
Hyowon An1,2·Kyoochul Ha1,2·Eunhee Lee1,*·Byung Hee Do3
1Korea Institute of Geoscience and
Mineral Resources
2Dept. of Mineral & Groundwater Resources, University of Science
and Technology
3Hanseo Engineering Inc.
안효원1,2·하규철1,2·이은희1,*·도병희3
1한국지질자원연구원 지구환경연구본부 지하수연구센터
2과학기술연합대학원대학교 광물·지하수자원학
3(주)한서엔지니어링
Step-drawdown test is one of the widely-used aquifer test methods to
evaluate aquifer and well losses. Various approaches have been suggested to
estimate well losses using the step-drawdown test data but the uncertainties
associated with data interpretation and analysis still exist. In this study, we
applied three different step-drawdown test analysis methods -Jacob (1947), Labadie and Helweg (1975), Gupta (1989)- to the step-drawdown test data in Seobu-myeon, Hongseong-gun,
South Korea and estimated aquifer and well losses. Comparisons of different
step-drawdown test analysis methods revealed that the estimated well losses
showed different values depending on the applied methods and these variations
are likely to be related to the limitation of the assumptions for each analysis
method. Based on the detailed analysis of time-drawdown data, we performed
step-drawdown test analysis after removing outlier data during the initial
stage of step drawdown test. The results showed that the application of the
revised time-drawdown data could substantially decrease the error of the
analysis as well as the variations in the estimated well losses from different
analysis methods.
Keywords: Step-drawdown test, well losses, Jacob, Labadie and Helweg, Gupta
양수시험은 특정 대수층에 양수정을 설치하고 일정량의 물을 양수하여 관측지점에서 발생하는 수위변화를 통해 대수층의 수리특성을 파악하는
방법이다(Gupta, 1989). 양수시험은 방법에 따라 단계양수시험, 장기양수시험, 회복시험 등으로 구분할 수 있고, 이 중 단계양수시험은 양수정에서의
양수량을 정해진 시간동안 단계적으로 증가시켜 수위강하를 측정하는 시험이다. 단계양수시험은 1) 대수층손실과 우물손실 평가 2) 대수층의 수리지질학적 특성 파악 3) 관정의 효율평가 등을 동시에 수행할 수 있어 단공에서의 양수시험에 가장 많이 수행되고 있다(Kawecki, 1995). 이 때 대수층손실은
양수 시 대수층 내에서 유동하는 지하수와 대수층 구성 물질 사이에서 발생하는 마찰력에 의한 손실을 의미하고 우물손실은 양수정 주변에 형성된 난류로
인해 지하수와 케이싱 및 스크린 사이의 마찰에 의해 발생하는 손실을 의미한다(Han, 1998).
양수시험 중 발생하는 대수층손실은 수리지질학적 특성과 직접적인 관련이 있고 우물손실은 우물효율과 관련이 있기 때문에 대수층손실과 우물손실을
구분하는 것은 중요하다. 이러한 단계양수시험에서의 우물손실을 평가하기 위하여 다양한 연구들이 수행되었다. 먼저 Jacob(1947)은 단계양수시험
시 양수정에서의 수위강하를 아래와 같이 정의하였다.

식 (1)에서 sw는 양수정에서의 수위강하, B는 대수층손실 상수, C는 우물손실 상수, P는 우물손실 지수를 가리킨다. Jacob(1947)은 우물손실이 양수량의 제곱에 비례한다고 하여
P를 2로 제안하였고, 양수량과
비수위강하량 사이의 그래프로 단계양수시험을 해석하였다. Rorabaugh (1953)는 P의 값을 2가 아닌 상수로 제시하면서 그래프를 이용해 P의 값을 구하는 방법을 제안하였다. Sheahan (1971)은 Rorabaugh(1953)방법의 시행착오를 줄이는 간단한 타입커브(type-curves)를 제시하였으며, P의 범위를 1.7~4로 제안하였다.
Labadie and Helweg(1975)는 최소제곱법을 이용하여 오차를 최소화하는 방식으로 B, C, P의 값을 계산하였다. Birsoy and Summers(1980)는 간헐적인 양수를 통해 얻은
수위강하 자료를 해석하는 방법을 고안하였고, Gupta(1989)와 Avci(1992)는 이를 수치적 방법을 이용하여 최적화하는 방법을 제시하였다.
그리고 Singh(1998)은 Theis의 우물함수를 사용하여 우물손실을 계산하고 평가하는 방법을 제안하였다.
국내의 경우 단계양수시험 해석 방법들을 다양한 연구지역에 적용하여 우물손실을 평가하려는 연구들이 진행되었다. Song et
al.(2017)은 충적대수층, Choi et al. (2010)와 Mok
et al.(2018)는 암반대수층, Jeon et al. (2005)는 암반 및 충적
대수층의 우물손실을 평가하기 위해 Jacob(1947)의 방법을 활용하였고, Lee et al.(2002)은 균열암반대수층 내에서의 우물손실을
Labadie and Helweg(1975)의 최소제곱법을 통해 해석하였다. 또한 Kim et al.(2010)은 우물개량 전과 후의 우물손실을
Jacob(1947)방법과 Labadie and Helweg(1975)방법으로 평가하였다.
이처럼 여러 연구지역의 단계양수 시험을 해석하는 연구가 다양하게 수행되었지만 해석방법이나 취득 자료의 활용 방법에 따라 결과가 달라지는
불확실성의 문제가 여전히 존재한다. Chung et al.(2009)과 Kim et al.(2012)은 Jacob(1947)의 방법과
Labadie and Helweg(1975)의 최소제곱법을 이용하여 단계 양수시험을 해석하고 그 차이를 비교하여 동일 관정에서 적용하는 해석방법에
따라 그 결과가 상이할 수 있음을 보여주었다. Kim et al. (2012)은 수위강하가
매우 급격하게 나타나는 관정에서는 Jacob(1947)의 방법이 적합하지 않다는 것을 보여주었다. 또한 Lee et al.(2005)는 단계양수시험
해석 시 시간선택이 대수층 및 우물 수두 손실의 결과에 많은 오차를 야기할 수 있다는 결과를 제시하였다. 이와 같은 한계점으로 단계 양수 해석
시, 한 가지의 해석방법만으로는 대수층 및 우물손실을 평가하기는 것은 한계가 있을 수 있다. 이에 다양한 단계양수해석기법을
적용하여 그 해석결과를 비교 분석하고 개선방안을 제시하는 것이 필요하나, 현재까지 이와 관련된 연구는 많지 않다.
본 연구에서는 충남 홍성 서부면 양곡리와 신리 일대의 균열암반관정을 대상으로 수행된 단계양수시험 자료를 활용하여 다양한 단계양수시험
해석방법을 적용하였고, 그 결과를 비교 및 분석 하였다. 이를 통해 단계양수 해석 시 각 방법들이 가지고 있는 한계를 파악하고 이를 보완할 수
있는 단계양수자료 선택 및 해석 방안을 제시하였다. 본 연구 결과는 단계양수시험 해석 결과의 신뢰도를 높이고 관정의 최적양수량 및 우물효율 등을
산정하는데 유용하게 활용 될 수 있을 것이다.
연구지역은 충남 홍성군 서부면 양곡리 일대와 신리를 일부 포함하고 있다(Fig. 1). 연구지역은 해발고도 100 m이하의 구릉성 산지와 비교적
평탄한 농경지로 구성되어 있다. 지질은 기반암의 경우 선캄브리아기의 편암 및 편마암으로 분포되어 있으며, 이를 신생대 제4기 충적층이 부정합으로
덮고 있다.
Fig. 1은 연구지역에 위치한 공공 관측정과 주요 양수정의 위치를 나타낸다. Fig. 1에 보이는 C1, C7 관측정을 대상으로 한
시추조사 결과, 관측정 아래 지층은 약 1 m 심도까지는 실트질 모래로
이루어진 매립층, 심도 2 m까지는 자갈, 모래 및 점토의 충적층, 나머지는 편암의 균열암반층으로 이루어져 있다(Fig.
2).
연구지역 가장 인근에 위치한 서부 자동기상관측장비(Korea Meteorological Administration, 2020)를 기준으로
산정한 연평균기온은 12.1oC(1999~ 2019년), 연평균강수량은
1146 mm(1999~2019년)으로, 우리나라의
연평균기온 13.2oC, 연평균강수량 1237.4 mm (1912~2017년)보다 다소 낮다(NIMS, 2019). 연구지역은
상습가뭄지역으로 지하수 공공관정에 대한 의존도가 높으며 Fig. 1의 주요 관정 외에도 사설관정이 많이 개발되어 있는 것으로 판단된다.
|
Fig. 1 Location of the study area and the observation/pumping wells. |
|
Fig. 2 Geological section of observation wells. |
3.1. 단계양수시험
본 연구에서는 Fig. 1의 양수정 중 D7, D8, D9, D10 관정으로부터 시행된 단계양수 시험 자료를 사용하였다. 단계양수시험은
2019년 9월 9~18일에 실시되었고, 각 단계별 양수시간은 1시간이며
총 5단계로 진행되었다. Lee et al.(2005)은 자료의 해석을 위해 단계양수시험을 수행할 시, 수위가 안정되지 않은 천이상태에서라도
동일한 양수지속시간 자료를 이용한다면 해석결과에 오차가 적다고 하였다. 이에 본 연구에서도 각 단계별 양수시간을 동일하게 유지하였다. 단계양수시험은
매 단계 양수량을 일정하게 유지시키기 위해 오리피스를 토출구에 연결하여 수행되었으며 지하수위 측정을 위해 자동측정(CTD Diver, Schlumberger
Water Service)과 수동측정방법(Water Level Meter 101P7, Solinst)이 사용되었다. 해당 관정들은
모두 균열암반대수층이며, 각 관정들의 개발년도, 우물 구경, 우물 심도, 수중펌프 설치심도, 취수계획은 Table 1에 정리하였다. 단계양수시험에
따른 단계별 시간에 따른 수위강하는 Fig. 3과 같다. 단계양수시험에 따른 수위강하는 D8을 제외하곤 모두 안정화되지 않았다. 이에 본 연구에서는
Lee et al.(2005)이 제안한 바와 같이 이전단계의 수위하강추세를 고려하여 다음단계의 수위강하량을 재산정한 후, 양수시험 해석에 사용하였다(Fig.
4, Table 2). Table 2의 D7, D9, D10 관정의 수위강하(Drawdown)는 재산정된 수위변화(Ds)를 이용하여 계산되었고,
D8은 양수시험 시 관측된 수위강하 자료를 그대로 사용하였다.
3.2. 단계양수 해석법
본 연구에서는 단계양수시험 해석을 위해 Jacob(1947)의 직선법, Labadie and Helweg(1975)의 최소제곱법,
Gupta(1989)의 방법을 사용하였다. 해당 방법들은 모두 균질한 피압대수층에서 단계양수 결과를 해석하기 위한 기법으로 관정 및 대수층과 관련된
최적의 수리인자를 찾는 방법에서 조금씩 차이가 있다. 이에 대한 자세한 설명은 아래에 기술하였다.
3.2.1. Jacob(1947)의 직선법
Jacob(1947)의 직선법은 단계양수시험 자료를 분석하기 위한 가장 일반적인 방법으로 다음과 같은 식으로 수위강하를 정의한다(Batu,
1998).

식 (2)에서 sw는 양수정에서의 수위강하, Q는 양수율, B는 대수층손실상수, C는 우물손실상수를 나타낸다. 식 (2)에서 양변을 Q로 나누면 식 (3)과 같이 나타낼 수 있다.

여기서 sw/Q은 비수위강하량이고, 양수량에 따른 비수위강하량을 그래프로 표시하면, 추세선의 기울기와 Y절편으로
B와 C를 구할 수 있다.
3.2.2. Labadie and Helweg(1975)의 최소제곱법
Labadie and Helweg(1975)의 최소제곱법은 아래 식 (4)의 E(P)가 최소가 되는 B, C의 값을 구하는 방법이다.

여기서 N은 단계양수의 총 횟수,
i는 단계양수의 순서(i=1,2,...,N)이다. B와 C의 최솟값을 구하기 위해 식 (5), (6)의 관계식을 이용하고, P는 시행착오 방법으로 결정한다.

3.2.3. Gupta(1989) 방법
Gupta(1989) 방법은 Birsoy와 Summers(1980)의 방법을 기본으로 한다. Birsoy와 Summers(1980)는
단계양수시험에서의 수위강하를 중첩의 원리를 사용하여 나타내었고 식 (7)과 식 (8)은 그에 따른 수위강하를 정리한 식이다.

식 (7)과 (8)에서 T는 투수량계수, S는 저류계수, W(u)는 우물함수, t는 처음 양수를 시작하고 해당 시점까지의 경과시간, tn은 n번째 양수 시작시간, r은 우물 중심으로부터 관측지점까지의 거리를 나타낸다. Cooper and Jacob은 대부분의
자연 상태 대수층에선 u << 0.03이므로 이때의 W(u)는 식 (9)와 같이 나타낼 수 있음을 보였다(Han, 1998).

식 (9)를 이용하여 Birsoy와 Summers(1980)는 양수시험에서의 총 수위강하를 아래와 같은 식으로 일반화 하였다.


식 (12)에서 αn은 조정계수, 식 (13)에서 tan은 조정시간을 나타낸다.
Gupta(1989)는 식 (12), (13)을 이용하여 식 (10)을 나타내고 이에 대한 그래프를 그려 평균 k 값을 추정 후 식
(11)을 이용하여 T의 값을 계산하였다. 이후
최소제곱법으로 식 (14)를 이용하여 관측 값과 계산 값과의 오차가 최소가 되는 C를 산출하였다. 이때 P는 시행착오 방법을 사용하여
결정하였다.

|
Fig. 3 Result of step-drawdown test for each pumping well. |
|
Fig. 4 Conceptual approach for re-estimating drawdowns of
step-drawdown test results under the unsteady drawdown
condition (Lee et al., 2005). |
|
Table 1 Specification of the pumping wells used for step-drawdown test in the study site |
|
Table 2 Time-drawdown data and calculated drawdown from the step drawdown tests |
4.1. 결과
식 (1)의 단계양수시험을 해석하기 위해 Jacob(1947), Labadie and Helweg(1975), Gupta(1989)
방법을 적용하여 B, C, P를 구하였다(Table
3). 각 단계양수 해석법을 적용하여 구한 대수층 및 우물손실은 Fig. 5, Fig. 6과 같다. 해석 결과, 연구지역 관정의 경우 단계양수시험
해석 방법에 따라 B, C, P 값이 일부 다르게 도출되었고
NRMSE(Normalized
Root Mean Square Error)는 Labadie and Helwg(1975)의 방법이 가장 낮은 값을 보였다. 관정별 분석 결과는 아래와 같다.
4.1.1. D7
D7의 경우 Jacob(1947) 방법의 B는 1.7.×10-1로 추정되었으며, 이는
Labadie and Helweg(1975)와 Gupta (1989) 방법으로 얻은
B(2.0.×10-1, 2.3×10-1)에 비해 다소 낮게 나타났다.
Jacob(1947) 방법의 C는 1.3×10-3으로써 Labadie
and Helweg(1975)와 Gupta(1989) 방법으로 얻은 C(1.0×10-12, 7.8×10-13)에 비해 상대적으로 높게
추정되었다. P의 값은
Jacob(1947) 방법은 2이고 나머지 두 방법 모두 6.6으로 나타났다. 이와 같이 높은 P값은 D7 관정이 난류의 영향을 크게 받을 수 있음을 시사한다. D7의 경우 양수량에
따른 수위강하가 4단계 이후부터 급격히 증가하는 것을 확인할 수 있는데(Fig. 3), 이에 따라 Labadie and Helweg(1975)와
Gupta(1989) 방법의 우물손실의 변화 또한 4단계부터 전 단계보다 상대적으로 증가하는 것을 볼 수 있다(Fig. 5).
4.1.2. D8
D8의 경우 Jacob(1947), Labadie and Helweg(1975), Gupta(1989) 방법의 B는 3.4×10-2, 2.9×10-2, 4.4×10-2이고 C는 6.0×10-5, 7.1×10-4, 2.5×10-14로 B는 비슷한 값을 나타낸 반면 C는 Gupta(1989)의 방법만이 다른 두 방법에 비해 상대적으로 낮게 추정되었다. P의 값은 Jacob(1947) 방법은 2이고, Labadie and Helweg(1975)와
Gupta(1989) 방법은 각각 1.6과 5.8으로 나타났다. Fig. 5에서 대수층 및 우물손실을 각각의 단계양수 해석방법에 따라 비교해보았을
때, D8의 경우에는 Gupta (1989) 방법의 우물손실이 상대적으로 낮게 산출 되었다.
4.1.3. D9
D9의 경우 Jacob(1947), Labadie and Helweg(1975) 방법의 B는 3.8×10-1, 2.1×10-1, C는 1.3×10-3, 1.4×10-1, P의 값은 Jacob(1947) 방법은 2이고, Labadie and Helweg(1975) 방법은
1.1로 산출되었다. 또한 Gupta (1989) 방법의 경우 C는 음(-)의 값을 나타내는 등의 유효한 값을 도출하지 못하였고, 이에 따라 우물손실 또한 음(-)의
값을 보여주었다(Fig. 6).
4.1.4. D10
D10의 경우 Labadie and Helweg(1975) 방법을 통해 B, C, P의 값이 각각 4.2×10-2, 9.5×10-19, 8.3으로 산출되었고,
Jacob(1947)과 Gupta(1989) 방법을 통해 나온 결과는 D9와 마찬가지로 C의 값이 음(-)의 값을 나타내는 등의 유효한 값을 도출하지 못하였다. 이에 따른 우물손실 또한 음(-)의
값을 보여주었다(Fig. 6).
4.2. 토의
4.2.1. 단계양수시험 해석 방법의 적합성과 한계
4.1.의 결과를 보면 단계양수시험 해석 방법에 따라 B, C, P가 각각 다르게 산출되는 것을 알 수 있다. 이는 해석 방법이 가지고 있는 가정의 한계에 의한
것이라 추정된다.
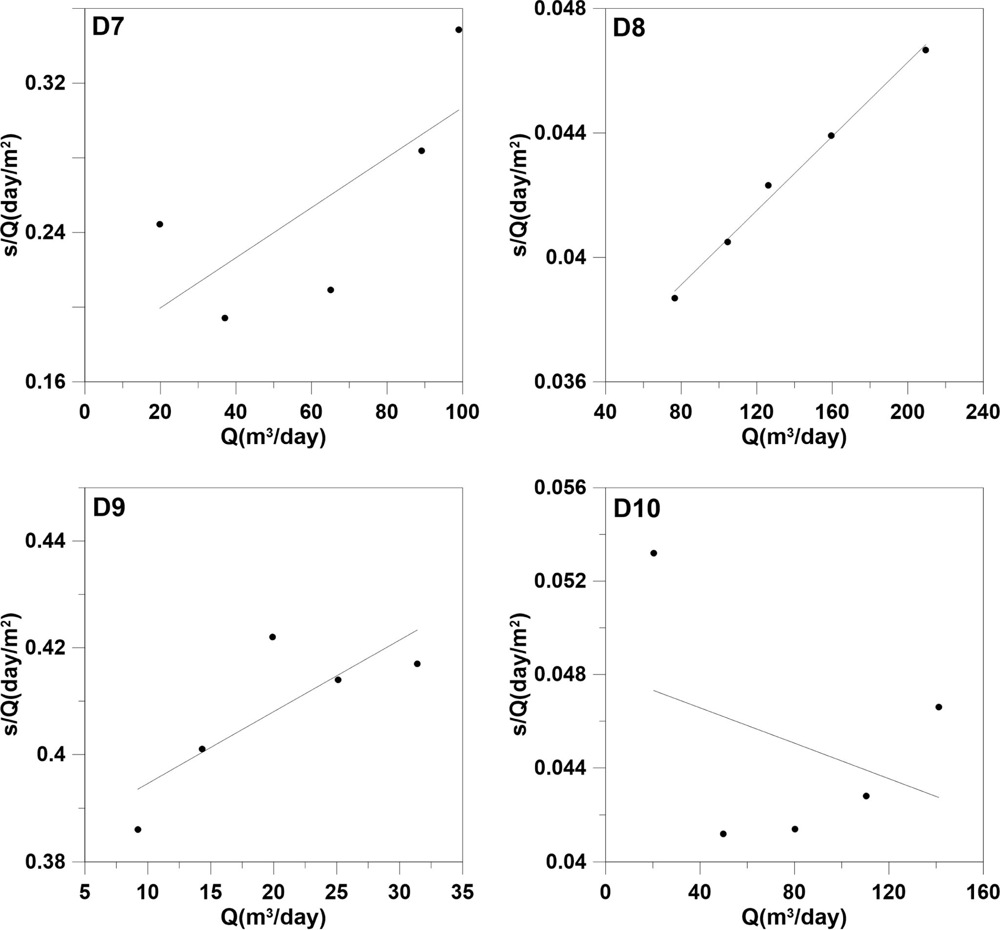
Fig. 7은 관정별 양수량에 따른 비수위강하량을 그래프로 나타낸 그림이다. Jaocb(1947) 방법의 경우 양수량과 비수위강하량
사이의 관계를 선형으로 가정하는데 D8은 선형적 관계를 잘 보여주고 있어 Jacob(1947) 방법을 적용하기에 적절한 것으로 보인다. 하지만
D7처럼 양수량과 비수위강하량의 관계가 선형이 아닌 비선형일 경우 추세선의 정확도를 신뢰하기 어렵다. 또한 D9, D10와 같이 특이점이 존재하는
경우, 양수량과 비수위강하량 사이의 추세선을 만드는 과정에서 오차가 증가할 수 있다. 이러한 경우, Jacob(1947) 방법으로는 단계양수시험의
결과를 해석하기에 한계가 있다. Labadie and Helweg(1975) 방법의 경우 양수량과 비수위강하량 간의 선형 관계를 가정하지 않으므로,
Jacob(1947) 방법에서 발생할 수 있는 오차를 일부 줄일 수 있는 것으로 판단된다.
Gupta(1989) 방법의 경우는 식 (14)와 같이 단계별 비수위강하량의 차이를 이용하여 우물손실을 계산하는데, Fig. 7의
D10처럼 다음 단계의 비수위강하량이 이전 단계의 비수위강하량보다 낮은 경우 C가 음(-)의 값을 가지는 원인이 될 수 있다. 또한 D9 관정과 같이 양수시험 중간단계에 이상점이 있는
경우에도, C가 음(-)의 값을 보이는
등 우물손실 값이 유효한 결과를 가지지 못하는 것으로 나타났다. 반면, D7처럼 다음 단계의 비수위강하량이 이전단계의 비수위강하량보다 낮을지라도,
이 값의 절댓값이 다른 단계별 비수위강하량의 차이보다 상대적으로 낮은 경우엔 문제가 발생하지 않았다.
이를 토대로 각 관정별 단계양수시험 해석 결과를 요약하면, D7에서의 단계양수시험 해석방법은 Labadie and
Helweg(1975)와 Gupta(1989) 방법이 적합하다고 판단된다. D8에서의 경우 해석 방법의 한계는 볼 수 없었지만,
Gupta(1989) 방법의 우물손실이 Jacob(1947)과 Labadie and Helweg(1975) 방법의 우물손실보다 상대적으로 과소평가
되고, NRMSE가 가장 높은 것으로 보아 D8에서의 단계양수시험 해석방법은 Jacob(1947)과 Labadie and
Helweg(1975) 방법이 적합한 것으로 보인다. D9의 경우 Jacob(1947)과 Labadie and Helweg(1975) 방법으로는
양수시험 해석에 한계가 있고, Gupta(1989) 방법은 적용하기에 어려움이 있어 세 가지 방법 모두 적절하지 않은 것으로 판단된다. D10의
경우 Jacob(1947)과 Gupta (1989) 방법은 해석방법에 한계가 있고,
Labadie and Helweg(1975) 방법에 의해 도출된 값은 비교대상이 없어 결과 값을 단언하기에는 어려움이 있다.
4.2.2. 개선된 단계양수시험 자료를 이용한 단계양수시험 재분석
단계양수시험 해석 방법을 적용한 결과, 연구지역의 관정들은 기존의 방법들을 그대로 적용하기엔 일부 어려움이 있는 것으로 나타났다. 특히
D7 과 D10은 초기 비수위강하량이 다음단계의 비수위강하량과 상당한 차이가 보이는데(Fig. 7), 이는 대수층의 특성이 양수량 증가에 따라
불투수층 및 함양경계를 만나는 등 해당 관정의 주변 대수층 특성차이에 기인한 것으로 추정된다. 일반적으로 양수정에서의 취수 계획(Table
1)은 초기단계의 양수량보다 이후 단계의 양수량을 더 적절하게 사용하기에 초기단계의 대수층 특성보다 이후단계의 대수층 특성이 해당 관정의 대수층으로
대표할 수 있을 것으로 판단된다. 이에 본 연구에서는 초기 비수위강하량 같은 특이점을 제외한 후 단계양수시험 해석방법을 통해 재분석 하였다. 재분석은
D7과 D10관정에서만 수행하였으며, D8은 기존의 방법들의 그대로 적용하여도 해석에 큰 문제가 보이지 않았고, D9는 세 가지 해석 방법 모두
적용에 한계가 있고 수정된 자료를 이용한 경우에도 양수시험 결과 해석에서 개선점이 발견되지 않아 추가 분석에서 제외하였다.
Jacob(1947)과 Labadie and Helweg(1975) 방법은 시간을 고려하지 않아 초기 수위강하를 단순제거 하여 해석하였다. 반면,
Gupta(1989)의 방법은 계산식에 시간을 고려하기 때문에 초기 수위강하 및 양수량을 이후의 단계에서 빼주는 등의 중첩방식을 사용하여 수정된
양수량과 수위강하를 사용하였다. 이에 따른 결과는 Table 4, Fig. 8과 같다.
D7의 경우, Jacob(1947) 방법의 B가 1.7×10-1에서 8.6×10-2로 C는 1.3×10-3에서 2.4×10-4으로 재분석한 결과가 다소
낮게 도출되었다. NRMSE는 0.15에서 0.09로 개선되었으나 비선형 관계에 의한 추세선의 불확실성이 여전히 남아있다. Labadie
and Helweg(1975)와 Gupta (1989) 방법의 B는 2.0×10-1, 2.3×10-1에서 1.9×10-1, 2.0×10-1로 이전의 결과와 재분석한
값이 비슷한 범위를 보여주었다. C는 1.0×10-12, 7.8×10-13에서 1.0×10-11, 2.5×10-9, P는 6.6, 6.6에서 6.1, 5.1으로 Labadie and Helweg(1975) 방법은
이전의 결과와 거의 비슷한 것을 볼 수 있었고, Gupta(1989) 방법의 경우에는 이전 결과와 일부 차이가 있는 것으로 나타났다. 또한
Labadie and Helweg(1975)와 Gupta(1989) 방법을 통해 도출된 대수층 및 우물손실의 경우, 이전의 결과와 마찬가지로
4단계부터 우물손실이 급격하게 커지는 등 이전의 결과와 유사한 경향을 보여주었다.
D10의 경우 Labadie and Helweg(1975)의 B는 4.2× 10-2에서 4.1×10-2로 C는 9.5×10-19에서 1.6×10-13, P는 8.3에서 5.9로 B의 값은 유사하고, 그 외의 값들은 일부 변화가 있는 것으로 나타났다. 또한 Jacob(1947)과
Gupta (1989) 방법의 B는 3.8×10-2, 3.9×10-2, C는 6.0×10-15, 2.3×10-19, P는 2, 8.8로 음(-)의 값이 모두 제거되고 유효한 값이 산출되었다.
최종적으로 단계양수시험 해석 시 발생한 초기 특이점을 제거하고 재분석한 결과, 각각의 단계양수시험 해석 결과의 NRMSE가 더 낮은
값을 보이는 등의 단계양수시험 해석방법의 신뢰도가 더욱 높아지는 것을 확인하였다. 이는 본 연구에서 제시한 바와 같이 초기 특이점을 제외하고 단계양수를
해석하는 경우 해석방법이 갖고 있는 한계를 일부 극복할 수 있음을 시사한다.
|
Fig. 5 Comparisons of the estimated aquifer&well losses from Jacob (1947), Labadie and Helweg (1975), Gupta (1989) method (D7, D8). |
|
Fig. 6 Comparisons of the estimated aquifer&well losses from Jacob (1947), Labadie and Helweg (1975), Gupta (1989) method (D9, D10). |
|
Fig. 7 Plot of specific drawdowns versus pumping rates. |
|
Fig. 8 Comparisons of the estimated aquifer&well losses from the modified Jacob (1947), Labadie and Helweg (1975), Gupta (1989)
method (D7, D10). |
|
Table 3 Estimated values of B, C and P and NRMSE (Normalized Root Mean Square Error) |
*Invalid values |
|
Table 4 Estimated values from modified step-drawdown test analysis for D7, D10 wells |
본 연구에서는 충남 홍성군 서부면 일대 균열암반관정을 대상으로 수행된 단계양수시험 자료를 활용하여 서로 다른 단계양수시험 해석 방법을
적용하였고, 관정의 우물효율 및 대수층손실을 파악하였다. 또한 각각의 단계양수해석 결과를 비교 및 분석하고, 각각의 해석방법들이 갖고 있는 한계를
파악하여 개선된 단계양수해석 방안을 제시하고자 하였다.
연구지역 4개의 균열암반관정을 대상으로 Jacob(1947) 방법, Labadie and Helweg(1975) 방법,
Gupta(1989) 방법을 이용하여 대수층 및 우물손실상수(B and C), 우물손실지수(P)를 추정한 결과, 관정별로 적용한 단계양수 해석 방법에 따라 그 결과가 다르게 나타날 수 있음을 확인하였다.
이는 각각의 단계양수시험 해석 방법이 가지고 있는 가정의 한계에 의한 것으로 추정된다. 가령 Jacob (1947) 방법의 경우 양수량과 비수위강하량 사이의 관계가 선형이 아닌 비선형일 때는 추세선의 정확도를 신뢰하기 어려워 해석결과에
오류를 야기할 수 있는 것을 볼 수 있었다. Labadie and Helweg(1975) 방법은 본 연구지역에서 NRMSE가 가장 낮은 안정적인
값을 도출하였으나, 경우에 따라 대수층손실에 비해 우물손실이 과대평가 되는 등 해석의 어려움을 가지고 있는 것으로 나타났다.
Gupta(1989) 방법의 경우 이전 비수위강하량이 다음단계의 비수위강하량보다 상대적으로 클 경우, 오차를 발생시키는 원인이 되는 것으로 나타났다.
다음으로 본 연구에서는 단계양수해석 기법들이 갖고 있는 한계점을 개선하기 위해 단계양수시험 자료에서 특이점이 발생하는 첫 단계 수위강하
자료를 제외하여 재분석을 실시하였다. 재분석은 D7과 D10에 적용하였고, 재분석 결과 전체적으로 초기 이상자료를 제외하고 분석을 하는 경우 단계양수시험
해석 방법 결과의 NRMSE 값이 더 낮은 것을 확인하였다. 반면, D9관정의 경우 본 연구에 사용된 해석 방법의 적용이 어려운 것으로 나타났다.
이는 해당관정에서 비수위강하량 이상지점이 단계양수 시험 중간에 나타나, 초기양수시의 이상점을 제거한 후에도 다음 단계의 비수위강하량이 이전 단계보다
낮은 이상지점이 여전히 존재하는 것과 관련이 있다. 따라서 D9 관정의 경우, Avci(1992), Singh(1998)등 다른 방법을 이용하여
양수시험을 해석하는 것이 필요해 보인다.
본 연구에서 추정된 P는 일부 관정에서 5이상의
값을 보여주었으며 이는 기존의 해외 연구들이 제시하고 있는 P의 값(1.7~4)과는 일부 차이가 있다. 이러한 기존 연구들 대부분은 다공질매질에 따른 선형적 수위강하를
갖는 대수층의 특성을 가지고 있다. 반면, 국내의 경우 단열암반 대수층에서의 단계양수시험을 수행한 일부 지역의 관정에서 시간에 따른 비선형 형태의
급격한 수위강하가 나타나는 것으로 보고되었으며(Kim et al., 2012) 이에 따른 P는 최대 8.29까지 다양한 값을 보여주었다(Chung et al., 2009; Kim et al.,
2012). 이는 단열암반대수층이 가지고 있는 다양한 수리적 특성 또는 양수정 부근에서의 난류에 의한 영향으로 해석되고 있다(Lee et
al., 2002). 해당 연구지역의 관정들 역시 모두 균열암반대수층에 위치하고 있어 다양한 P 값이 산출된 것으로 추정된다.
마지막으로 해당 연구에서 적용한 단계양수 해석법들은 모두 피압·등방 조건의 대수층을 가정하고 있어 본 연구에서도 연구지역의 대수층이
피압·등방과 유사한 조건을 가지는 것으로 가정하여 단계양수결과를 해석하였으며 이로 인한 해석 결과의 한계는 발생할 수 있다.
본 연구는 환경부의 2020년 수요대응형 물공급 서비스사업의 지원으로 수행되었습니다.
This Article2020; 25(4): 35-47
Published on Dec 31, 2020
Services
Correspondence toKorea Institute of Geoscience and Mineral Resources