
Hee-Eun Woo·IlwonJeong·In-CheolLee·KyunghoiKim*
Department of Ocean Engineering, Pukyong National University, Busan 48513, Korea
우희은·정일원·이인철·김경회*
부경대학교 해양공학과
This article is an open access article distributed under the terms of the Creative Commons Attribution Non-Commercial License (http://creativecommons.org/licenses/by-nc/4.0) which permits unrestricted non-commercial use, distribution, and reproduction in any medium, provided the original work is properly cited.
In order to investigate change of shear strength of coastal muddy sediment by mixing pretreated oyster shells with different pyrolysis temperatures and particle sizes, a vane shear test was carried out. The shear strength of the sediment with oyster shells pyrolyzed at 800oC was twice higher than that of the control, with a maximum shear strength of ca. 0.2 kPa. The Ca2+ concentration in the pore water was the highest at sediment with oyster shells pyrolyzed at 800oC with a concentration of ca. 790 mg/L. From the above results, it is concluded that the application of the oyster shells pyrolyzed at 800oC can affect the increase in shear strength of coastal sediments through the aggregation of clay particles and pozzolanic reactions with sediments.
Keywords: Coastal sediments, Shear strength, Oyster shells, Cations
점토질로 이루어진 연안 퇴적물은 간극수 흐름이 느리고 강도가 낮다는 특성이 있다(Indraratna et al., 2014; Rahman et al., 2013). 정체된 간극수 흐름은 육상에서 연안으로 유입된 산소 및 영양염의 확산을 저해하여 연안 생태계에 부정적인 영향을 줄 수 있다(Kim and Kim, 2020). 또한 지반강도가 낮은 연안 퇴적물은 작은 외력에도 쉽게 재부상하여 침전된 오염물질이 수층으로 공급될 수 있다(Pourabadehei and Mulligan, 2016).
점토입자는 표면에 음전하를 띠고 있어 입자 주변에는 양이온이 밀집되어 있는 고정층과 일정 거리 밖의 양이온 밀도가 낮은 분산층으로 전기이중층이 형성되어 있다(Chorom et al., 1994; Davidson et al., 1962; Jung et al., 2003). 전기이중층 이론과 DLVO 이론에 따르면, 콜로이드 입자의 분산거동은 입자간 발생하는 Van der Waals 인력과 전기이중층에 따른 척력(반발력)의 합에 의해 결정된다(Mun and Kang, 2010; Yao et al., 2016). 전기이중층의 두께가 감소하면 인력이 증가하면서 입자간의 응집성은 커지게 된다(Abbaslou et al., 2020). Mahanta et al.(2014)는 토양 간극수의 Ca2+가 100 mol/m-8까지 증가할 경우 전기이중층의 두께가 최대 50%까지 감소한 것으로 보고하였다.
이처럼 교환성 양이온은 점토 입자의 분산과 응집에 관여하는데, 이러한 거동은 양이온의 원자가에 따라서 달라진다(Rengasamy et al., 2016). 1가 양이온은 점토 입자를 분산시키며, 2가 양이온은 점토 입자를 응집시켜 지반강도에 영향을 준다(Dontsova and Norton, 1999; Marchuk and Rengasamy, 2011). 점토 입자에서의 양이온 교환은 일반적으로 Ca2+ > Mg2+ > K+ > Na+ 순으로 나타나기 때문에(Helfferich, 1962), 2가 양이온 중 특히 Ca2+을 연안 퇴적물에 공급할 경우, 양이온 교환에 의한 점토입자의 응집을 유도할 수 있다.
2019년 기준 연간 발생하는 굴 패각량은 약 300,000톤으로 이 중 85%가 재활용되고 있다(Baek and Lee, 2020). 반면, 재활용되지 못한 약 15%의 굴 패각은 연안가에 그대로 방치되어 악취, 해충 등의 문제를 야기하고 있어 굴 패각 처리에 대한 논의가 시급한 실정이다(Wu et al., 2014). 굴 패각은 95% 이상이 CaCO3로 구성되어 있어 해양에 친환경적으로 Ca2+을 공급할 수 있는 재료이다(Hamester et al., 2012). 특히 600oC 이상에서 소성 시킨 굴 패각의 영양염 및 중금속을 제거하는 등의 환경개선 효과가 다수의 연구를 통해 확인되었다(Moon et al., 2015; Yu, et al., 2010).
지반 강도 증가를 목적으로 굴 패각을 활용한 연구 사례는 다수 수행되었으나 굴 패각이 지반 강도에 미치는 영향에 대하여 연구마다 다른 결과가 보고되고 있다(Gyeonggi-do Fisheries Office, 2009; Kim et al., 2013; Lee et al,, 2007). 굴 패각과 같은 재료들은 전처리 방법에 따라 물리화학적인 특성이 달라진다는 점을 반영하지 않아 나타난 현상인 것으로 보인다(Woo et al., 2018). 따라서 본 연구에서는 실내시험을 통해 소성 온도와 입경이 다른 굴 패각이 연안 퇴적물의 강도에 미치는 영향을 조사하고 양이온 농도변화를 중심으로 연안 퇴적물의 강도 변화 메커니즘을 해석하는데 목적을 두고 있다.
2.1. 굴 패각
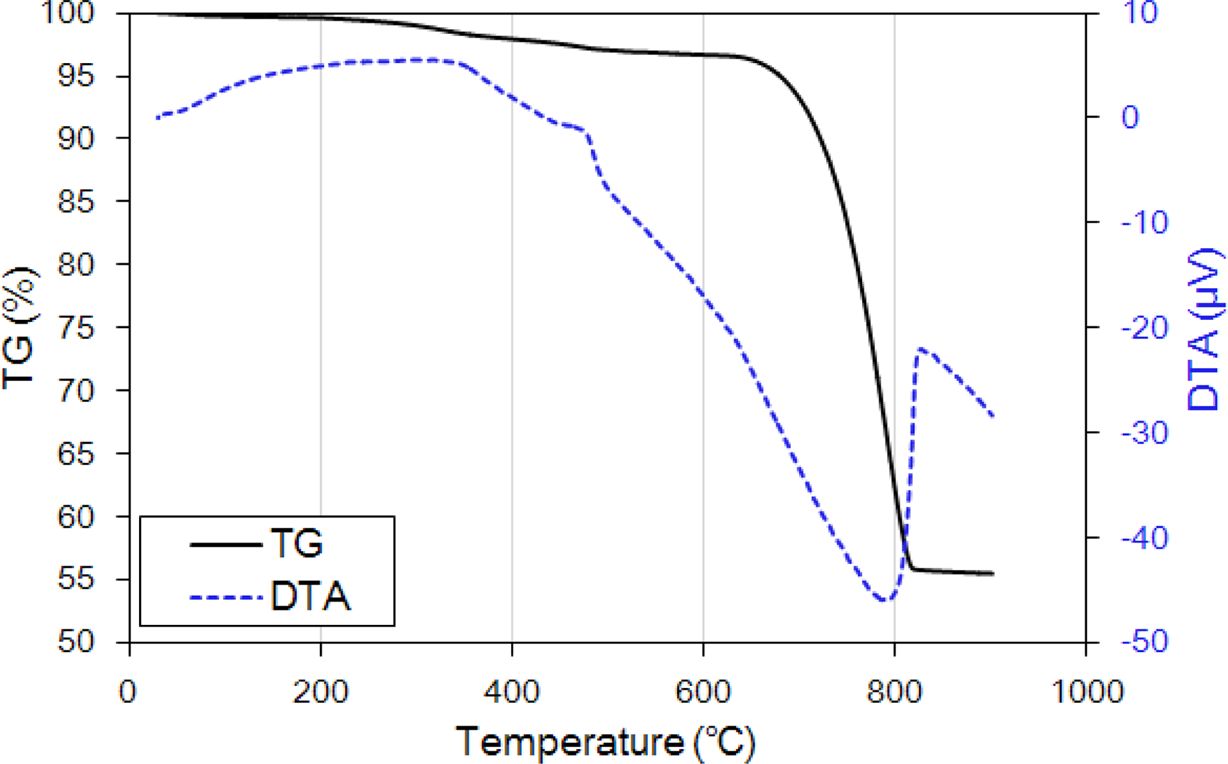
실험에 사용한 굴 패각의 적정 소성 온도는 시차열분석(Thermo Gravimetric-Differential Thermal Analyzer, TG-DTA) 결과를 통해 선정하였다. TG-DTA(DTG-60H, Shimadzu)는 10oC/min의 속도로 900oC까지 승온시켜 수행되었으며, 결과는 Fig. 1에 나타내었다. TG 분석 결과 700oC까지의 중량 감소율은 약 6%이었으며 700~900oC에서 약 40%의 중량 감소를 확인하였다. 굴 패각의 CaCO3는 열분해반응을 통해 CO2와 CaO로 분해가 된다(식 (1)). Fig. 1에 따르면 약 650oC에서 열분해가 본격적으로 시작되어 약 800oC에서 굴 패각의 소성이 완료되는 것을 확인하였다. 이는 기존의 문헌들과 유사한 결과를 보여준다(Silva et al., 2019; Kim et al., 2019). Ha et al. (2019)에 따르면 굴 패각의 소성 온도는 석회석 보다 낮게 나타는데, 이는 굴 패각의 다공성이 열 안정성을 감소시키기 때문인 것으로 보고하였다. DTA의 결과, 탄산칼슘의 열분해는 흡열 반응임을 나타내며 약 800oC에서 약 –46 μV로 가장 강한 흡열피크를 확인하였다.

2.2. 실험재료
실험에 사용된 굴 패각은 거제시에 위치한 굴 박신장에서 원형 그대로의 굴 패각을 채취하여 서늘한 곳에서 6개월 이상 자연건조 하였다. 이후 굴 패각은 각각 0~1 mm, 1~2 mm, 2~5 mm의 입경으로 파쇄 후 400oC, 500oC, 600oC, 800oC의 온도로 각각 1시간 동안 전기로(SF-14, Wise Therm(R))에서 소성하였다(Fig. 2). 5~35 mm로 파쇄한 굴 패각은 내부마찰각이나 투수계수가 모래(사질토)와 비슷한 수치인 것으로 보고되었다(Yoon et al., 2001). 따라서 5 mm 이하의 굴 패각을 대상으로 입경을 분류하여 실험에 적용하였다.
실험에 사용된 퇴적물은 남해 욕지도 주변 해역에서 채취하였고, 퇴적물에 뒤섞여있는 패각 및 비닐 등의 이물질을 최대한 걸러낸 후 사용하였다. 남해 퇴적물의 입도 분포는 2회 반복 측정하였으며 측정결과는 Fig. 3과 Table 1에 나타내었다. 퇴적물의 평균 D50은 5.0 μm로 균등계수는 약 19.9, 곡률계수는 1.1로 조사되었다. 일반적으로 균등계수(Cu)>10, 곡률계수(Cg)=1~3 일 때 입도분포가 양호하다고 할 수 있다(Kim et al., 2016). 해수는 부산 용호만에서 채수하여 유리섬유여과지(GF/C-47, Whatman)로 여과 후 실험에 사용하였다.
2.3. 실험방법
전단강도 실험은 입경 및 소성온도별 굴 패각과 퇴적물을 1:1의 체적비로 혼합한 실험구와 퇴적물로만 구성된 대조구를 대상으로 수행되었다(Table 2). 굴 패각과 퇴적물을 혼합한 실험구의 경우 시료의 함수비가 달라지는데 함수비의 변화는 전단강도에 영향을 준다. 따라서 함수비에 의한 영향을 최소화하기 위하여 시료의 상부에는 필터링한 해수를 채워서 시료를 포화시켰다. 대조구는 실험구와 동일한 부피의 퇴적물을 채워 넣고 마찬가지로 상부에 해수를 채워 넣었다. 대조구 및 실험구는 각 2개씩 제작하였으며, 2주 동안 18oC에서 보관한 후에 베인전단강도 측정에 사용하였다. 베인전단시험은 50.8×101.6 mm 규격의 베인(H-4227, Humbolt)을 사용하였으며, KS F 2342 점성토의 현장 베인 전단 시험 방법에 따라 진행되었다.
전단강도 시험 종료 후 각 소성 온도별로 0~1 mm의 굴 패각이 혼합된 시료를 대상으로 원심분리기(LaboGene 416, LABOGENE)를 사용하여 간극수를 추출하였다. 추출한 간극수는 부경대학교 공동실험 실습관에서 대표 양이온(Na+, K+, Mg2+, Ca2+)에 대한 ICP-MS(NexION 300D, PERKIN ELMER) 분석을 수행하였다(Sumner, 2000). 분석한 양이온 결과값을 바탕으로 양이온 교환 용량(cation exchange capacity; CEC)와 나트륨 흡착비(sodium adsorption ratio; SAR)를 계산하였으며 계산식은 식(2)와 식(3)에 나타내었다(Kim and Kim, 2020).

|
Fig. 1 TG-DTA result of oyster shell. |
|
Fig. 2 Pyrolyzed oyster shells with different particle size (a:0-1 mm, b:1-2 mm, c:2-5 mm). |
|
Fig. 3 Grain size accumulation curve of sediment. |
3.1. 베인전단시험
굴 패각과 연안 퇴적물이 혼합된 시료의 전단강도 결과를 Fig. 4에 나타내었다. 대조구의 베인전단강도는 약 0.07 kPa로 확인되었으며 POS400, POS500, POS600, POS800의 전단강도는 각각 약 0.039~0.056 kPa, 약 0.047~0.050 kPa, 약 0.041~0.066 kPa, 약 0.138~0.188 kPa의 범위로 나타났다. 입경별로 분류해보면, 0~1 mm, 1~2 mm, 2~5 mm의 굴 패각이 혼합된 시료 전단강도는 각각 약 0.050~0.138 kPa, 약 0.039~0.147 kPa, 약 0.041~0.188 kPa의 범위로 나타났다. 최대 전단강도는 입경 2~5 mm의 POS800에서 0.188 kPa로 나타났으며, 최소 전단강도는 입경 1~2 mm의 POS400에서 0.039 kPa로 나타났다.
이처럼 굴 패각의 소성 온도에 따른 퇴적물의 전단강도는 유의미한 차이를 보였다. POS400~600의 전단강도는 대조구보다 낮아졌으나, POS800의 전단강도는 급격히 증가하여 대조구 대비 2.0~2.7배 높게 나타났다. 퇴적물 강도 증가 원인 중 하나는 실리카, 알루미나와 칼슘과의 반응으로 칼슘실리케이트(CSH) 혹은 칼슘알루미네이트(CAH) 수화물을 형성하는 포졸란 반응에 의한 영향인 것으로 보인다(Furlan et al., 2018). 토양 광물 내의 반응성 실리카 및 알루미나 이온의 용해는 높은 pH 조건에서 유리하다(Bell, 1996). 따라서 POS800은 다른 실험 케이스에 비해 포졸란 반응이 더 활발했을 것으로 보인다. Seo et al.(2003)은 굴 패각 혼합비(중량비)가 높아질수록 굴 패각 혼합토의 비배수전단강도가 높아지며 25~50% 구간에서 가장 높은 것으로 보고되었다. 본 연구에서는 굴 패각과 퇴적물을 혼합할 때 체적비를 고려하였는데, 중량비는 POS400~600에서 약 15~23%인 반면, POS800에서는 25~30%로 나타났다. 이는 600oC 이하의 소성 온도에 비해서 800oC에서 소성시킨 굴 패각의 비중이 높아 혼합된 시료의 중량이 증가하면서 전단강도에 영향을 미친 것으로 보인다. 또한, DeJong et al.(2006)에 의하면 미생물의 대사활동은 pH가 증가시키고 수용액에 녹아있는 Ca2+이 탄산이온(CO32-)과 반응하면서 탄산칼슘을 생성할 수 있다. 생성된 탄산칼슘은 입자 내의 공극을 채우고 결합력을 높여 지반의 강도 증가에 영향을 미친 것으로 추측된다(Kim et al., 2017).
굴 패각의 입경에 따른 퇴적물의 전단강도는 POS800을 제외한 POS400~600은 유의미한 차이를 나타내지 않았다. POS800은 입경에 따라 전단강도가 증가하는 경향을 보이는데, 이는 상대적으로 베인보다 큰 입경의 굴 패각이 베인과 퇴적물 경계의 마찰을 증가시켜 입경이 커질수록 전단응력의 증가가 나타난 것으로 판단된다.
3.2.퇴적물의 양이온 측정
소성온도별 1 mm 이하의 실험 케이스에 대해 퇴적물 내의 양이온 농도를 측정하였다(Fig. 5). Na+ 농도는 약 9,300~14,000 mg/L으로 가장 높게 나타났으며, K+, Ca2+, Mg2+이 각각 약 420~520 mg/L, 약 200~790 mg/L, 13~ 1250 mg/L의 범위로 나타났다. Na+은 모든 실험구에서 대조구 대비 높게 나타났으며, 특히 POS800에서 약 1.5배 높게 나타났다. 이는 굴 패각에 의해 공급된 Ca2+이 점토입자에 흡착되어 있던 기존의 Na+과 교환되면서 Na+을 외부로 배출시켰기 때문인 것으로 판단된다(Kim and Kim, 2020). 소성 온도가 낮을수록 K+의 농도도 낮아지는 경향이 나타났으나 유의미한 차이는 없는 것으로 확인되었다(t > 0.05). Ca2+ 농도는 POS800을 제외하고 소성 온도가 높아질수록 낮아지는 경향이 나타났다. Ca2+은 점토입자로 흡착되는 것 외에도 점토와 포졸란 반응, 퇴적물 내의 인과 결합하여 소비될 수 있다. POS800은 점토와 산화칼슘의 포졸란 반응에 의한 감소에도 불구하고 다른 케이스에 비해 높은 Ca2+ 농도를 나타내고 있는데, 가수분해에 의해 용출된 칼슘 이온에 의한 영향인 것으로 보인다(식(4)).

Fig. 5를 바탕으로 CEC 및 SAR을 계산하여 Fig. 6에 나타내었다. 대조구의 CEC가 약 54.0 cmol(+)/kg, POS400, POS500, POS600의 CEC는 각각 57.1, 56.1, 55.6 cmol(+)/ kg로 나타났다. POS800의 CEC는 66.1 cmol(+)/kg로 다른 실험케이스보다 약 1.2배 높은 것으로 확인되었다. 25 cmol(+)/kg 이상의 높은 CEC 값은 유기물이 풍부한 점토로, 많은 양의 양이온을 점토입자에 고정시킬 수 있다(Bashour and Sayegh, 2007). 이는 점토입자에 더 많은 양의 Ca2+을 흡착할 수 있음을 보여준다.
대조구의 SAR은 36.8 mmolc1/2L-1/2로 실험구 케이스 대비 가장 낮게 나타났다. POS400~600의 SAR은 41.8~ 42.8 mmolc1/2L-1/2로 대조구와 비교하였을 때 유의미한 차이가 나타나지 않았다(t > 0.05). 반면 POS800의 SAR은 95.6 mmolc1/2L-1/2로 다른 케이스와 비교하였을 때 2배 이상 높은 것을 확인하였다. SAR은 관개용수의 적합성을 판단하기 위해 주로 활용되는 지수로, SAR이 13보다 클 경우 염류(sodic) 토양으로 분류되며, 이는 점토 입자의 분산이 높아 구조적으로 불안정한 상태가 된다(Kharel et al., 2018). Na+이 지배적인 연안 퇴적물의 특성상 모든 실험케이스에서 SAR > 13으로 나타난 것을 확인하였다. 특히 POS800은 Ca2+ 공급에 따른 Na+의 배출로 간극수 내 Na+의 농도 증가 및 Mg2+ 농도의 감소가 SAR의 상승에 영향을 준 것으로 보인다. POS800에서 SAR과 전단강도의 증가는 Ca2+의 흡착에 따른 점토 입자의 응집 반응보다 포졸란 반응을 포함한 다른 외부적인 요인이 원인인 것을 보여준다.
연안의 오염저서환경 개선을 위해 굴 패각을 활용하는 방안은 오래전부터 논의되고 있다. 저서환경개선재로 굴 패각을 이용하는 경우 2차 오염을 방지하기 위해 굴 패각의 소성 전처리 과정을 통한 유기물 제거는 필수적이다(Baek and Lee, 2020). 그러나 소성 처리된 굴 패각을 해양에 투기하였을 때 지반 강도가 급격하게 변화할 경우, 저서생태계의 교란을 야기할 수 있다. 따라서 본 연구의 결과는 굴 패각의 연안환경 복원재로 활용하기 위한 기초자료로 활용될 수 있다.
|
Fig. 4 Vane shear strength of the sediment with pyrolyzed oyster shells |
|
Fig. 5 Cation concentrations (Na+ , K+ , Ca2+, Mg2+) in pore water of sediment. |
|
Fig. 6 CEC and SAR of sediment after the experiment. |
본 연구에서는 소성 굴 패각을 연안 퇴적물에 적용하여 지반강도 개선 효과를 평가하였다. 또한, 굴 패각의 Ca2+ 공급에 의한 점토입자의 거동에 대해 조사하기 위하여 연안 퇴적물의 간극수 양이온 농도도 측정하였으며 그 결과는 다음과 같다.
1) POS400~600은 대조구 대비 베인전단강도의 유의미한 차이가 나타나지 않은 반면, POS800은 대조구보다 2배 이상 높게 나타났다. 이러한 결과는 굴 패각의 Ca2+와 연안 퇴적물의 포졸란 반응에 의한 것으로 판단된다.
2) 0~5 mm 이내의 굴 패각 입경에서 POS400~600은 유의미한 차이를 보이지 않았으나, POS800의 경우 입경이 커질수록 전단강도도 증가하는 것을 확인하였다. 이는 큰 입경의 굴 패각이 베인과 퇴적물 사이의 마찰을 증가시켰기 때문인 것으로 판단된다.
3) POS800의 간극수에 포함된 양이온 농도는 대조구 대비 Na+과 Ca2+이 각각 약 1.5배, 2.3배 높게 나타났다. Na+의 증가는 점토입자의 양이온 선택성에 따라 Ca2+으로 치환되면서 간극수로 배출되었기 때문인 것으로 판단된다. 또한 POS800의 Ca2+은 점토입자의 흡착 및 포졸란 반응에 의해 가장 많이 소비됨에도 불구하고 가장 높은 간극수 농도가 나타날만큼 다량의 Ca2+을 공급할 수 있음을 확인하였다.
위 논문은 2020년도 정부(해양수산부) 재원으로 영남씨그랜트센터의 지원을 받아 수행된 연구임.
This Article2021; 26(1): 17-23
Published on Feb 28, 2021
Services
Correspondence toDepartment of Ocean Engineering, Pukyong National University, Busan 48513, Korea