
Byung Sun Lee1·Wooho Myoung1·Sebong Oh2·Seong-Chun Jun3·Jize Piao4·Sung-Ho Song1*
1Rural Research Institute, Korea
Rural Community Corporation
2Gyeoungnam Regional Headquarter, Korea Rural Community Corporation
3Geogreen21 Co., Ltd.
4Dept. of Earth System Sciences, Yonsei Univ.
이병선1·명우호1·오세봉2·전성천3·박길택4·송성호1*
1한국농어촌공사 농어촌연구원
2한국농어촌공사 경남지역본부
3(주)지오그린21
4연세대학교 지구시스템과학과
This study was conducted to examine an artificial recharge system, which
was considered to be an alternative for securing additional groundwater
resources in a high-density greenhouse region. An injection well with a depth
of 14.0 m was placed in an alluvial plain of the zone. Eight
monitoring wells were placed in a shape of dual circles around the injection
well. Aquifer tests showed that the aquifer was comprised with high-permeable
layer with hydraulic conductivities of 1.5×10-3~2.4×10-2 cm/sec and
storage coefficients of 0.07~0.10. A step
injection test resulted in a specific groundwater-level rising (Sr/Q) values of
0.013~0.018 day/m2 with 64~92% injection efficiencies. Results of the constant-rate injection test
with an optimal injection rate of 100 m3/day demonstrated an enormous storage capacity of the
alluvial aquifer during ten experimental days. To design an optimal recharge
system for an artificial recharge, the high-permeable layer should be isolated
by dual packers and suitable pressure should be applied to the injection well
in order to store water. An anisotropy ratio of the alluvial aquifer was
evaluated to be approximately 1.25 : 1 with an
anisotropy angle of 71 degrees, indicating intervals among injection wells are
almost the same.
Keywords: Artificial recharge system, Greenhouse facilities, Injection well design, Anisotropy ratio
시설농업은 유리온실, 비닐하우스 등에서 재배환경(기온, 용수량)을 조절하며 작물을 생산하는 농업의 일종으로서, 시설농업단지에서는 농가 소득향상을
위하여 채소류(호박, 오이, 토마토, 파프리카, 풋고추, 가지 등), 과실류(딸기, 수박, 참외, 멜론 등), 화훼류, 기타 작물(버섯 등) 등 부가가치가
상대적으로 높은 작물을 재배한다. 시설농업 작물은 연중 수요가 끊이지 않기 때문에, 농업분야 개방화 시대에 있어 농가의 경쟁력 확보, 농산물 수출을
위한 필수 육성산업으로 분류된다. 우리나라의 총 농지면적은 1990년 약 211만 ha에서 2018년 약 160만 ha로 지속적으로 감소된 반면,
시설농업지역 면적은 1980년 약 7천 ha, 1990년 약 25천 ha, 2018년 약 38천 ha로 증가하였다(KOSIS, 2019). 이러한
시설농업지역의 면적은 국내 전체 농지면적의 약 2~3% 수준인 반면, 농업생산성(2017년
현재)은 전체 농업(48조 2천억원)의 약 10%(4조 9천억원)로 타 농작물에 비해 성장잠재력 큰 산업으로 분류된다(KREI, 2019).
시설농업 작물은 생육조건상 청정 수질의 용수가 필요하기 때문에, 하천수에 비해 상대적으로 수질이 양호한 지하수가 주로 이용되고 있다.
이와 더불어, 겨울철 비닐하우스를 이용한 시설농업에서는 양수한 지하수를 비닐하우스 표면에 분사하여 수막을 형성, 겨울철 낮은 외부기온이 비닐하우스
내부로 영향을 미치는 것을 차단하여 비닐하우스 내부의 온도를 보전하는 수막재배 방식으로 농작물을 생산한다. 따라서 비닐하우스를 이용한 시설농업에서는
막대한 양의 지하수를 이용함에 따라, 시설농업단지는 지하수 확보가 용이한 한강, 낙동강 등 대규모 하천 주변 평야에 집중되어 있다(MAFRA
and KRC, 2015).
그러나 수막재배 방식의 시설농업은 비닐하우스의 열손실을 최소화하는 효과가 있지만, 대수층 조건에 따라 지하수 과잉양수에 따른 급격한
지하수위 저하가 발생할 가능성이 있다. 2015년 전국 10 ha 이상 총 323개 지구 시설농업단지(총면적 18,936 ha)에 대한 조사 결과,
약 68%인 219개 지구에서 수막재배에 필요한 지하수 수량이 부족한 것으로 나타났다(MAFRA and KRC, 2015). 특히 대규모 시설농업단지(면적
50 ha 이상, 비닐하우스 밀집도 50% 이상인 130개 지구)에 대한 분석 결과, 75%인 98지구에서 지하수 수량이 부족한 것으로
분석되었다.
인공함양(artificial recharge)은 강수, 하천수 및 하수 재처리수 등의 수자원을 확보하여, 관정, 인공함양 분지 및 습지,
수로, 우수 침투시설 등을 이용한 대수층 주입으로 양질의 지하수를 추가로 확보하는 방법이다(MST and K-water, 2004). 인공함양
기술은 지하수관리기본계획 수정계획(2017~2026)에서「지속가능한
지하수 활용으로 국민의 삶의 질 향상과 물복지 실현」을 목적으로 지하수 부족 문제 해결을 위한 주요 수단으로 지정한 바 있다(MOLIT,
2017).
국내에서는 집중호우 시 바다로 흘러나가는 하천유출수를 하천변 저류지로 유입시켜 지하수 함양을 유도하는 제주 한천저류지 인공함양 시설(KIGAM,
2011), 강변여과수를 취수하여 관정을 통해 대수층으로 주입하는 방법(KRC, 2014), 대수층 특성에 따른 융복합형 인공함양 증진 및 관정주입
방법(MSIT and KIGAM, 2013), 수막재배지에서 운영되었던 대수층 순환식 수막재배 방법(Moon et al., 2016) 등이 대표적이다.
외국의 경우에는 미국 서부, 동부 및 남부(플로리다 주)의 여러 지역에서 인공함양 시설 중 오리건 주에서의 관정 주입방식을
이용한 현무암 대수층 내 지하수 저장 및 회수 이용 시설이 대표적이다(Kim et al., 2003). 네덜란드에서는 1900년대 초부터 인공함양을
이용한 지하수 함양 및 이용을 시도해 왔으며, 최근에는 연간 약 1,100백만 m3/year의 생활용수 생산을 위하여, 총 39개 인공함양 시설을 운영 중이다(Stuyfzand,
2016). 스페인의 바르셀로나에서는 인공함양 대상 대수층의 투수량 계수가 매우 높고(최대 40,000 m2/day) 인공함양 주입수가 매우 낮은 탁도(<1 NTU)를 꾸준히 유지하는
상태로, 1970년대 초반부터 현재까지 대수층 저장 및 회수 12개소를 활발하게 운영 중이다(Hernández et al., 2015). 인도의 자와하리알 네루 기술 대학(Jawaharial
Nehru Technological Univer- sity)에서는 옥상 빗물 수집을 통한 대수층 인공 함양 연구의 일환으로, 3개 빗물
수집시설(용량 100 m3/facility)을 이용한 대수층 인공함양으로 2012~2013년 기간 동안 약 5,044 m3의 추가 지하수를 확보한 바 있다(Rao and Giridhar,
2014).
이 연구에서는 대수층 산출능력에 비해 지하수를 과다하게 사용하고 있는 국내 대표적인 시설농업지역을 대상으로, 이 지역 지하수 공급 부족
문제 해결을 위한 대안으로 최적의 인공함양 방안을 수립하기 위하여 수행되었다. 이를 위해 연속주입방법을 이용한 인공함양 실증시험을 실시하여 최적의
주입수량을 평가하고, 관측공의 수위증가 분석을 기반으로 주입수에 대한 대수층의 완충능력을 평가하고자 하였다. 또한 인공함양 주입수의 대수층 분산에
대한 해석으로 인공함양으로 인해 상대적으로 물이 풍부해지는 지역과 그렇지 않은 지역을 구분하여 향후 인공함양 실시설계의 기초자료로 활용하고자 하였다.
연구지역은 낙동강 지류인 남강의 퇴적범람원에 위치한 시설농업단지로, 시설재배용 비닐하우스는 2014년 기준 총 2,242동이 설치되어
있다(Fig. 1). 전체 면적은 약 2.56 km2(시설재배 2.2 km2, 노지재배 0.22 km2, 도로 및 기타 0.13 km2)으로, 비닐하우스 재배작물은 주로 애호박(41.8%), 청량·꽈리고추(16.2%), 파프리카(15.7%),
딸기(9.7%), 피망(7.0%) 등이다(KRC, 2017).
연구지역 32개 지점의 시추자료 분석 결과, 지층은 지표로부터 매립층(층후 약 0.4~1.2 m), 충적층(층후 약 9.2~13.2 m), 풍화토(층후 약 0.3~2.5 m), 풍화암(층후 약 0.3~1.0 m) 및 흑색셰일이 주를 이루는 암반층(지층명 진주층)으로 구성된다. 주대수층인 충적층의 수리전도도는
현장 투수시험 결과 10-4~10-3 cm/sec 범위로 분석되었다(KRC,
2017).
지하수 용도는 작물 재배 용수와 겨울철 비닐하우스 수막에 필요한 용수로 구분되며, 지하수 공급 가능량에 대한 평가없이 연구지역 전체적으로
지하수 양수가 이루어지고 있다. 특히 겨울철 수막용수 공급을 위한 집중적인 양수로 인하여, 연구지역 인근(진주시 수곡면 효자리)에 설치된「진주2」관측공의
지하수위는 동절기 마다 반복적으로 약 20 m 하강하고 있다(Fig.
2)(MAFRA and KRC, 2018). 연구지역의 관정 개소수는 2017년 현재 315개소(신고공 313개소, 허가공 2개소)로, 대부분
시설재배에 이용되고 있다. 이 중 수막재배를 하는 겨울철 4개월(11월~2월)동안 하루 평균 14시간 양수(관정별 일평균 이용량 약 117 m3/day/well)로, 전체 관정의 일평균 이용량은 약 37,000 m3/day이다. 이는 연구지역 일평균 함양량(약 27,468 m3/day)의 약 135%로, 겨울철 수막재배 기간 동안 대수층의 공급
능력에 비해 많은 양의 지하수를 양수하는 것으로 분석되었다. 따라서 연구지역에 대한 겨울철 지하수 부족 문제 해결을 위한 최적의 인공함양 방법이
요구되었다(KRC, 2017).
|
Fig. 1 Schematic view of the study area: (upper) geologic map of the study area, (middle) a location of a field-test site within high-density greenhouse facilities area, (lower) locations of a injection well and observation wells to monitor groundwater levels during an artificial groundwater storage and recovery test (modified after Lee et al., 2019). |
|
Fig. 2 Periodic declines of (upper) groundwater levels and (middle) EC (electric conductivities) values and (lower) temperatures monitored from「Jinju 2」agricultural groundwater monitoring well during every winter season due to excessive pumping in order to make water-curtain on the surface of greenhouses (modified after KRC, 2018). |
3.1. 인공함양 실증시험 시설 설치
최적의 인공함양 방법 도출을 위하여 연구지역 내 실증시험 부지에 관정주입형 인공함양 주입공 1개소(관정 심도 14.0 m, 관정 구경 100 mm, 투수성 유공관 심도
3.0~14.0 m)와 평균 간격이 7 m인 관측공 8개소(관정
심도 12.0 m, 구경 50 mm, 투수성 유공관 심도
3.0~14.0 m)를 설치하였다(Fig. 1). 주입공의 지표
노출부에는 압력계 및 유량계를 설치하여 실증시험 기간 동안 압력과 유량을 측정할 수 있도록 하였고, 주입수가 주입공 상부로 넘치지 않도록 우회배관(bypass
pipeline)을 설치하였다. 관측공에는 자동수위계측기를 설치하여 시험에 따른 수위변화를 계측하였다. 인공함양 주입수 취수를 위한 관정은 실증시험
시설로부터 약 200 m에 위치한 충적관정(취수량 125 m3/day)을 선정하였다. 실증시험은 수막재배가 시작되는 겨울철 이전
기간에 관정에서 취수된 지하수를 직경 40 mm 배관을 통해 주입공으로 주입하는 방법으로 시행되었다.
3.2. 순간수위 변화시험
순간수위 변화시험(slug test)은 단일 관측공을 이용하여 주변 대수층의 수리전도도를 산출하는 시험(Fetter, 2001)으로,
실증시험 시설이 설치된 충적대수층의 수리전도도값과 불균질성을 판단하기 위하여 실시하였다. 총 9개 시추공(주입공 1, 관측공 8)에 대하여 1 L 용량의 더미(dummy)를
이용한 주입 및 추출 방법을 병행하였으며, 시험결과는 자유면대수층에 대한 Bouwer and Rice (Bouwer and Rice, 1976) 방법을 이용하여 해석하였다.
3.3. 최적 인공함양 주입수량 결정
인공함양 실증시험 이전 단계에 주입공의 최적 주입수량을 결정하기 위하여 단계양수시험의 원리를 변형한 단계주입시험을 실시하였다. 단계양수시험은
관정의 최대 토출량 확인을 위한 시험으로, 단계별로 양수량을 증가시키며 주변에 위치한 관측공에서 수위 강하량을 측정하는 대수층 시험의 일종이다.
연구지역에 대한 단계주입시험은 지하수 주입수량을 단계별로 3시간씩 총 6단계(20, 40, 60, 80, 100, 125 m3/day)로 증가시키며 수위 변화량과 함께 최대 주입량을 산정하였다. 이때 지하수위 증가량은 주입공 1개소 및 관측공 8개소(OW-01,
02, 03, 04, 05, 06, 07, 08)에서 각각 측정하였다. 단계주입시험의 해석은 Jacob(1947) 방법을 변형하여 해석하였으며,
마찬가지로 Bierschenk(1963)의 방법을 변형하여 비수위상승량(Sr/Q, 수위상승량/주입량) 자료와 주입량의 관계로부터
B(대수층 수두손실 계수), C(우물 수두손실 계수)를 계산하고 최적 주입수량을 결정하였다. 여기에서 Sr은 수위 상승량,
Q는 주입량이다.
3.4. 인공함양 실증시험
인공함양 실증시험은 단계주입시험에서 결정된 최적 주입량을 10일 동안 연속 주입과 동시에, 각 관측공에서의 지하수위 변동 및 추가 지하수
확보량을 분석하였다. 또한 실증시험 기간 동안 각 관측공의 지하수위 변동자료를 이용하여 충적대수층의 투수량 계수(transmissivity,
T), 저류계수(storativity, S)를 산출하였다. 이를 위하여 자유면대수층에 대한 Theis(1935)의 부정류 양수해석 방법을 적용하였으며,
이 때 양수량(Q)을 주입량으로, 수위 강하량(s)을 수위 상승량으로 고려하였다.
인공함양된 물이 충적대수층 내 이방성에 의해 유동되는 방향을 살펴보기 위하여, 투수량계수를 이용한 이방성 타원체를 제시한
TENSOR2D(Malisa and Randolph, 1986) 프로그램을 이용하였다.
그리고 인공함양 실증시험으로 산출한 투수량계수 값과 TENSOR2D 모델에서 산출한 각 관측공의 방향투수량계수(Td) 값을
비교하여 이방성 타원체 해석의 타당성을 확인하였다. 아래 (식 1)에서 ξ와 η는 각각 x, y 좌표축에서 θ 각도만큼 기울어진 이방성 타원체의 좌표축이고,
및
는 이방성 타원체의 최대 및 최소 축의 길이이며, Txx, Tyy,
Txy 는 x, y 좌표축에서 x 방향, y 방향, x-y의 대각선 방향의 투수량계수이다.

그리고, x, y 좌표축과 이방성 타원체 ξ, η 좌표축의 각도(θ)는 아래의 (식 4)와 같다.

대수층의 이방성은 (식 2)와 (식 3)의 관계로부터 (식 5)와 같이 산정되고, 특정한 관측공에서의 방향 투수량계수(Td;
directional transmissivity at the observation well) 값은 (식 6))과 같다.
u는 Theis 우물함수의 상수, t는 시간, r은 관측공과 주입공 사이의 거리이다.

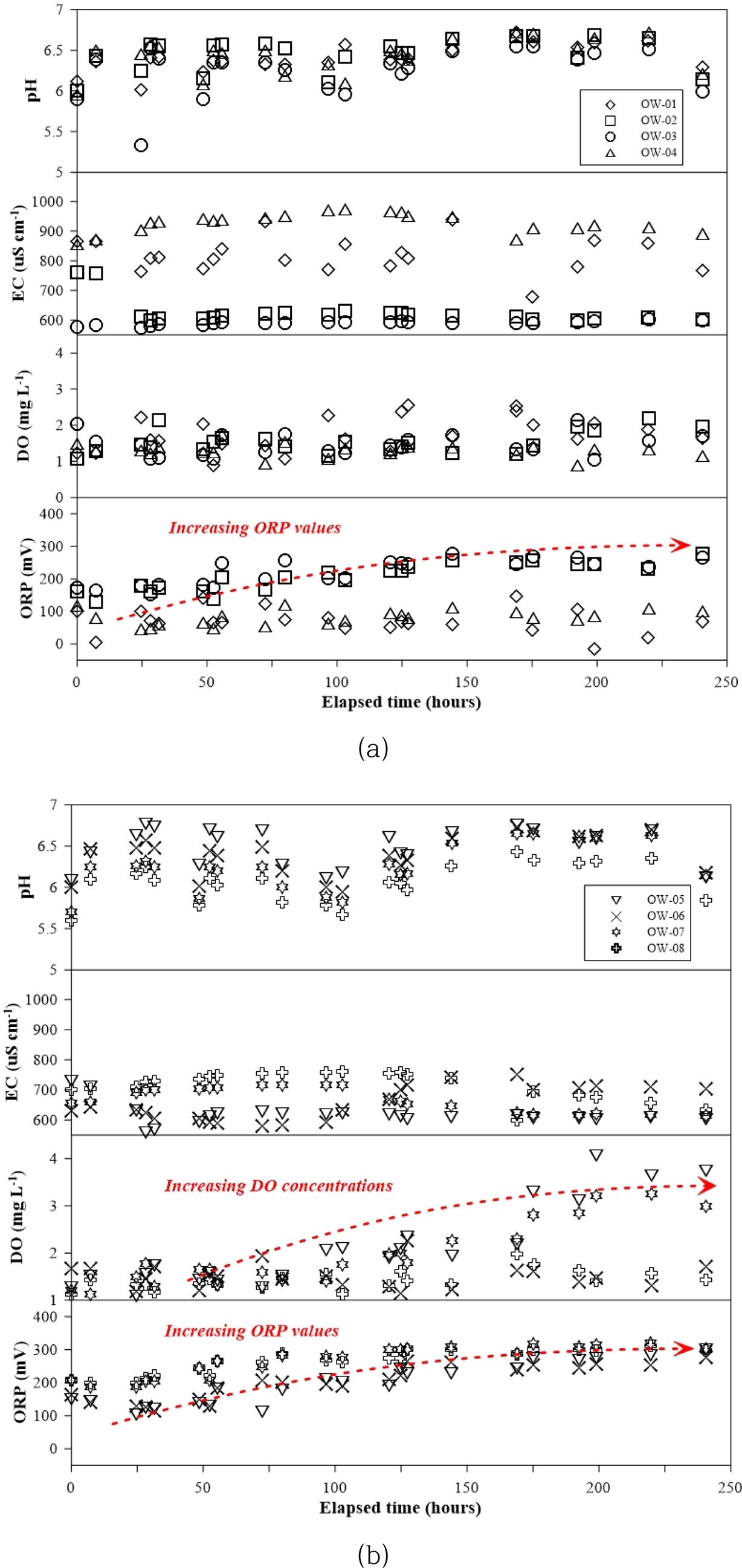
인공함양 실증시험 기간 동안 1일 1회 이상 주입공과 관측공에서 현장 수리물리특성(수소이온농도(pH), 용존산소(DO), 전기전도도(EC),
산화환원전위(ORP))을 측정(Orion 3-Star Plus, Thermo Scientific)하여 인공함양에 따른 수질 변화를 살펴보았다.
4.1. 충적대수층 수리특성 분석
실증시험 부지 내에 설치한 주입공(1개) 및 관측공(8개)에 대한 시추조사 결과 충적층은 상부 점토/실트층(두께 약
6.0 m), 중부 모래자갈층(두께 약 1.5~3.5 m), 하부 자갈층(두께 약 4.0~5.5 m)으로 구분되며, 주대수층은 중부 및 하부층(층후 약 6.0~9.0 m 범위; 이하「모래자갈/굵은자갈층」으로
명명)으로 분석되었다(Fig. 3). 따라서 실증시험 부지는 연구지역 전체의 충적대수층(평균 층후 12.6 m, 평균 모래자갈층 층후
4.7 m)에 비해 주대수층의 두께가 상대적으로 두꺼운 것으로 나타났다.
순간수위 변화시험에 의한 충적대수층의 수리전도도는 1.5×10-3~2.4×10-2 cm/sec, 인공함양 실증시험에 의한 수리전도도는 1.5×10-2~1.9×10-2 cm/sec 범위로 연구지역 전체 충적대수층의 수리전도도 범위(10-4~10-3 cm/sec; KRC, 2017)에 비해 약 10배 이상 크게 산출되었다. 저류계수는 0.06~0.12 범위로 나타났다(Table 1, 2). 순간수위변화 시험 이전 주입공 및 관측공의 자연수위는
대부분 지표 하 6.1~7.5 m(평균 7.0 m) 심도로, 투수성이 높은
모래자갈/굵은자갈층 구간(지표 하 6.0~14.0 m 심도)에 위치하였다.
더미 주입과 추출 시 주입공 및 관측공에서 측정된 수위 증가는 미량(0.1~0.7 m, 평균 0.3 m)에 불과하였고, 이에
따라 더미 주입에 의해 변화된 수위도 투수성이 높은 모래자갈/굵은자갈층 구간에서 발생하였다. 또한 주입공 및 관측공의 원래의 자연수위를 회복하는데
소요된 시간도 15~50 sec(평균 26 sec)로 상대적으로 빠른
것으로 나타났다. 인공함양 실증시험 시 관측공 8개소에서 10일간 측정된 공내 누적 수위 증가는 0.32~0.46 m 범위(평균 0.39 m)로 이 역시 투수성이
높은 모래자갈/굵은자갈층 구간에서 미량 증가함에 불과하였다. 결과적으로두 가지 시험에서 변동된 지하수량은 투수성이 높은 모래자갈/굵은자갈층에서
빠르게 완충되고 주변으로 이동하는 것으로 나타남에 따라, 수리전도도와 저류계수가 상대적으로 크게 나타난 것으로 판단된다.
4.2. 최적 주입량 분석
단계주입시험 중 주입공에서는 1단계 20 m3/day 주입(3시간) 시 공내에서 약 0.22 m의 수위가 상승하는 것으로
나타났다(Fig.
4). 이후 2, 3, 4, 5단계에서는 각각 0.36 m, 0.33 m, 0.34 m, 0.55 m의 수위가 상승하였고,
마지막 6단계(주입량 125 m3/day)에서는 약
1.98 m의 급격한 상승폭이 나타났다. 단계주입시험 기간 중 누적 수위 증가량은 총 3.78 m로, 1~5단계에서는 1.80 m 증가한 반면 6단계에서는
1.98 m 증가하였다.
단계주입시험 이전 주입공의 자연수위(약 6.6 m 심도)는 투수성이 높은
모래자갈/굵은자갈층 내에 위치하여 충적대수층은 자유면 대수층 조건을 유지하였다. 그러나 주입단계가 진행될수록 공내 수위가 상승하여 1, 2단계에서는
주입공 주변 모래자갈/굵은자갈층 구간(6.0~14.0 m 심도)이 대부분 포화되었고,
3단계 이후 부터는 공내 수위가 상부 점토/실트층(지표~6.0 m 심도)에 위치하게 되어
부분피압 조건으로 변경되었다. 주입공 주변의 대수층 조건이 자유면 대수층에서 부분피압 대수층으로 바뀜에 따라 5단계 공내 수위 증가(0.55 m)는 앞선 단계의 공내
수위 증가량(0.22~0.36 m, 평균 0.31 m)보다 약 0.24 m 이상의 증가가 확인되었다.
이 후 6단계에서는 이러한 부분피압 조건과
더불어 공내 수위가 관측공의 무공관 구간(지표~3.0 m 심도)에 위치하게 되어
무공관을 통한 주변 대수층으로 지하수 이동이 불가능하므로 수위 상승폭(1.98 m)이 가파르게 나타난 것으로
분석된다.
단계주입시험에서 유량에 따른 각 단계별 비수위상승량(Sr/Q)과 주입량과의 관계로 B, C를 분석한 결과 각각
0.0122와 5.5×10-5로 나타났다(Fig.
5). 따라서 주입과정 중 주입효율은 64~92%(1~5단계 별로 각각 92%, 85%, 79%, 73% 및 69%)로 나타났다. 결과적으로 주입공
외부로 월류를 예방하며 정상 상태 또는 준정상 상태로 충적대수층에 물을 주입할 수 있는 최적 유량은 100 m3/day로 판단된다.
단계주입시험 기간 중 OW-01~08 관측공 8개소의 전체적인
공내 수위 상승은 단계별로 0.01~0.09 m로, 주입공 수위 증가량의
약 4~9%로 나타났다(Fig. 4). 주입공에서 근거리에 위치한
OW-02, 04, 05, 07 관측공의 공내 누적수위 증가량은 평균 0.28 m(7%)인 반면 상대적으로
원거리에 위치한 OW-01, 03, 06, 08 관측공에서는 평균 0.21 m(6%)로 증가됨에 따라,
주입공에서 멀어질수록 수위가 감소하는 경향을 보였다. 공내 수위 증가는 동쪽 2개 관측공(OW-05,
06)에서 가장 높았으며(0.24~0.34 m; 6~ 8%), 서쪽 2개 관측공(OW-01, 02)에서 낮게(0.16~0.22 m; 4~6%) 나타났다.
이 연구에서 이용된 단계주입시험은 자연주입 방법을 적용하였고, 이에 따라 주입수는 중력과 모래자갈/굵은자갈층의 투수성에만 의존하여 이송되었다.
따라서 주입공 주변 수위는 급격하게 상승증한 반면, 8개소 관측공에서는 투수성이 높은 모래자갈/굵은자갈층의 특성 상 주입된 지하수가 빠르게 이송되어
지하수위 증가폭이 상대적으로 작았다.
이러한 결과로부터 향후 인공함양 실시 설계 시 대수층 조건을 고려한 주입방법 결정이 필요하다고 판단된다. 만약 투수성이 높은 모래자갈/굵은자갈층
상·하부에 위치한 상부 점토/실트층과 풍화대에 패커(packer)를 설치하고, 적정한 압력을 주어 주입수를 모래자갈/굵은자갈층에 주입한다면 좀
더 많은 양의 주입수를 인공함양 할 수 있을 것으로 기대된다. Maliva et al.(2006)은 소규모 대수층 저장 및 회수(ASR;
artificial storage and recovery) 기술 적용 시 우물 설계 최적화를 위하여, 일방통행식 밸브(one-way
valve), 팽창식 패커(inflatable packers), 부분 관통 우물(partially penetrating wells) 등을 제안한
바 있다.
4.3. 인공함양 실증시험 분석 결과
단계주입시험에서 결정된 최적 주입량(100 m3/day)을 10일 동안 연속 주입하여 장기 인공함양 실증시험을 실시하였다. 실증시험 이전 주입공의 자연수위는
지표 하부 약 6.20 m 심도에 위치하였으나,
단계주입시험과 마찬가지로 실증시험 시작 후 물을 주입함에 따라 주입공 주변에서는 대수층이 부분피압 조건으로 바뀌어 주입공의 수위는 지표하
0.10 m 심도까지 상승(약
6.10 m 상승)하였다. 이에 따라
주입된 물의 월류가 우려되기도 하였다. 반면 관측공 8개소의 공내 수위 상승량은 단계주입시험과 마찬가지로 소폭 상승(0.32~0.46 m 범위; 주입공 수위 상승량(6.10 m)의 약 5~8% 수준)하여, 일단 주입수가
대수층(모래자갈/굵은자갈층)에 유입되면 대수층 내부에서 물의 이송·확산은 원만하게 이루어지는 것으로 나타났다(Fig. 6). 주입공에서 근거리에
위치한 OW-02, 04, 05, 07 관측공의 공내 누적수위 증가량은 평균 0.40 m(7%)인 반면 상대적으로 원거리에 위치한 OW-01, 03, 06, 08 관측공에서는
0.39 m(6%) 증가됨에 따라,
주입공에서 멀어질수록 수위가 감소하지만 차이는 0.01 m 내외로 매우 작은 것으로 분석되었다. 또한 관측공에서의 수위 상승 곡선은 주입시간이 경과됨에 따라 수위
상승폭이 감소하여 수위가 새롭게 유지되는 것으로 나타났다. Theis(1935) 부정류 양수해석 방법에 의해 8개 관측공에서 산출된 투수량계수는
10.7~14.3 cm2/sec 범위(평균 12.6 cm2/sec)였고, 수리전도도
환산 시 1.4~1.9×10-2 cm/sec(평균
1.7×10-2 cm/sec)였다(Table
2). 저류계수의 값은 0.07~0.10(평균 0.09)
범위로 산출되었다. 따라서 8개 관정에서 산출된 투수량계수와 저류계수는 값은 상호간 유사하였다. 8개 관측공별 투수량계수, 저류계수는
|
Fig. 3 Simplified geologic sections of each boreholes. |
|
Fig. 4 Changes of groundwater levels during a step injection test; (upper) injection well, (middle and lower) observation wells. |
|
Fig. 5 Specific groundwater-level rising values with various pumping rates during a step injection test. |
|
Fig. 6 Changes of groundwater levels during a long-term injection test; (upper) injection well, (middle and lower) observation wells. |
|
Fig. 7 Changes of on-site hydrophysical properties (pH, EC, DO, and ORP) during a long-term injection test; (a) OW-01, 02, 03, and 04, (b) OW-05, 06, 07, and 08. |
|
Fig. 8 Relationship between transmissivities and saturated thickness of the alluvium in the study area. |
|
Fig. 9 A diffusivity ellipse of the study area from TENSOR2D analysis. |
|
Table 2 Comparison of transmissivities and storage coefficient values obtained from TENSOR2D simulation and field tests |
인공함양은 물 부족 시설재배지역에 대한 주요한 추가 지하수 확보 기술로, 기술 적용 시 부가가치가 높은 농산물의 지속적 생산·판매를
가능케 하여 농가소득 증대에 기여한다. 인공함양 방법 적용 시 중요하게 고려되어야 하는 점은 대수층의 수리지질학적 특성(투수성, 저류성 등)으로,
주입수 저장과 대수층 조건 변화에 따른 최적의 주입방법과 함께 주입공 구경, 심도, 배열 등을 결정해야 한다.
이 연구에서는 관정을 이용한 인공함양 실증시험 시설을 설치하고 최적 주입량(100 m3/day)으로 장기 실증시험을 실시하고 충적대수층의 수리지질학적 특성(수리전도도
1.5×10-3~2.4×10-2 cm/sec, 저류계수
0.07~0.10), 불균질성과 주된 이송방향(이방성 비율
1.25 : 1)을 분석하였다. 이 결과
연구지역의 충적대수층은 외부 주입수를 거의 동심원상으로 분산시키며 주입된 수량에 대한 완충능력은 우수한 것으로 분석되었다. 그럼에도 불구하고 향후
인공함양 사업 시행 시에는 주입효율 증대를 위해 패커를 이용한 압력식 주입 방법의 적용, 주입 구경 확장, 주입공 주변 투수성 물질 채움 등을
추가 고려할 필요가 있다.
이 연구에서 제시된 방법을 다른
지역에 적용하여 대수층의 수리지질학적 특성이 인공함양 기술 적용이 부적합한 것으로 나타나는 경우에는, 추가 지하수자원 확보전략으로 인공함양 기술
외의 지하댐, 모래저장댐, 관정연계이용 등 여러 다양한 방법의 적용을 고려할 필요가 있다.
이 연구는 환경부 수요대응형 물공급서비스사업「상시 가뭄지역의 지하수 최적 공급관리를 위한 IoT 기반 인공함양 및 Well Network
기술 개발(과제번호 RE2019010 97)」과제의 연구비 지원에 의해 이루어졌습니다. 건설적인
비평을 주신 공주대학교 구민호 교수님과 한국지질자원연구원 김용철 박사님께 감사드립니다.
This Article2020; 25(1): 12-24
Published on Mar 31, 2020
Services
Correspondence toRural Research Institute, Korea Rural Community Corporation