성에 관하여 보다 상세한 연구를 수행하고자 한다.
다음으로, 보존성을 가져 오염 지시 인자로 활용되는 염소이온(Cl-)과 NO3-N의 농도 분포를 풍수기-갈수기 및 도심-농촌지역으로 구분하여 버블 차트로 제시하고, 토지피복 특성에 따른 오염 영향을 평가하였다(Fig. 5). 두 인자는 모두 연구지역 중심에 위치한 도심지에서 상대적으로 높은 값을 보이며, 외곽으로 갈수록 낮아지는 경향을 보인다. 질산성 질소는 강우에 따른 희석 효과로 풍수기에 전반적으로 낮은 농도 분포를 보이지만, 일부 지점에서는 국지적으로 높은 농도가 확인되었다. 생활하수 및 농업 활동 등 인위적 기원의 영향을 받는 염소이온 역시 갈수기에 농도가 증가한 것으로 해석된다. 이러한 두 인자의 유사한 변화 양상은 강우의 영향으로 인해 오염인자의 희석과 비점오염원으로부터의 추가적인 유입이 억제되고 있음을 보이며, 이런 이유로 연구지역은 인위적 오염인자의 영향이 갈수기 지표수 및 지하수의 수질에 상대적으로 더 크게 영향을 미치는 것으로 해석된다.
3.2. 시기별 수질 영향인자
갈수기에는 하천 유량이 감소하고 대체 수원으로서 지하수의 농업용수 기여도가 증가하며, 전반적으로 염류 농도가 상승하는 경향을 보인다(Koo et al., 2022). 반면 풍수기에는 강수 및 상류 유출수의 유입으로 하천 유량이 증가하여 지표수 이용 비중이 상대적으로 높아지지만(Kim et al., 2000), 도로 및 토양 등 다양한 기원의 비점오염원이 함께 유입되어 하천 및 지하수 수질에 영향을 줄 수 있다. 특히 상류 하천수는 농번기에 빠르게 고갈되는 특성이 있어, 주요 수원과 수질 영향 인자는 시기별로 차이를 보일 것으로 예상된다. 이러한 차이를 비교하기 위해 지표수와 지하수의 시기별 주요 이온 성분 변화를 Fig. 6에 도시하였다.
풍수기(하늘색 박스)에 비해 갈수기(연두색 박스)의 지하수에서 F-, Cl-, Ca2+, Na+, SiO2 농도의 중앙값 분포가 전반적으로 더 높게 나타났다. 이는 강수량이 적은 시기에 지하수 내 염류 농도가 증가하며, 농업용수 활용 적합성 또한 변동될 수 있음을 시사한다. 한편 지표수의 경우 풍수기(주황색 박스) 대비 갈수기(빨간색 박스)에 F⁻의 농도 분포 범위는 확장되었으나, Ca2+, K+, Mg2+는 농도 분포 범위가 축소되는 경향을 보였다. 갈수기 지표수의 Na+, Cl-, NO3-N 농도는 뚜렷한 변화를 보이지 않았으나, F⁻와 같은 지질 기원 성분의 상대적 영향이 증가한 것으로 나타나 갈수기에는 기저유출 지하수가 하천수 수질 형성에 중요한 역할을 하는 것으로 해석된다. 지표수와 지하수는 채수 시기와 관계없이 수체별 SiO2 농도 범위가 명확히 구분되는 특성을 보였다. 기반암의 물–암석 반응에서 기원한 것으로 추정되는 Sr2+은 Ca2+, Mg2+와 대체로 유사한 거동을 보이는 것으로 보고된 바 있다(Choo et al., 2009; Lee and Kim, 2010). 이 연구에서도 기반암 기원 성분(F⁻, Sr2+, SiO2)은 지하수에서 계절적 변화가 보이나 비교적 일정한 농도 범위를 유지하는 것으로 나타났다. 반면 갈수기 지표수에서는 Ca2+과 Sr2+의 농도 범위가 축소되는 경향이 나타났다. 이러한 결과는 기반암 특성을 반영하는 지하수의 유출이 갈수기 지표수 수질에 상당 부분 기여하고 있음을 뒷받침한다.
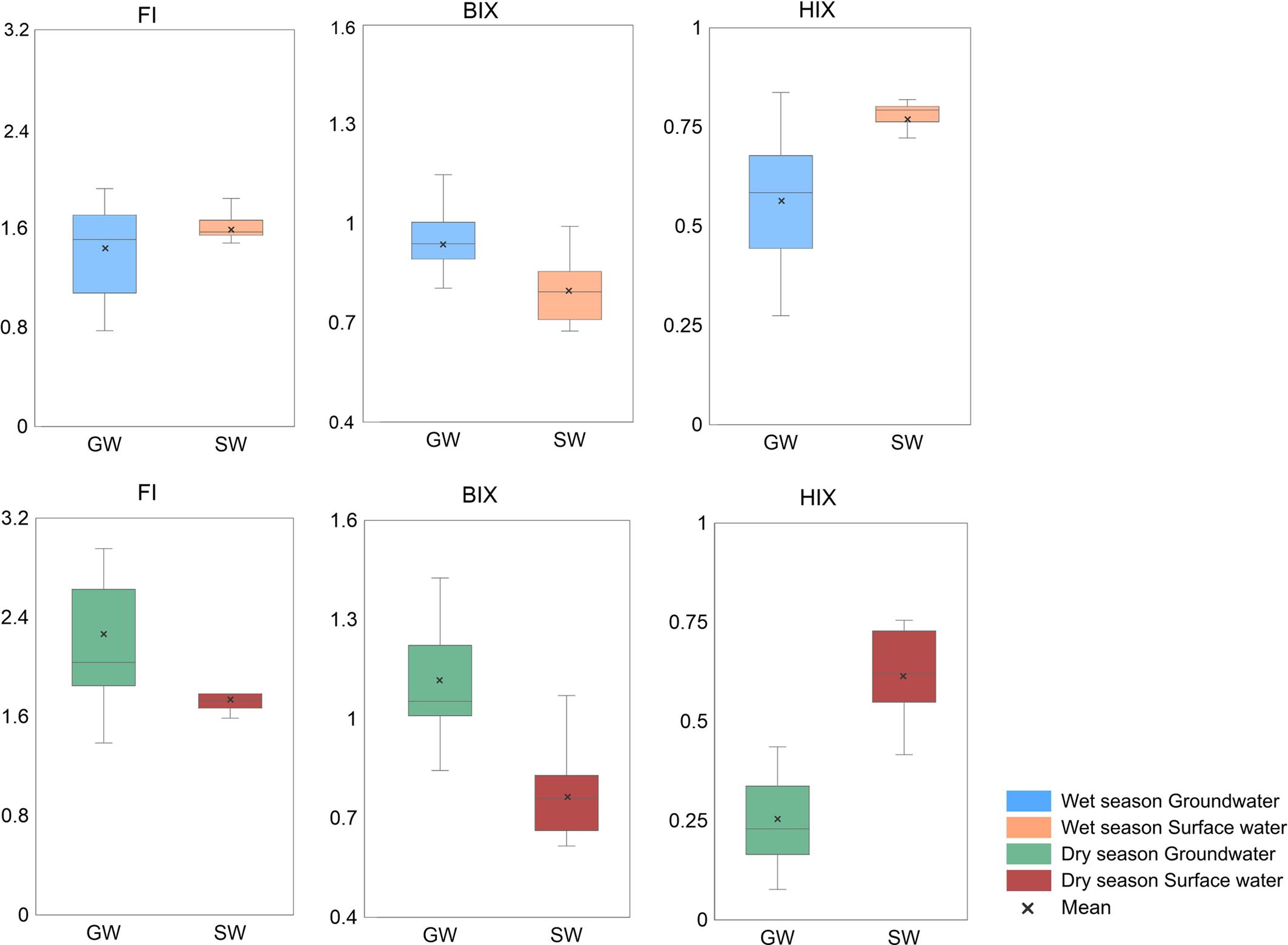
용존유기물은 다양한 분자량과 작용기를 가진 비균질 혼합체이다. 자연 기원 유기물은 생성 지역의 토지이용 유형에 따라 구조적 특성이 달라지며, 크게 난분해성·고분자성의 휴믹 물질과 친수성기가 풍부한 생물학적 기원의 비휴믹 물질로 구분된다(Hur et al., 2006). DOM을 활용하여 지표수–지하수 혼합, 거동 특성 및 생성 기원을 추적하는 연구가 지속적으로 수행되어 왔다(Coble et al., 1990; Hur et al., 2006; Murphy et al., 2014). DOM은 기원에 따라 조류(algae) 혹은 박테리아의 생산 및 분해 과정에서 형성되는 자체생성(autochthonous) 유기물과, 식물 잔해 및 토양 유기물 분해에 기원한 외부생성(allochthonous) 유기물로 구분된다. 이 연구에서는 형광 DOM 분석을 수행하였으며, 그 결과를 Fig. 7에 도시하였다. 형광지수(FI, fluorescence index)는 육상기원과 미생물기원 DOM을 구분하는 지표로, 1.7 미만일 경우 육상기원 유기물과 방향족 유기탄소 비중이 높고, 1.7 이상일 경우 미생물 기원 비중이 높으며 방향족 유기탄소의 함량이 상대적으로 낮음을 의미한다. 생물지수(BIX, biological index)는 생물학적 활동에 의해 생성된 유기물의 기여도를 나타내는 지표로, 값이 1보다 클 경우 비교적 최근에 생성된 유기물이 풍부함을 의미한다. 휴믹지수(HIX, humification index)는 유기물의 부식화 정도를 나타내는 지표로, 값이 0.8에 가까울수록 유기물이 미생물 분해를 거쳐 보다 안정적인 휴믹 물질로 전환된 비율이 높음을 시사한다(Huguet et al., 2009). 연구지역의 지표수는 풍수기와 갈수기 모두에서 기원 특성이 혼합된 양상을 보이며 계절 간 차이가 크지 않은 반면, 지하수는 시기에 따라 기원 특성이 비교적 뚜렷하게 구분된다. 특히 갈수기(연두색 박스)의 지하수는 풍수기(하늘색 박스)에 비해 미생물 기원 지표(FI)가 높고, 신선한 유기물 지표(BIX) 또한 증가한 반면, 상대적으로 안정된 휴믹 물질의 비중(HIX)은 감소하는 경향을 보였다(Fig. 7). 이는 강수 침투에 따른 토양 기원 휴믹 물질의 유입이 감소하고, 대수층 내 미생물 활동에 의해 생성된 자체생성(autochthonous) 유기물의 상대적 기여도가 증가한 결과로 해석된다(Fig. 8).
3.3. 농업용수 활용성 평가
국내 지하수 수질환경기준은 일반오염물질과 특정유해물질로 구분되며, 용도별 활용 목적에 따라 기준값이 제시되어 있다(MOE, 2025). 이 가운데 세균류와 휘발성 유기화합물은 생활용수 기준만 제시되어 있으며, 농업용수에 대한 별도 기준은 마련되어 있지 않다. pH의 경우 생활용수 기준은 5.8–8.5, 농업용수 기준은 6.0–8.5로 다소 차이를 보이나 전반적으로 유사한 범위에 해당한다. 일부 항목에서는 용도별 기준값에 차이가 존재하지만, 이 연구에서 평가한 주요 수질 인자들은 용도별 기준이 대체로 유사하거나 동일한 수준이다. 이 연구는 해당 수질 인자들을 기반으로 제안된 농업용수 활용 적합성을 평가하였으므로, 연구지역과 같은 도농복합지역에서 생활용수로 수자원을 활용하고자 할 때에는 세균 및 휘발성 유기화합물 기준을 만족하는지 반드시 추가적인 조사가 필요할 것이다.
농업용수 적합성 평가는 나트륨 흡착비(sodium adsorption ratio, SAR), 나트륨 백분율(sodium percentage or sodium hazard, Na%), 그리고 잔류 탄산나트륨(residual sodium carbonate, RSC)를 주요 지표로 적용하였다. 세 계산식 모두 주요 이온 농도는 당량농도(meq/L)로 변환하여 계산하였다. 나트륨 흡착비(SAR)는 교환성 나트륨이 토양 내 칼슘 및 마그네슘과 이온 교환을 일으켜 토양 입자 분산과 투수성 저하를 유발하는 특성을 정량적으로 평가하는 지표이다. 이에 따라 SAR은 토양 교환성 양이온 자리에서 Na⁺가 Ca²⁺, Mg²⁺와 얼마나 경쟁하는지를 나타내며, 토양입자의 분산(dispersion) 영향을 평가하는 대표적인 지수로 활용된다. 계산식은 다음과 같다(Richards, 1954):

계산식 (1)과 EC 측정값을 이용하여 시료를 분류하면 Fig. 9와 같은 다이어그램(United States Salinity Laboratory, USSL chart)을 작성할 수 있다(Richards, 1954; Wilcox, 1955).
EC는 물에 용존된 이온 농도에 따른 전기 전도 능력을 나타내는 지표로, 작물 생장에 중요한 영향을 미친다. EC가 증가할수록 식물이 이용 가능한 수분량이 감소하므로, 일반적으로 EC가 750 μS/cm 이상인 물은 관개용수로 부적합한 것으로 평가된다(Joshi et al., 2009). 연구지역 시료의 EC 평균값은 풍수기 265 μS/cm, 갈수기 289 μS/cm로, 전반적으로 양호한 수준을 보인다.
USSL차트에서 C1은 대부분의 작물과 토양에 사용할 수 있는 낮은 염도 수준, C2는 적절한 침출이 있을 때 사용 가능한 수준, C3은 배수가 제한된 토양에서 사용이 어려운 수준, C4는 일반적인 관개용수로 부적합한 수준으로 구분된다. 한편, S1은 대부분의 토양에서 교환성 나트륨 축적 가능성이 있으나 투수성이 양호한 조립질 또는 유기질 토양에서는 제한적으로 사용할 수 있다. S3는 대부분의 토양에서 교환성 나트륨이 문제 수준까지 증가할 수 있어 석고 처리 등 토양 관리가 필요하며, 내염성 작물 재배에만 활용할 수 있다. S4는 염분 위험이 매우 커 일반적인 관개용수로는 부적합한 등급이다(Gupta et al., 2009). Fig. 9의 EC–SAR 분포는 C1–S1 (45%), C2–S1 (55%)로 구분된다. C1–S1 등급은 농업용수로 사용하는데 제약이 거의 없는 수준이며, C2–S1 등급은 낮은 나트륨 위험과 중간 염도를 가지나, 일정 수준의 침출이 이루어질 경우 사용 가능하다(Pazand and Javanshir, 2014). 따라서 연구지역의 지표수 및 지하수는 계절과 관계없이 대부분 C1–S1, C2–S1 구간에 분포하여, 교환성 나트륨의 축적에 의한 염해 위험도가 낮고 농업용수로서 비교적 안전하게 사용할 수 있을 것으로 판단된다.
SAR 계산이 토양 입자 교환 반응 기반의 물리적 분산 위험 지표를 나타내는 것에 비해, 나트륨 백분율(Na%)은 전체 양이온 중 Na⁺가 차지하는 상대적 비율을 의미하며 다음과 같이 나타낸다:

Na%가 높은 물을 농업용수로 사용하게 되면 작물 생장이 저해되고, 토양의 투수성이 감소할 수 있으므로 이 식은 관개용수로서 적합성을 평가하는 중요한 지표로 사용된다(Todd, 2004). Na%와 EC값을 사용해 농업용수 적합성을 평가하는 윌콕스 도표(Wilcox diagram)에 도시한 결과, 연구지역 시료는 전반적으로 농업용수로 사용하기에 우수~매우 우수한 수질 범위에 해당하는 것으로 구분되었다(Fig. 10).
관개용수의 지속적 사용이 이뤄지는 동안 수체 및 토양에서는 용존 중탄산이온(HCO3-, CO32-)이 Ca²⁺ 및 Mg²⁺와 반응하여 탄산염 형태로 침전되며 이들 이온의 농도가 감소하고, 상대적으로 Na+의 비율이 증가할 수 있다. 이와 관련한 토양 안정성 및 나트륨 위해성을 평가하기 위해 다음과 같이 RSC 계산을 수행하였다(Richards, 1954):

계산식 (3)의 결과가 2.5 이상의 값을 가지면 해당 수질은 농업용수로서 사용하기 부적합한 것으로 분류된다. RSC의 결과는 단일지표로서 고려되며 Table 2와 같이 excellent(매우 안전하게 사용 가능), good(일반적으로 사용 가능), unsuitable(토양구조 악화로 부적합)로 분류한다(Richards, 1954). 연구지역 시료는 모두 Excellent 범위에 분포하며, 이는 모든 시료가 농업용수로써 장기적으로 활용 가능함을 의미한다. 특히 CO32-과 HCO3-이 Ca2+와 Mg2+보다 적고, Ca2+, Mg2+ 침전이 거의 없으므로 갈수기에도 토양 안정성이 유지될 것으로 판단된다. 따라서, 연구지역의 지표수 및 지하수는 계절적 변동과 무관하게 관개용수로 적합한 수질 기준을 충족하였으며, 토양 염류 농축에 미치는 영향도 미미한 것으로 평가되었다. 이러한 결과는 도농복합 지역 특성에도 불구하고 오염물질의 수계 유입이 효과적으로 관리되고 있음을 보여준다.
|
Fig. 3 Piper diagram showing groundwater and surface water by season. |
|
Fig. 4 (a) Nitrate nitrogen (NO3–N) concentration in groundwater and surface water samples by season. (b) Migratory bird habitat near the S4 sampling site, with bird locations indicated by black circle. The red dashed line indicates the Korean drinking water standard for NO3–N. |
|
Fig. 5 Bubble chart map showing the spatial distribution of Cl⁻ and NO3-N concentrations grouped by wet/dry seasons and urban/ agricultural areas. |
|
Fig. 6 Box plots showing ion concentrations in groundwater and surface water for the wet and dry seasons. |
|
Fig. 7 Box plots of DOM parameters (FI, BIX and HIX) for groundwater and surface water during the wet and dry seasons. |
|
Fig. 8 Relationship between HIX and BIX of groundwater and surface water samples by seasons. |
|
Fig. 9 SAR–salinity diagram for the classification of seasonal groundwater and surface water samples. |
|
Fig. 10 Na%–EC (Wilcox) diagram showing suitability for irrigation water. |
|
Table 2 Irrigation water suitability classification based on RSC by wet and dry seasons |
이 연구는 도농복합도시인 대전광역시를 대상으로 풍수기와 갈수기 동안의 지하수 및 지표수 수질 특성을 공간적으로 분석하고, 농업용수로서의 활용 가능성과 시기별 수질 영향 인자를 종합적으로 평가하였다. 연구 결과, 지하수는 기반암 특성이 반영된 수질이 계절과 관계없이 비교적 안정적으로 유지되었으며, 주요 이온 조성이 지표수와 유사하게 나타나 지표수–지하수 간 수문학적 연결성이 높은 것으로 판단된다.
지하수의 NO3-N 농도는 계절적 변동성이 크지 않았으나, 지표수에서는 풍수기와 갈수기 간 농도 차이가 뚜렷하게 나타나 강우 및 오염인자들의 영향을 보다 직접적으로 반영하는 경향이 확인되었다. Cl⁻과 NO3-N은 도심 지역에서 상대적으로 높은 농도를 보여 인위적 오염의 영향이 존재함을 시사하였으며, 이러한 경향은 갈수기에 더욱 강화되었다. 또한 갈수기에는 지하수의 염류 농도가 전반적으로 증가하는 양상이 관찰되었는데, 이는 지속적인 비점오염 성분 유입과 강수 감소에 따른 희석 효과 약화에 기인한 것으로 해석된다. 한편, 지표수에서는 갈수기에 지질기원 성분의 상대적 기여도가 증가하여, 기저유출 지하수가 하천 유량 유지와 수질 형성에 중요한 역할을 수행함을 확인하였다. 기반암 기원 지시인자인 F⁻, Sr2+, SiO2의 특성은 외부 오염 물질의 유입 경로와 기여도를 구분하는 데 유용한 지표로 활용될 수 있다.
형광용존유기물(DOM) 분석 결과, 지표수는 계절에 따른 기원 특성 변화가 크지 않은 반면, 지하수는 계절별 차이가 비교적 뚜렷하게 나타났다. 갈수기 지하수에서는 최근 생성된 미생물 기원 유기물의 비중이 증가하고, 휴믹화된 안정 유기물의 비율은 감소하는 경향을 보여, 수문 조건 변화에 따른 유기물 기원의 변동 가능성을 시사한다.
농업용수 적합성 평가에서 SAR, Na%, RSC 지수를 적용한 모든 분석 결과, 연구지역 수자원은 전반적으로 양호한 등급을 나타냈다. 교환성 나트륨에 의한 토양 구조 악화 위험은 낮은 수준으로 평가되었으며, Wilcox 도표와 RSC 분석에서도 대부분의 시료가 농업용으로 활용하기에 적합한 범위에 속하였다. 장기간 사용 시에도 토양 투수성 및 작물 생육에 미치는 부정적 영향 가능성이 낮아 관개용수로서의 지속적 활용이 가능할 것으로 판단된다. 이는 도농복합 지역이라는 특성에도 불구하고 오염물질의 수계 유입이 계절적 변동과 관계없이 비교적 효과적으로 관리되고 있음을 시사한다.
종합적으로 연구지역의 지표수와 지하수는 양호한 수질 특성을 보이며, 농업 및 생활용수로 활용 가능성이 높은 것으로 평가된다. 다만 보다 정밀한 수질 관리 기반을 마련하기 위해서는 향후 다양한 농업지역과의 비교 연구 및 오염원별로 세분화된 분석을 통해 오염 기여도를 정량화하고, 도농복합 지역에 특화된 수자원 관리 전략을 구체화할 필요가 있다.

Appendix 1. Map of the study area with sampling sites in urban and agricultural areas.
이 논문은 한국지질자원연구원에서 수행하고 있는 주요사업 “지속가능한 지하수 최적 활용·보전관리 고도화 기술 개발(26-3411)”의 지원을 받아 수행하였습니다.
This Article2026; 31(1): 28-40
Published on Feb 28, 2026
Services
Correspondence to1Geo-Environment Research Division, Korea Institute of Geoscience and Mineral Resources, Daejeon 34132, Korea
2University of Science and Technology, Geological Science, Daejeon 34113, Korea